Open Access

 

 

Table 5:

$\nu _{\rm c}$ estimated for possible cases on $\nu _{\rm m}^\prime $ and $\nu _{\rm c}^\prime $ in the two-component external shock model.

Case
Condition $\nu _{\rm c}$ (Hz)
    Formula GRB 071112C GRB 080506

S1
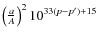
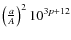
$\nu_{\rm m}^\prime < \nu_{\rm O} < \nu_{\rm c}^\prime < \nu_{\rm X}$ $\left( \frac{a}{A}\right)^2 10^{3(p-p^\prime)} \nu_{\rm c}^\prime$ < $ 1\times 10^{14}$ < $1 \times 10^{10}$

S2

$\nu_{\rm m}^\prime < \nu_{\rm O} < \nu_{\rm X} < \nu_{\rm c}^\prime$ $\left( \frac{a}{A}\right)^2 10^{3(p-p^\prime)+18} $ < $ 6 \times 10^{14}$ $\surd$ $< 5 \times 10^{11}$

S3

$\nu_{\rm O} < \nu_{\rm m}^\prime < \nu_{\rm c}^\prime < \nu_{\rm X}$ $\left( \frac{a}{A}\right)^2 10^{3p-18p^\prime+5} \nu_{\rm m}^{\prime p^\prime -1} \nu_{\rm c}^{\prime 5/3}$ see Fig. 5 $\surd$ see Fig. 5

S4

$\nu_{\rm O} < \nu_{\rm m}^\prime < \nu_{\rm X}< \nu_{\rm c}^\prime $ $\left( \frac{a}{A}\right)^2 10^{3p-18p^\prime+23} \nu_{\rm c}^\prime$ < $ 3 \times 10^{17}$ $\surd$ < $3 \times 10^{15}$ $\surd$

S5

$\nu_{\rm m}^\prime < \nu_{\rm c}^\prime < \nu_{\rm O} < \nu_{\rm X}$ $\left( \frac{a}{A}\right)^2 10^{33(p-p^\prime) +15}$ < $3 \times 10^{-8}$ <2

F1

$\nu_{\rm c}^\prime < \nu_{\rm O} < \nu_{\rm m}^\prime < \nu_{\rm X}$ $\left(\frac{a}{A}\right)^2 10^{3p-9p^\prime+30}\nu_{\rm c}^{\prime (p^\prime -1)}$ < $ 1\times 10^{22}$ $\surd$ < $5 \times 10^{36}$ $\surd$

F2

$\nu_{\rm c}^\prime < \nu_{\rm O} < \nu_{\rm X} < \nu_{\rm m}^\prime$ $\left( \frac{a}{A}\right)^2 10^{3p+12}$ < $2 \times 10^{13}$ < $ 1 \times 10^{15}$ $\surd$

F3

$\nu_{\rm O} < \nu_{\rm c}^\prime < \nu_{\rm m}^\prime < \nu_{\rm X}$ $\left( \frac{a}{A}\right)^2 10^{3p-18p^\prime+5} \nu_{\rm m}^{\prime p^\prime -1/3} \nu_{\rm c}^\prime$ see Fig. 5 $\surd$ see Fig. 5

F4

$\nu_{\rm O} < \nu_{\rm c}^\prime < \nu_{\rm X}< \nu_{\rm m}^\prime $ $\left(\frac{a}{A}\right)^2 10^{3p-18p^\prime+5}\nu_{\rm c}^{\prime p^\prime +2/3}$ < $ 5 \times 10^{16}$ $\surd$ < $ 6 \times 10^{13}$

F5

$\nu_{\rm c}^\prime < \nu_{\rm m}^\prime < \nu_{\rm O} < \nu_{\rm X}$ $\left( \frac{a}{A}\right)^2 10^{33(p-p^\prime) +15} \nu_{\rm m}^\prime$ < $3 \times 10^{-8}$ < $4 \times 10^{13}$

Notes. The checks ($\surd$) show the cases that the present model can reproduce the observed SED variations.


Source LaTeX | All tables | In the text

Current usage metrics show cumulative count of Article Views (full-text article views including HTML views, PDF and ePub downloads, according to the available data) and Abstracts Views on Vision4Press platform.

Data correspond to usage on the plateform after 2015. The current usage metrics is available 48-96 hours after online publication and is updated daily on week days.

Initial download of the metrics may take a while.