| Issue |
A&A
Volume 519, September 2010
|
|
|---|---|---|
| Article Number | A76 | |
| Number of page(s) | 8 | |
| Section | Stellar structure and evolution | |
| DOI | https://doi.org/10.1051/0004-6361/201014132 | |
| Published online | 15 September 2010 | |
The lag and duration-luminosity relations of gamma-ray burst pulses
S. Boçi1 - M. Hafizi1 - R. Mochkovitch2
1 - Tirana University, Faculty of Natural Sciences, Tirana,
Albania
2 -
Institut d'Astrophysique de Paris, UMR 7095
Université Pierre et Marie Curie-Paris 6 - CNRS,
98bis boulevard Arago, 75014 Paris, France
Received 25 January 2010 / Accepted 8 June 2010
Abstract
Context. Relations linking the temporal or/and spectral
properties of the prompt emission of gamma-ray bursts (hereafter GRBs)
to the absolute luminosity are of great importance as they both
constrain the radiation mechanisms and represent potential distance
indicators. Here we discuss two such relations: the lag-luminosity
relation and the newly discovered duration-luminosity relation of
GRB pulses.
Aims. We aim to extend our previous work on the origin of
spectral lags, using the duration-luminosity relation recently
discovered by Hakkila et al. (2008, ApJ, 677, L81) to connect lags
and luminosity. We also present a way to test this relation which has
originally been established with a limited sample of only
12 pulses.
Methods. We relate lags to the spectral evolution and shape of
the pulses with a linear expansion of the pulse properties around
maximum. We then couple this first result to the duration-luminosity
relation to obtain the lag-luminosity and lag-duration relations. We
finally use a Monte-Carlo method to generate a population of synthetic
GRB pulses which is then used to check the validity of the
duration-luminosity relation.
Results. Our theoretical results for the lag and
duration-luminosity relations are in good agreement with the data. They
are rather insensitive to the assumptions regarding the burst spectral
parameters. Our Monte Carlo analysis of a population of synthetic
pulses confirms that the duration-luminosity relation must be satisfied
to reproduce the observational duration-peak flux diagram of BATSE GRB
pulses.
Conclusions. The newly discovered duration-luminosity relation
offers the possibility to link all three quantities: lag, duration and
luminosity of GRB pulses in a consistent way. Some evidence for its
validity have been presented but its origin is not easy to explain in
the context of the internal shock model.
Key words: gamma-rays bursts: general - radiation mechanisms: non-thermal
1 Introduction
The prompt emission of gamma-ray bursts is characterized by the diversity of the observed temporal profiles. Some bursts show a simple shape with a fast rise followed by a slower decay while others have a complex structure with a succession of pulses which can be overlapping or separated by intervals with almost no emission. Conversely the spectra are more uniform, generally well fitted by two smoothly connected power laws (the so-called Band spectrum; Band et al. 1993). Many studies have tried to link the temporal and spectral properties of bursts with the objective to gain insight into the physical processes governing the prompt emission. Already before and during the BATSE era several relations between hardness and duration (Kouveliotou et al. 1993), intensity (Golenetskii et al. 1983) and fluence (Liang & Kargatis 1996) were found. Following the discovery of the afterglows and the measure of the first redshifts, intrinsic quantities such as the luminosity or the total radiated energy became accessible and new relations appeared: the Amati (Amati et al. 2002) and Ghirlanda (Ghirlanda et al. 2004) relations between the peak energy of the global spectrum and the energy release in gamma-rays (assuming isotropic emission in the Amati relation and corrected for beaming in the Ghirlanda relation), the luminosity-variability relation (Reichart et al. 2001) illustrating the tendency of luminous bursts to be more variable and the lag-luminosity relation (hereafter LLR) discovered by Norris et al. (2000). Spectral lags are a way to quantify the changes in the burst profiles observed in different energy bands. When viewed at high energy, pulses are narrower and peak earlier. Norris et al. (2000) cross-correlated the profiles between BATSE bands 1 and 3 and found that the resulting lags were decreasing with increasing burst peak luminosity. As for the other relations between luminosity and spectral or temporal properties, the LLR offers clues to the physics of the prompt emission but also provides a potential method to evaluate GRB distances from observations at high energy only.Spectral lags are a direct consequence of the burst spectral evolution
since a fixed, constant spectrum, would lead to proportional
profiles in all energy bands. In a first paper (Hafizi & Mochkovitch
2007) we computed spectral lags of pulses, defined as the
time interval between pulse maximum in two different bands. We obtained
an explicit expression for the lags and assuming the validity of an
``Amati-like'' relation between luminosity and the value of
at pulse maximum we were able to connect lags and luminosity.
Hakkila et al. (2008) have recently reconsidered the LLR and obtained a new relation which applies to individual pulses while the original Norris et al. (2000) LLR considered the burst as a whole. Moreover, they also found a correlation between pulse duration and luminosity (hereafter DLR). These results offer the possibility to directly test and extend our previous work (Hafizi & Mochkovitch 2007). We start in Sect. 2 by comparing to observations our theoretical results for the LLR. Since they rely on the validity of the DLR we propose to test it in Sect. 3 by comparing a synthetic population of GRB pulses to the observed peak flux-duration diagram of a sample of pulses collected by Hakkila & Cumbee (2009). We discuss our results in Sect. 4 and Sect. 5 is the conclusion.
2 The lag-luminosity relation
2.1 Theoretical interpretation
In Paper I (Hafizi & Mochkovitch 2007)
we presented a simple analytical model
to calculate spectral
lags. We recognized that lags were better defined using individual
pulses rather than the whole burst profile. Pulses in the same burst can
have different lags and Hakkila et al. (2008) have shown that the global lag
represents some average where the brightest pulse (which generally has
the shortest lag) makes the dominant contribution. Looking for
correlation between lag and luminosity it is therefore preferable to
consider each pulse separately. Hakkila et al. (2008) obtained
|
(1) |
where L is the peak pulse luminosity and
|
(2) |
where lags were computed by cross-correlation of the full burst profile between the two bands. For individual pulses, spectral lags are more easily estimated from the time difference between the peaks. These ``pulse peak lags'' generally agree with those obtained by cross-correlation and have been used by Hakkila et al. (2008) to get Eq. (1).
|
Figure 1:
Plot of the three functions
|
| Open with DEXTER | |
|
Figure 2:
Ratio of spectral lag over pulse duration as a function of the
peak energy at pulse maximum (lower scale) and of the peak luminosity
(upper scale) assuming the validity of the Amati-like relation (Eq. (7)). The
full lines correspond to
|
| Open with DEXTER | |
|
Figure 3:
Plot of the pulse duration as a function of spectral lag.
The full thick
line represents our reference model which adopts the Amati-like relation
(Eq. (7))
and |
| Open with DEXTER | |
|
Figure 4: Theoretical lag-luminosity relation for pulses compared to the data collected by Hakkila et al. (2008). The thick line is the reference case while the thin lines correspond to different model parameters (see Fig. 3 and text for details). |
| Open with DEXTER | |
In our theoretical analysis (Hafizi & Mochkovitch 2007) we
calculated pulse peak lags from a linear expansion of the pulse shape
and spectral properties around the maximum in BATSE band 1 (20-50 keV).
Our result directly relates the
lag to spectral evolution in a very transparent way. We get
|
(3) |
where
|
(4) |
Here t1 is the time of pulse maximum in BATSE band 1 and
|
(5) |
and are evaluated at t=t1. Finally C1 is a ``curvature parameter'' for the pulse around maximum. We have
|
(6) |
where N1(t) is the count rate in BATSE band 1.
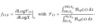
The functions f13,X depend on the spectrum parameters
,
and
at pulse maximum while
,
and
represent their evolution. The two remaining quantities in
Eq. (1),
and C1, are fixed by the pulse shape. They show
that spiky pulses (large |C1|) have shorter lags than broad pulses
(small |C1|) for a given spectral evolution and pulse duration and that
short pulses are expected to have short lags, both effects in agreement
with observations (Norris & Bonnell 2006; Gehrels et al. 2006;
Hakkila et al. 2007). The three functions
,
and
have been represented in Fig. 1 for
and
which are the central values of the
distributions found by Preece et al. (2000) in their study of the spectral properties of
bright BATSE bursts. Their behavior can be understood by noting that at
large (resp. small)
values
depends on
(resp.
)
only. Therefore
mostly contribute at intermediate
(between BATSE bands 1 and 3) while
(resp.
)
dominates at large
(resp. small)
.
The resulting ratio
has been plotted in Fig. 2 as a function of
for different
values of
,
,
and |C1|=10.
This value of the curvature parameter as been adopted as representative
of a ``typical pulse''. In any case, the results for a different |C1|are easily obtained by rescaling
by a factor
10/|C1|.
As the maximum of
generally precedes that of the count rate
in most pulses we have
.
Similarly, the decrease of
the spectral indices (spectral softening)
begins before pulse maximum implying that
and
(since
and
are negative).
To link spectral lags and luminosity Hafizi &
Mochkovitch (2007) have moreover assumed an ``Amati-like relation''
between
and
the pulse peak luminosity of the form
|
(7) |
This relation, proposed by Ghirlanda et al. (2005), is expected to be valid at any time contrary to the original Amati relation (Amati et al. 2002) which applies to the burst as a whole. Using Eqs. (3) and (7) it becomes possible to represent
A roughly constant value of
however raises a problem which was already mentioned in Paper I. If
pulses indeed satisfy a lag-luminosity relation with bright pulses
having very short lags, some additional
parameter has to be correlated to the luminosity. In Paper I we tentatively
proposed that pulse curvature could be such a parameter, luminous pulses
being spikier and less luminous ones broader. But the recent discovery
by Hakkila et al. (2008) of a possible correlation between pulse duration
and peak luminosity offers a new perspective which can naturally account for
the LLR.
2.2 The duration-luminosity relation of GRB pulses
Hakkila et al. (2008) re-analized the seven BATSE bursts with known
redshift considered by Norris et al. (2000) to establish the original LLR
but they treated each pulse of these bursts separately. From the 12
selected pulses they obtained a new LLR (Eq. (1)) but also discovered an
even tighter relation between duration and luminosity
|
(8) |
Coupling this to Eq. (3) then provides a very simple way to get the LLR. An important difference with paper I is that we do not necessarily assume the validity of the ``Amati-like relation'' (Eq. (7)) to link
We have also plotted in Figs. 3 and 4 the data points for the pulses belonging to the sample studied by Hakkila et al. (2008). It can be seen that the agreement with our theoretical results is satisfactory.
3 A test for the duration-luminosity relation
3.1 Method
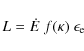
The results presented in the last section rely on the validity of the duration-luminosity relation (DLR) for pulses. If confirmed, the DLR would also offer a new method to estimate GRB distances, simpler and easier to use than the LLR (Hakkila et al. 2009). Bursts with several pulses give the possibility of multiple measures of the redshift, increasing the resulting accuracy. Conversely the identical redshift for all pulses in a given burst allows to test the DLR. Assuming a power-law of the formWe have performed an alternative and independent test of the DLR using a
synthetic population of GRB pulses for which we predict the resulting
observational duration-peak photon flux
(
- P)
diagram which is then compared to real
data. The synthetic population is generated following a Monte-Carlo
method similar to the one described in Daigne et al.
(2006):
for each pulse we draw a
redshift z and a peak luminosity L. We then either
link
and
to the luminosity with Eqs. (7) and (8)
or adopt
log-normal distributions independent of L. We want to see
if the predicted
- P diagram is in better
agreement with the data when the
DLR is adopted.
Even if
and L are uncorrelated we expect
a first trend purely due to cosmological effects as more distant
pulses are globally weaker and have longer durations. If an intrinsic
relation such as Eq. (8) is also satisfied the trend should be more
pronounced. The analysis by Hakkila & Cumbee (2009) of a sample of
pulses extracted from 106 long GRBs
gives
which is
shallower than Eq. (8). The observed population is however affected by
cosmological effects (time dilation and k-correction) on the pulse
duration
(Norris 2002) and by
selection effects due to instrument threshold. We model
these different effects to generate the simulated observational
- P diagram from our synthetic GRB pulse population.
3.2 The synthetic pulse population
To get the distribution of
the pulse parameters z, L,
and
in the
synthetic sample we make the
following assumptions:
- -
- redshift z: as we only consider long GRBs which have massive
progenitors, the GRB rate
could a priori be expected to be
proportional to the cosmic star formation rate
.
However
recent studies (Daigne et al. 2006; Guetta & Piran
2007; Kistler et al. 2008)
have shown that at large z the GRB rate still
increases while the SFR probably decreases or remains constant. This
suggests that stellar populations at large z are more efficient in
producing GRBs for reasons which are not well understood (reduced
metallicity or/and IMF favoring massive stars). In this study we
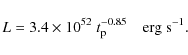
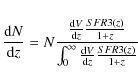
adopt a burst rate which follows SFR3 of Porciani & Madau (2001). This SFR
which keeps rising at large z is not realistic as it would
overproduce metals at
early cosmic times but
SFR3(z) provides a good fit
of the redshift distribution of Swift bursts. We then generate a table
of N (N from 103 to 106) values of the redshift and
corresponding luminosity distance
with z being distributed as
(9)
where
is the comoving volume element in the concordance
cosmology;
- -
- luminosity L: we adopt a power law luminosity function
between
and
.
For the burst population it has been shown that a power law LF with
can reproduce the
-
curve (Firmani et al. 2004;
Daigne et al. 2006).
We adopt the same range of values here and vary
and
respectively from 1050 to 1051 erg s-1
and from 1053 to 1054 erg s-1;
- -
- spectral parameters: the peak energy is either obtained from the
luminosity with the Amati-like relation or has a log-normal
distribution of central value
and width
. When the Amati-like relation is adopted we add a
dispersion
around Eq. (7). We draw the spectral
indices
and
in agreement with the distributions
found by Preece et al. (2000) for bright BATSE bursts. In
Daigne et al. (2006) the
values of
,
and
were
adjusted to provide a good fit of the
distribution of
bright BATSE
bursts. We keep the same values as a starting point but we also vary
them since we are
now considering individual pulses rather than
the entire bursts;
- -
- duration: to get the pulse duration we either assume the validity of
the DLR (Eq. (8)) with a dispersion
or adopt a
log-normal distribution of central value and dispersion adjusted to
reproduce the observed distribution of pulse duration in the Hakkila &
Cumbee (2009) sample.
|
(10) |
where
|
(11) |
We adopt the threshold prescription from Band (2003) where the limiting photon flux is defined between 1 and 1000 keV and depends on the observed peak energy. This finally allows us to construct the simulated observational
3.3 Results
We define a reference case which corresponds to the
following choice of the parameters: slope of the luminosity function
;
erg s-1; peak energy obtained
from the Amati-like relation (Eq. (7)) with an added dispersion of 0.3 dex. We compare in
Fig. 5 the resulting
- P diagrams with and without the DLR. When the
DLR
is adopted we again assume a dispersion of 0.3 dex around Eq. (8).
A fit of the diagrams by a power-law
respectively gives
s=0.27 (with the DLR) and
s=0.09 (without). In the first case, the agreement
with the data of Hakkila & Cumbee (2009) is excellent while the
correlation almost disappears in the second case.
|
Figure 5:
|
| Open with DEXTER | |
We then checked how these results are changed when we vary the model parameters and assumptions (see Table 1):
Table 1:
Slope s of a power law fit (
)
of the
- P diagram with
and without the assumption of the DLR (Eq. (8)) for pulses.
- -
- Luminosity function: we list the power-law index s of the
- P relation when we vary the lower and
upper
limits of the luminosity function
and
and its slope
.
It can be seen that the results only weakly depend on
and
and are nearly unsensitive to
.
- -
- Peak energy distribution: we have first replaced the Amati relation by a
log-normal distribution of central value
keV and dispersion 0.3 dex which were the values
adopted by Daigne et al. (2006). Since these
corresponded
to the whole burst spectra and not to individual pulses we have
considered
other possible
values.
We find that the power-law index of the
- P relation is practically independent of
the adopted
,
especially when we assume the validity of DLR.
However in this case
the
- P relation becomes somewhat steeper than
the data (with s=0.33).
- -
- Dispersion of the DLR: we have increased the dispersion of the DLR from
dex to 1.5 dex. We observe that the power-law
index of the
- P relation evolves from its reference value of 0.27
to 0.09 which corresponds to the situation without the DLR.
It appears that the dispersion of the DLR cannot exceed about
0.6 dex if we still want to fit the data.
Nevertheless, a few words of caution should be expressed since
our analysis does not take into account possible additional
selection
effects which may not apply equally to pulses of different durations.
For example the data has been collected with a
trigger criterion
applied to the full burst and not to individual
pulses. It therefore includes some pulses below the threshold, coming
from bursts which triggered at a brighter instant of the light curve.
Also, the pulse selection and identification technique can fail when
many pulses overlap, which is another source of selection
effects, not easy to quantify.
It is possible that these different biases contribute to produce
an effective
threshold with a limit in fluence in addition to the adopted
limit in peak flux. A limit in fluence may artificially generate a
trend
in the P -
diagram which could contribute to the
observed relation.
4 Discussion
Assuming the validity of the duration-luminosity relation, we have tried to see if it can be understood in the context of the internal shock model for the prompt emission of GRBs (Rees & Meszaros 1994). The isotropic luminosity generated by internal shocks can be approximated by
|
(12) |
where
It can be seen that the time scale
for variability of the Lorentz
factor does not explicitely appear in Eq. (12). As the observed variability
of the prompt emission reflects that of the Lorentz factor in the
internal shock model (times the (1+z) dilation) any
duration-luminosity relation implies that
should be in some way
linked to
and possibly also to
or
.
One
could for example imagine that increasing
results in a more
unstable outflow where the Lorentz factor fluctuates on a shorter time
scale. This would induce a DLR which could become even more pronounced if
the amplitude of the fluctuations (and therefore
)
also increases with
.
From an observational point of view there are some indications that
is anticorrelated with the opening angle of the relativistic
jet (Frail et al. 2001). A thinner jet drilling its way through the envelope of the
progenitor star could be more sensitive to Kelvin-Helmholtz
instabilities developing at its boundaries (Aloy et al. 2002). This would lead to a more
irregular outflow with a shorter time scale of variability of the
Lorentz factor, finally leading to a DLR.
But clearly this discussion is somewhat speculative
and it remains that the internal shock model does not provide by itself
a simple and direct way to explain the DLR.
Recently the internal shock model has also been criticized for a series of
reasons such as its low efficiency, the difficulty to explain
the standard value
of the low energy index
of the spectrum (Ghisellini et al. 2000) or the possible complete suppression
of shocks if the flow is strongly magnetized.
Proposed alternatives to internal shocks are reconnection processes
(Giannos & Spruit 2007)
relativistic turbulence (Narayan & Kumar 2009; Lazar et al. 2009)
or comptonized photospheric emission
(Beloborodov 2009).
Unfortunately the modelling of these
mechanisms has not reached a degree of accuracy where detailed
predictions can be made
on the properties of pulses.
5 Conclusion
We have considered the relations existing between spectral lags,
duration and luminosity in GRB pulses. Extending a previous work by
Hafizi & Mochkovitch (2007) we have first shown that the lag over pulse
duration ratio does not vary much among pulses (remaining of the order
of a few percents). This result holds as long as the spectral softening
following pulse maximum is not limited to a decrease of the peak energy
but also affects the spectral indices, as indicated by the
observations. We have then included in our analysis the relation
between pulse duration and luminosity recently discovered by Hakkila et al. (2008). Combined to our results it allows to link all three quantities:
,
and L. The lag-duration and lag-luminosity relations
we obtain are in good agreement with the data. Also, they do not
strongly depend on the assumptions for the spectral parameters at pulse
maximum: values of
,
,
and their derivatives,
Amati relation or log-normal distribution of
.
Originally obtained with a limited set of only 12 pulses the DLR has recently
received further support from the analysis of another sample of 12 pulses
coming from 8 bursts detected by the HETE 2 satellite (Arimoto et al. 2010).
Its validity however still needs to be confirmed and we have therefore
proposed to test it in a different (statistical) way
using the observational duration-peak photon flux
(
- P) diagram. For that purpose, we have
adapted the Monte-Carlo code of Rossi et al. (2006) to
generate a sample of synthetic pulses for which we predict the
observational
- P diagram. It appears that the
observed correlation
is reproduced only if
pulses satisfy the DLR. This conclusion remains valid when we vary the
pulse luminosity function and spectral properties (
obtained
from the Amati relation or having a log-normal
distribution). Nevertheless we cannot completely exclude some bias in
the pulse selection and characterization process which could contribute
to the observed relation even in the absence of a DLR.
We have finally confronted the DLR to the prediction of the internal shock model for the prompt emission. It appears that the DLR cannot be obtained as a direct and simple consequence of the model. Additional assumptions are required, for example the possibility that the relativistic outflow becomes more unstable and variable when the injected kinetic power increases. Proposed alternatives to internal shocks - reconnection, relativistic turbulence, comptonized photosphere - still don't have the predictive power to test if they can explain the DLR.
In a future development of this work we plan to extend our analysis of the pulse properties (width and spectral lags) to other energy ranges. Data are sparse in the optical but the detailed light curve of the ``naked-eye burst'' GRB 080319b has for example revealed interesting correlations between spectral lags at high and low energy (Stamatikos et al. 2009). At very high energy, Fermi observations have shown delays in the onset of the LAT component with respect to the MeV emission. Understanding the origin of these behaviors will provide clues for a better understanding of the prompt emission of GRBs.
AcknowledgementsIt is a pleasure to thank Jon Hakkila for his numerous advices and for having sent to us unpublished materials and data. We also thank Makoto Arimoto who has kindly answered our questions about the HETE 2 data.
References
- Aloy, M. A., Ibañez, J. M., Miralles, J. A., & Urpin, V. 2002, A&A, 396, 693
- Amati, L., Frontera, F., Tavani, M., et al. 2002, A&A, 390, 81
- Arimoto, M., Kawai, N., Asano, K., et al. 2010, PASJ, 62, 487
- Band, D. 2003, ApJ, 588, 945
- Band, D., Matteson, J., Ford, L., et al. 1993, ApJ, 413, 281
- Beloborodov, A. M. 2009, MNRAS, 407, 1033
- Daigne, F., Rossi, E. M., & Mochkovitch, R. 2006, MNRAS, 372, 1034
- Firmani, C., Avila-Reese, V., Ghisellini, G., & Tutukov, A. V. 2004, ApJ, 611, 1033
- Frail, D. A., Kulkarni, S. R., Sari, R., et al. 2001, ApJ, 562, L55
- Gehrels, N., Norris, J. P., Mangano, V., et al. 2006, Nature, 444, 1044
- Ghirlanda, G., Ghisellini, G., Lazzati, D., & Firmani, C. 2004, ApJ, 613, L13
- Ghirlanda, G., Ghisellini, G., Firmani, C., et al. 2005, MNRAS, 360, L45
- Ghisellini, G., Celotti, A., & Lazzati, D. 2000, MNRAS, 313, L1
- Giannos, D., & Spruit, H. C. 2007, A&A, 469, 1
- Golenetskii, S. V., Mazets, E. P., Aptekar, R. L., & Ilinskii, V. N. 1983, Nature, 306, 451
- Guetta, D., & Piran, T. 2007, JCAP, 7, 3
- Hafizi, M., & Mochkovitch, R. 2007, A&A, 465, 67
- Hakkila, J., & Cumbee, R. S. 2009, in Sixth Huntsville Gamma-Ray Burst Conf., ed. C. A. Meegan, & N. Gehrels, & C. Kouveliotou, AIP Conf. Proc., 1133, 379
- Hakkila, J., Giblin, T. W., Young, K. C., et al. 2007, ApJS, 169, 62
- Hakkila, J., Giblin, T. W., Norris, J. P., et al. 2008, ApJ, 677, L81
- Hakkila, J., Fragile, P. C., & Giblin, T. W. 2009, in Sixth Huntsville Gamma-Ray Burst Conf., ed. C. A. Meegan, N. Gehrels, & C. Kouveliotou, AIP Conf. Proc., 1133, 479
- Kistler, M. D., Yüksel, H., Beacom, J. F., & Stanek, K. Z. 2008, ApJ, 673, L119
- Kouveliotou, C., Meegan, C. A., Fishman, G. J., et al. 1993, ApJ, 413, L101
- Lazar, A., Nakar, E., & Piran, T. 2009, ApJ, 695, L10
- Liang, E., & Kargatis, V. 1996, Nature, 381, 49
- Narayan, R., & Kumar, P. 2009, MNRAS, 394, L117
- Norris, J. P. 2002, ApJ, 579, 386
- Norris, J. P., & Bonnell, J. T. 2006, ApJ, 643, 266
- Norris, J. P., Nemiroff, R. J., Bonnell, J. T., et al. 1996, ApJ, 459, 393
- Norris, J. P., Marani, G. F., & Bonnell, J. T. 2000, ApJ, 534, 248
- Porciani, C., & Madau, P. 2001, ApJ, 548, 522
- Preece, R. D., Briggs, M. S., Mallozzi, R. S., et al. 2000, ApJS, 126, 19
- Reichart, D. E., Lamb, D. Q., Fenimore, E. E., et al. 2001, ApJ, 552, 57
- Stamatikos, M., Ukwatta, T. N., Sakamoto, T., et al. 2009, in Sixth Huntsville Gamma-Ray Burst Conf., ed. C. A. Meegan, N. Gehrels, & C. Kouveliotou, AIP Conf. Proc., 1133, 356
All Tables
Table 1:
Slope s of a power law fit (
)
of the
- P diagram with
and without the assumption of the DLR (Eq. (8)) for pulses.
All Figures
|
Figure 1:
Plot of the three functions
|
| Open with DEXTER | |
| In the text | |
|
Figure 2:
Ratio of spectral lag over pulse duration as a function of the
peak energy at pulse maximum (lower scale) and of the peak luminosity
(upper scale) assuming the validity of the Amati-like relation (Eq. (7)). The
full lines correspond to
|
| Open with DEXTER | |
| In the text | |
|
Figure 3:
Plot of the pulse duration as a function of spectral lag.
The full thick
line represents our reference model which adopts the Amati-like relation
(Eq. (7))
and |
| Open with DEXTER | |
| In the text | |
|
Figure 4: Theoretical lag-luminosity relation for pulses compared to the data collected by Hakkila et al. (2008). The thick line is the reference case while the thin lines correspond to different model parameters (see Fig. 3 and text for details). |
| Open with DEXTER | |
| In the text | |
|
Figure 5:
|
| Open with DEXTER | |
| In the text | |
Copyright ESO 2010
Current usage metrics show cumulative count of Article Views (full-text article views including HTML views, PDF and ePub downloads, according to the available data) and Abstracts Views on Vision4Press platform.
Data correspond to usage on the plateform after 2015. The current usage metrics is available 48-96 hours after online publication and is updated daily on week days.
Initial download of the metrics may take a while.
![\begin{figure}
\par\includegraphics[width=10.4cm,clip]{14132f1.eps}
\end{figure}](/articles/aa/full_html/2010/11/aa14132-10/Timg20.png)
![\begin{figure}
\par\includegraphics[width=10.4cm,clip]{14132f2.eps}
\end{figure}](/articles/aa/full_html/2010/11/aa14132-10/Timg26.png)
![\begin{figure}
\par\includegraphics[width=10.4cm,clip]{14132f3.eps}
\end{figure}](/articles/aa/full_html/2010/11/aa14132-10/Timg29.png)
![\begin{figure}
\par\includegraphics[width=10.4cm,clip]{14132f4.eps}
\end{figure}](/articles/aa/full_html/2010/11/aa14132-10/Timg30.png)
