| Issue |
A&A
Volume 519, September 2010
|
|
|---|---|---|
| Article Number | A9 | |
| Number of page(s) | 11 | |
| Section | Astrophysical processes | |
| DOI | https://doi.org/10.1051/0004-6361/201014087 | |
| Published online | 06 September 2010 | |
Combined synchrotronand nonlinear synchrotron-self-Compton cooling of relativistic electrons
R. Schlickeiser1 - M. Böttcher2 - U. Menzler1
1 - Institut für Theoretische Physik, Lehrstuhl IV: Weltraum- und Astrophysik, Ruhr-Universität Bochum,
44780 Bochum, Germany
2 -
Astrophysical Institute, Department of Physics and Astronomy, Clippinger 339, Ohio University, Athens, OH 45701, USA
Received 18 January 2010 / Accepted 29 April 2010
Abstract
The broadband SEDs of blazars exhibit two broad spectral components, which in leptonic emission models
are attributed to synchrotronradiation and SSC radiation of relativistic
electrons. During high state phases, the high-frequency SSC component often
dominates the low-frequency synchrotron component, implying that the inverse Compton SSC losses of electrons
are at least equal to or greater than the synchrotronlosses of electrons. The linear synchrotroncooling, usually included
in radiation models of blazars, then has to be supplemented by the SSC cooling. Here, we
present an analytical solution to the kinetic equation of relativistic electrons subject to the
combined synchrotron and nonlinear synchrotron self-Compton
cooling for monoenergetic injection. We calculate the time-dependent fluxes and time-integrated fluences
resulting from monoenergetic electrons cooling via synchrotron and SSC, and suggest this as a model for
the broadband SED of Compton-dominated blazars.
Key words: radiation mechanisms: non-thermal - BL Lacertae objects: general - gamma rays: galaxies
1 Introduction
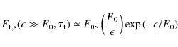
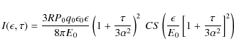
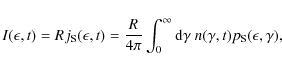
The new generation of air Cherenkov TeVThe broadband continuum spectra of blazars are dominated by nonthermal emission and often consist of two distinct broad components. In leptonic emission models (for review see Böttcher 2007) synchrotronradiation from highly relativistic electrons generates the low-energy component whereas the high-energy component results from Compton interactions of the same relativistic electron population. A prime candidate for the source photons being Compton upscattered are the self-produced synchrotron photons, which defines the synchrotron self-Compton (SSC) process (e.g., Maraschi et al. 1992; Bloom & Marscher 1996). Because of the short radiative synchrotronand SSC cooling time scales it is necessary to calculate self-consistently the time evolution of the energy spectrum of the radiating relativistic electrons when modeling the spectral energy distribution (SED) from these objects.
The SSC emission model has been applied very successfully to represent the SEDs of the high-frequency
peaked BL Lac objects PKS 2155-304 (Aharonian et al. 2005), 1ES 1121-232 (Aharonian et al. 2007), and
Mrk 421 (Fossati et al. 2008), for which during high state phases the SSC component in the SED dominates
over the synchrotroncomponent. The dominance of the
-ray (Compton) component in the SED is usually even
more pronounced in the lower-peaked blazars, in particular, flat spectrum radio quasars (FSRQs) like PKS 0528+134
(Sambruna et al. 1997) or low-frequency peaked BL Lac objects (LBLs) like
BL Lacertae (e.g., Madejski et al.
1998). The recent Fermi survey of bright blazars (Abdo et al. 2010a) also revealed many
sources with
-ray dominated SEDs including PKS 0227-369, PKS 0347-211, PKS 0454-234, PKS 1454-354,
PKS 1502+106, PKS 2325+093, 3C 454.3 (Abdo et al. 2009) and 3C 279 (Abdo et al. 2010b).
In most modelling works reproducing the SEDs of blazars, a single or broken power-law distribution of
electrons is assumed to produce both the synchrotron and Compton emission. Comparing the required parameters
for modelling FSRQs and LBLs in such a framework, many authors have concluded that these Compton-dominated blazars
are more plausibly represented by
-ray emission being dominated by Comptonization of external
radiation fields, e.g., from the accretion disk or the broad line region (e.g., Madejski et al. 1999; Böttcher & Bloom 2000). Since this conclusion depends on the assumption of an underlying
power-law electron distribution, we here revisit this problem by investigating the radiative signatures
of the injection and subsequent, self-consistent synchrotron and SSC cooling of monoenergetic electrons,
including the case of SSC-dominated radiative output.
The dominance of the SSC component over the synchrotroncomponent in this case implies that the inverse
Compton SSC losses of electrons are at least equal to or greater than the synchrotronlosses of electrons,
even more when the intergalactic attenuation of the TeV emission from the cosmic infrared background
is accounted for. The ratio of the observed SSC to synchrotron photon luminosity from the same population of
electrons
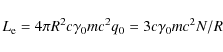
directly reflects the ratio of the corresponding loss rates, because of the identical Doppler boosting factors (Dermer & Schlickeiser 2002) of synchrotronand SSC emission. That a distinct third broad emission component did not appear at high photon energies in blazar SEDs can be interpreted in two ways: (i) if the first-order Compton scattering of synchrotron photons is in the Thomson regime, higher order SSC scattering components then do not operate in the Thomson regime but in the extreme Klein-Nishina limit with a much reduced scattering cross section; (ii) all SSC components including the first-order one operate in the extreme Klein-Nishina limit so that the maximum photon energy is determined by the initial electron energy modulo beaming. Throughout this work we only consider the first case.
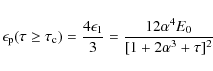
In the case of the dominance of the first-order SSC component over the synchrotroncomponent, Schlickeiser (2009
- hereafter referred to as paper S) pointed out that the linear
synchrotroncooling rate, usually included in radiation models of
blazars, then has to be supplemented by the nonlinear SSC cooling rate.
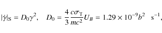
In the Thomson limit (hereafter referred to as SST-losses) the SST
energy loss rate of a single electron
depends on the energy integral of the actual electron spectrum
which is solely determined by the magnetic field strength B=b Gauss and the electron Lorentz factor
The competition between the instantaneous injection of ultrarelativistic electrons
(
)
at the rate
at time t=0 and
the electron radiative losses
is described by the time-dependent kinetic equation for the
volume-averaged relativistic electron population inside the radiating source (Kardashev 1962):
where
It is purpose of the present analysis to solve the electron kinetic
equation for the more realistic case where the radiative loss rate is
the sum of the linear synchrotronand nonlinear SST cooling rate, i.e.,
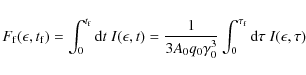
In Sect. 2 we calculate the analytic solution of the electron kinetic equation under the combined synchrotronand SST losses (5) for the case of instantaneous injection of monoenergetic particles. The analytic solution is then used in Sects. 3 and 4 to calculate the optically thin synchrotronradiation intensity and total fluence distribution, respectively. In Sect. 5 we demonstrate that our analytical results agree well with synchrotronintensity and fluence resulting from the numerical radiation code of Böttcher et al. (1997) for this case. This code also provides the SSC intensity and fluence distributions.
In our analytical analysis we only take the synchrotronphotons into account as seed photons for electron cooling, and neglect any higher order SSC components. In contrast, the numerical radiation code of Böttcher et al. (1997) consistently accounts for all SSC radiation fields. The comparison of the analytical and numerical synchrotronradiation fluence distributions calculated below will therefore test the validity of the assumptions made in the analytical calculations.
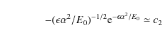
Moreover, the nonlinear SSC electron loss rate (2) is approximated to operate in the Thomson limit. According to S,
this limits the initial electron Lorentz factor to
,
putting an upper limit
on the maximum SSC photon energy (modulo beaming) of
GeV.
Our study therefore applies more to blazars observed in the Fermi
survey, whose SEDs peak at sub-GeV
energies, and not to TeV blazars. Throughout this work we therefore
consider emission regions that have all of the first-order SSC emission
initially in the Thomson regime. At later times after significant
electron cooling, the Thomson approximation is fulfilled even better.
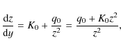
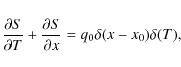
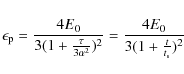
2 Solution of electron kinetic equation for combined synchrotron and SST cooling
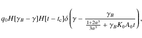
For combined synchrotron and SST cooling (5) the kinetic equation of the electrons (4) reads
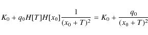
With the substitution y=A0t and
where K0=D0/A0. Using
Now we define the implicit time variable T through
Then Eq. (8) becomes
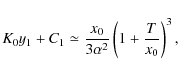
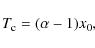
which agrees exactly with Eq. (52) of Schlickeiser & Lerche (2007). According to their Eq. (54) the solution is
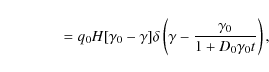
Now we calculate the time variable T explicitly as a function of y, using Eq. (11) in Eq. (9) to write
for x0>0 and
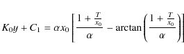
which after separation of variables with the integration constant C1 leads to
or
The integration constant C1 is fixed by the condition that T=0 for y=0, yielding
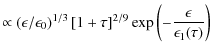
Unfortunately, this dependence y(T) cannot be directly inverted to infer the general dependence T(y). However, an approximate, but reasonably accurate, inversion is possible by using the asymptotic expansions of the
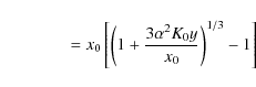
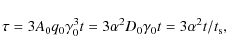
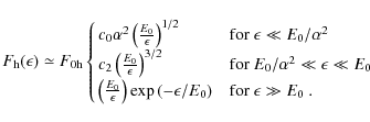
2.1 Injection parameter
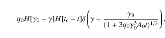
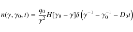
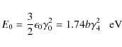
The argument of theThe parameter
depends on the energy density of the initially injected relativistic electrons and can be written as
with the characteristic Lorentz factor
for standard blazar parameters q0=105q5 cm-3 and R=1015R15 cm. The
In terms of the total number of instantaneously injected electrons
,
the characteristic Lorentz factor
and the
injection parameter
scale as
if we scale the electron injection Lorentz factor as
In homogenous spherical sources the initial electron injection luminosity is
from which one can determine the dimensionless injection compactness of the source
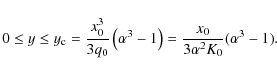
The injection parameter (19) scales as
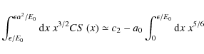
In Appendix A we demonstrate that for low values of the injection parameter
,
corresponding to
,
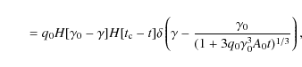
the time evolution of the electron distribution function is determined solely by the linear synchrotronlosses, and is given by
which agrees with the standard linear synchrotroncooling solution.
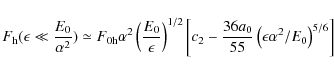
For large injection parameters
,
corresponding to
,
nonlinear SST losses determine the electron distribution function at
early times. As a result, the time evolution of the electron
distribution function is affected by the nonlinear SST losses only if
the injection Lorentz factor
exceeds the characteristic value
,
which is determined by the number of injected
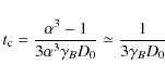
electrons and the size of the source. According to Appendix A we obtain for early times
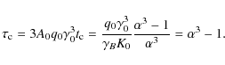
which agrees with the nonlinear SST solution of S, his Eq. (28). At late times
which is a modified linear cooling solution. Both solutions show that at the transition time
the electrons have cooled to the characteristic Lorentz factor
Summarizing this section, provided electrons are injected with Lorentz factors much higher than
,
given in Eq. (18),
they initially cool down to the characteristic Lorentz factor
by nonlinear SST-cooling until time
.
At later times
they cool further to lower energies according to the modified cooling solution (24). If the electrons are injected with Lorentz
factors much smaller than
,
they only undergo linear synchrotroncooling at all energies with no influence from the SST cooling. The
characteristic Lorentz factor
is only determined by the injection conditions, whereas the time scale
also depends
on the magnetic field strength.
This different cooling behavior for high and low injection energies affects the synchrotronand SSC intensities and fluences, which we investigate in the next sections.
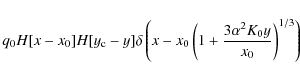
3 Intrinsic optically thin synchrotron radiation intensities
In this section we analytically investigate the consequences of the combined synchrotronand SST cooling for the intensity spectra of optically thin synchrotronradiation. We closely follow the earlier analysis in S.The optically thin synchrotronintensity from relativistic electrons with the volume-averaged differential density
is given by
where
denotes the synchrotronpower of a single electron (Crusius & Schlickeiser 1988) in a large-scale random magnetic field of constant strength B.
3.1 High injection energy
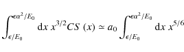
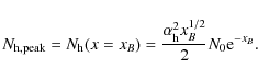
Inserting the electron density (23) gives at early timeswhere we have introduced the initial characteristic synchrotronphoton energy
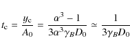
and the dimensionless time scale
with the linear synchrotroncooling time
Then
Likewise, inserting the late electron density (24) gives
in terms of the same dimensionless time (29).
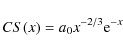
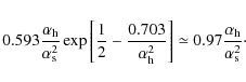
The function CS(x) is approximated well by (Crusius & Schlickeiser 1988)
with a0=1.151275 yielding
and
respectively, with the cut-off energies
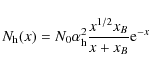
With respect to photon energy
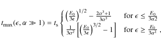
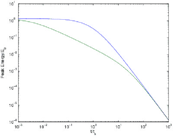
The cut-off energies (37) determine the time dependence of the peak energy
of the synchrotronSED
.
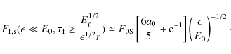
At early and late times we obtain
and
respectively, which is illustrated in Fig. 1.
|
Figure 1:
Time dependence of the peak energy
|
| Open with DEXTER | |
3.2 Low injection energy
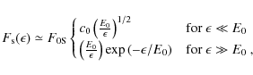
For the low injection energy caseIn agreement with S we obtain for the synchrotronintensity at all times
here the synchrotronpeak energy
decreases from its intial maximum value (4E0/3) proportional to t-2 for
3.3 Light-curve peak times
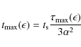
Equations (38), (39), and (42) also provide the photon energy dependences of the intrinsic light curve peak time or the time of maximum intensity of the synchrotronflarewith the linear synchrotroncooling time (31).
For the low injection energy case (
), we reproduce the well known relation
for all energies below 3E0.
For the high injection energy case (
), we obtain
indicating a steeper power-law (
|
Figure 2:
Photon energy (
|
| Open with DEXTER | |
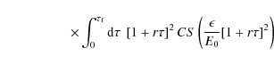
4 Fluences
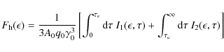
To collect enough photons, intensities are often averaged or integrated over long enough time intervals. For rapidly varying photon intensities, this corresponds to fractional fluences given by the time-integrated intensitieswith
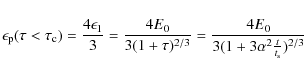
4.1 Low injection energy
The synchrotronintensity (41) yields, after obvious substitutions, for the fractional fluence
with the constant
and
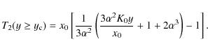
For the total fluence we obtain for low (
)
and high (
)
synchrotronphoton energies
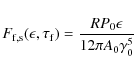
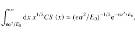
where (see Appendix B)
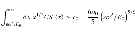
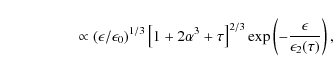
Likewise, the fractional fractional fluence at high energies is
At small energies
and for late times
4.2 Total fluence for high injection energy
Here the synchrotronintensities (28) and (33) yield, after obvious substitutions, for the total synchrotronfluence
with the constant
For high synchrotronphoton energies
and
so that
For intermediate synchrotronphoton energies
,
we approximate
with the constant
and
so that
Finally, for low synchrotronphoton energies
and
with the constant (51). In this case the fluence (55) is
For the high injection energy case, the total synchrotronfluence therefore varies as
4.3 Interlude
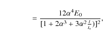
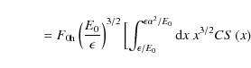
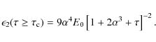
At high synchrotronphoton energies (4.4 Total fluence synchrotron SED
For the total fluence SEDand
with the constant
and the characteristic break energy
In terms of the normalized synchrotronphoton energy
and
with
Figure 3 shows the fluence SEDs N(x) for small (
|
Figure 3:
Total synchrotronfluence SED N(x) for high (
|
| Open with DEXTER | |
whereas in the high injection case
The ratio of peak values is given by
For the case shown in Fig. 3, this ratio is
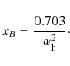
- D1) in the high injection case the synchrotronSED peaks at a photon energy, which is a factor
less than the peak in the small injection case;
- D2) the high injection energy peak value decreases at early times
more rapidly than
the small injection energy peak value;
- D3) the high injection SED is a broken power-law with spectral indices +0.5 below and -0.5 above
the peak energy
,
respectively, and it cuts off exponentially at photon energies x>1. Below the peak energy xB
the time of maximum synchrotronintensity decreases as
,
whereas above the peak energy xB it decreases more
rapidly as
due to the severe additional SST losses;
- D4) the small injection SED is a single power-law with spectral index +0.5 below the peak energy
,
and it
cuts off exponentially at photon energies x>1. Here, the time of maximum synchrotronintensity decreases as
at all energies x<1 because in the small injection case the SST-losses do not contribute.
5 Synchrotron and SSC fluence SEDs and light curves from numerical radiation code
In Fig. 4 we show the photon energy variation in the light curve peak time calculated with the numerical radiation code of Böttcher et al. (1997) using a magnetic field strength b=1 and an injection Lorentz factor
|
Figure 4:
Numerically calculated synchrotronlight curve peak times for small (
|
| Open with DEXTER | |
|
Figure 5:
Numerically calculated fractional and total synchrotronand SSC fluence SEDs for high (
|
| Open with DEXTER | |
In Fig. 7 we show the numerical synchrotronand SSC fluence SEDs using a magnetic field strength b=1 and an
injection Lorentz factor
for the intermediate (
)
injection case. The spectral form of the
synchrotronand SSC fluences are similar to the small injection case shown in Fig. 6, but the SSC peak fluence is only a factor 3 less than
the synchrotronpeak fluence. Apparently, for no strong influence of nonlinear SST losses occurs for
.
For orientation, we have also plotted the analytic asymptotic behavior of the total synchrotronfluence of the
small
-case according to Eq. (50) in this plot, which agrees well with the
numerical spectral behavior.
|
Figure 6:
Numerically calculated fractional and total synchrotronand SSC fluence SEDs for small (
|
| Open with DEXTER | |
|
Figure 7:
Numerically calculated fractional and total synchrotronand SSC fluence SEDs for intermediate ( |
| Open with DEXTER | |
The radiation code also yields the SSC fluence SEDs. We note from Figs. 5-7
that for the high injection case, the SSC SED has a much higher
amplitude than the synchrotronSED, whereas the opposite holds for the
low and intermediate injection cases. Moreover, all SSC SEDs peak at
the same photon energy, although the SSC peak value in the high
injection case is a factor
larger than in the small injection case.
6 Summary and conclusions
We have presented an analytical solution to the synchrotron and nonlinear synchrotron-self-Compton cooling in the Thomson regime (SST) of monoenergetic electrons. Based on our analytical solution, we evaluated the time-dependent synchrotron emissivity and time-integrated fluences. We find qualitatively different results depending on whether electron cooling is initially Compton-dominated (high injection energy parameterBased on our analysis we propose the following interpretation of multiwavelength blazar SEDs.
Blazars, where the
-ray fluence is much stronger than the synchrotronfluence, are regarded as high
injection-energy sources. Here, the synchrotronfluence should exhibit the symmetric broken power-law behavior
Eq. (67) around the synchrotronpeak energy that is a factor
lower than the SSC peak
energy. Below and above
,
the synchrotronlight curve peak times exhibit different frequency dependences
and
,
respectively,
resulting from the additional severe SST-losses at
.
Blazars, where the
-ray fluence is much less than the synchrotronfluence, are regarded as small injection-energy sources. Here,
the synchrotronfluence exhibits the single power-law behavior (D4) up to a higher synchrotronpeak energy
that is a factor
lower than the SSC peak energy. In this case, the synchrotronlight curve peak time exhibits
the standard linear synchrotroncooling decrease
at all frequencies.
If the injection Lorentz factor
and the size of the source are the same, different values of
the injection parameter
result from different total numbers of instantaneously injected electrons,
see Eq. (19); for example, the high injection case
results for
N50=4.7, whereas
the low injection case
needs
.
We thank the referee for his/her constructive comments. R.S. acknowledges support from the German Ministry for Education and Research (BMBF) through Verbundforschung Astroteilchenphysik grant 05A08PC1 and the Deutsche Forschungsgemeinschaft through grants Schl 201/20-1 and Schl 201/23-1. M.B. acknowledges support from NASA through Fermi Guest Investigator grant NNX09AT82G and Astrophysics Theory Program Grant NNX10AC79G. This work was completed when M.B. was visiting guest scientist of the Research Department Plasmas with Complex Interactions at Ruhr-University Bochum.
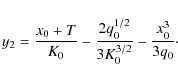
Appendix A: Determination of electron distribution functions for low and high injection energies
A.1 Low injection energy

In the case of low injection energies
and with C0=x0 to
In terms of y, the solution (12) then reads with x0>0
yielding
which agrees with the standard linear synchrotroncooling solution.
|
Figure A.1:
Comparison of exact solution y(T) (full curve) with asymptotic solution y1(T) at early times
(dashed curve) and asymptotic solution y2(T) at late times
(dotted curve) for the high injection energy case with q5=1,
x0=10-4 and K0=1, corresponding to
|
| Open with DEXTER | |
A.2 High injection energy

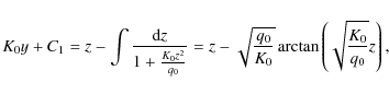
In the case of high injection energies
For times
we expand
or
With T=0 for y=0, the integration constant C2=x03/3q0 is fixed so that
This solution is valid for
For times
or the linear relation
The constant C4 is determined by the equality of the two solutions
so that
In Fig. A.1 we compare the two approximate solutions (A.9) and (A.14) with the exact solution (16). The agreement is reasonably good.
Both approximate solutions (A.9) and (A.14) can be inverted to yield
and
In terms of y we obtain from Eq. (11) the two solutions
and
We then find for early times
which agrees with the nonlinear SST solution of S, his Eq. (28). At late times,
which is a modified linear cooling solution. Both solutions show that, at time
the electrons have cooled to the characteristic Lorentz factor
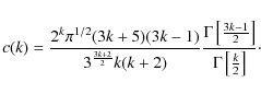
Appendix B: Calculation of synchrotron radiation constants
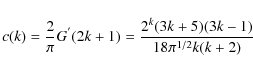
Here we determine the constantsfor general values of k>-1/3. The integral (B.1) is directly related to the integral G'(s) computed in Eq. (29) of Crusius & Schlickeiser (1986) if s=2k+1. This yields
with the triplication formula of gamma functions for z=(3k-1)/6, Eq. (B.2) simplifies to
We obtain c(1/2)=0.95302 and c(3/2)=0.67015.
References
- Abdo, A. A., Ackermann, M., Ajello, M., et al. 2009, ApJ, 699, 817 [NASA ADS] [CrossRef] [Google Scholar]
- Abdo, A. A., Ackermann, M., Agudo, I., et al. 2010a, ApJ, 716, 30 [NASA ADS] [CrossRef] [Google Scholar]
- Abdo, A. A., Ackermann, M., Ajello, M., et al. 2010b, Nature, 463, 919 [NASA ADS] [CrossRef] [PubMed] [Google Scholar]
- Aharonian, F. A., Akhperjanian, A. G., Bazer-Bachi, A. R., et al. (HESS Collaboration) 2005, A&A, 442, 895 [Google Scholar]
- Aharonian, F. A., Akhperjanian, A. G., Bazer-Bachi, A. R., et al. (HESS Collaboration) 2007, A&A, 470, 475 [Google Scholar]
- Bloom, S. D., & Marscher, A. P. 1996, ApJ, 461, 657 [NASA ADS] [CrossRef] [Google Scholar]
- Böttcher, M. 2007, Astroph. & Space Sci. 309, 95 [Google Scholar]
- Böttcher, M., & Bloom, S. D. 2000, AJ, 119, 469 [NASA ADS] [CrossRef] [Google Scholar]
- Böttcher, M., Mause, H., Schlickeiser, R. 1997, A&A, 324, 395 [NASA ADS] [Google Scholar]
- Crusius, A., & Schlickeiser, R. 1986, A&A, 164, L16 [NASA ADS] [Google Scholar]
- Crusius, A., & Schlickeiser, R. 1988, A&A, 196, 327 [NASA ADS] [Google Scholar]
- Dermer, C. D., & Schlickeiser, R. 2002, ApJ, 575, 667 [NASA ADS] [CrossRef] [Google Scholar]
- Fossati, G., et al. 2008, ApJ, 667, 906 [NASA ADS] [CrossRef] [Google Scholar]
- Hinton, J. A., & Hofmann, W. 2009, ARA&A, 47, 523 [NASA ADS] [CrossRef] [Google Scholar]
- Kardashev, N. S. 1962, Sov. Astron. J. 6, 317 [Google Scholar]
- Madejski, G., Sikora, M., Jaffe, T., et al. 1999, ApJ, 521, 145 [NASA ADS] [CrossRef] [Google Scholar]
- Maraschi, L., Celotti, A., & Ghisellini, G. 1992, ApJ, 397, L5 [NASA ADS] [CrossRef] [Google Scholar]
- Sambruna, R. M., Urry, C. M., Maraschi, L., et al. 1997, ApJ, 474, 639 [NASA ADS] [CrossRef] [Google Scholar]
- Schlickeiser, R. 2009, MNRAS, 398, 1483 (S) [NASA ADS] [CrossRef] [Google Scholar]
- Schlickeiser, R., & Lerche, I. 2007, A&A, 476, 1 [NASA ADS] [CrossRef] [EDP Sciences] [Google Scholar]
All Figures
|
Figure 1:
Time dependence of the peak energy
|
| Open with DEXTER | |
| In the text | |
|
Figure 2:
Photon energy (
|
| Open with DEXTER | |
| In the text | |
|
Figure 3:
Total synchrotronfluence SED N(x) for high (
|
| Open with DEXTER | |
| In the text | |
|
Figure 4:
Numerically calculated synchrotronlight curve peak times for small (
|
| Open with DEXTER | |
| In the text | |
|
Figure 5:
Numerically calculated fractional and total synchrotronand SSC fluence SEDs for high (
|
| Open with DEXTER | |
| In the text | |
|
Figure 6:
Numerically calculated fractional and total synchrotronand SSC fluence SEDs for small (
|
| Open with DEXTER | |
| In the text | |
|
Figure 7:
Numerically calculated fractional and total synchrotronand SSC fluence SEDs for intermediate ( |
| Open with DEXTER | |
| In the text | |
|
Figure A.1:
Comparison of exact solution y(T) (full curve) with asymptotic solution y1(T) at early times
(dashed curve) and asymptotic solution y2(T) at late times
(dotted curve) for the high injection energy case with q5=1,
x0=10-4 and K0=1, corresponding to
|
| Open with DEXTER | |
| In the text | |
Copyright ESO 2010
Current usage metrics show cumulative count of Article Views (full-text article views including HTML views, PDF and ePub downloads, according to the available data) and Abstracts Views on Vision4Press platform.
Data correspond to usage on the plateform after 2015. The current usage metrics is available 48-96 hours after online publication and is updated daily on week days.
Initial download of the metrics may take a while.
![\begin{figure}
\par\includegraphics[width=9cm]{14087fg1}
\end{figure}](/articles/aa/full_html/2010/11/aa14087-10/Timg102.png)
![\begin{figure}
\par\includegraphics[width=9cm]{14087fg2}
\end{figure}](/articles/aa/full_html/2010/11/aa14087-10/Timg127.png)
![\begin{figure}
\par\includegraphics[width=9cm]{14087fg3}
\end{figure}](/articles/aa/full_html/2010/11/aa14087-10/Timg184.png)
![\begin{figure}
\par\includegraphics[width=9cm]{14087fg4}
\end{figure}](/articles/aa/full_html/2010/11/aa14087-10/Timg200.png)
![\begin{figure}
\par\includegraphics[width=9cm]{14087fg5}
\end{figure}](/articles/aa/full_html/2010/11/aa14087-10/Timg201.png)
![\begin{figure}
\par\includegraphics[width=9cm]{14087fg6}
\end{figure}](/articles/aa/full_html/2010/11/aa14087-10/Timg202.png)
![\begin{figure}
\par\includegraphics[width=9cm]{14087fg7}
\end{figure}](/articles/aa/full_html/2010/11/aa14087-10/Timg203.png)
![\begin{figure}
\par\includegraphics[width=9cm]{14087fg8}
\end{figure}](/articles/aa/full_html/2010/11/aa14087-10/Timg218.png)