| Issue |
A&A
Volume 519, September 2010
|
|
|---|---|---|
| Article Number | A17 | |
| Number of page(s) | 16 | |
| Section | Extragalactic astronomy | |
| DOI | https://doi.org/10.1051/0004-6361/201014320 | |
| Published online | 07 September 2010 | |
Variability and the
X-ray/UV ratio of active galactic nuclei![[*]](/icons/foot_motif.png)
F. Vagnetti1
- S. Turriziani1,
- D. Trevese2 - M. Antonucci1
1 - Dipartimento di Fisica, Università di Roma ``Tor Vergata'', via
della Ricerca Scientifica 1, 00133 Roma, Italy
2 - Dipartimento di Fisica, Università di Roma ``La Sapienza'',
Piazzale Aldo Moro 2, 00185 Roma, Italy
Received 25 February 2010 / Accepted 27 April 2010
Abstract
Context. The observed relation between the X-ray
radiation from active galactic nuclei, originating in the corona, and
the optical/UV radiation from the disk is usually described by
the anticorrelation between the UV to X-ray slope
and the UV luminosity. Many factors can affect this relation,
including: i) enhanced X-ray emission associated with the jets of
radio-loud AGNs, ii) X-ray absorption associated with the
UV broad absorption line (BAL) outflows, iii) other X-ray
absorption not associated with BALs, iv) intrinsic X-ray weakness, v)
UV and X-ray variability, and non-simultaneity of
UV and X-ray observations. The separation of these effects
provides information about the intrinsic
relation and its dispersion, constraining models of disk-corona
coupling.
Aims. We use simultaneous UV/X-ray observations to
remove the influence of non-simultaneous measurements from the
relation.
Methods. We extract simultaneous data from the
second XMM-Newton serendipitous source catalogue
(XMMSSC) and the XMM-Newton Optical Monitor
Serendipitous UV Source Survey catalogue (XMMOMSUSS), and
derive the single-epoch
indices. We use ensemble structure functions to analyse multi-epoch
data.
Results. We confirm the anticorrelation of
with
,
and do not find any evidence of a dependence of
on z. The dispersion in our simultaneous data (
)
is not significantly smaller than in previous non-simultaneous studies,
suggesting that ``artificial
variability'' introduced by non-simultaneity is not the main cause of
dispersion. ``Intrinsic
variability'', i.e., the true variability of the X-ray to optical
ratio, is instead important, and accounts for
30% of the total variance, or more.
``Inter-source dispersion'', due to intrinsic differences in the
average
values from source to source, is also important. The dispersion
introduced by variability is mostly caused by the long timescale
variations, which are expected to be driven by the optical variations.
Key words: surveys - galaxies: active - quasars: general - X-rays: galaxies
1 Introduction
The relationship between the X-ray and optical/UV luminosity of active galactic nuclei (AGNs) is usually described in terms of the indexThe paper is organised as follows. Section 2
describes the data extracted from the archival catalogues.
Section 3 describes the SEDs of the sources and the evaluation
of the specific UV and X-ray luminosities. Section 4
discusses the
anticorrelation and its dispersion. In Sect. 5, we present the
multi-epoch data and discuss the intrinsic X/UV variability of
individual sources. Section 6 provides notes about individual
peculiar sources. Section 7 discusses and summarises the
results.
Throughout the paper, we adopt the cosmology H0=70 km s-1 Mpc-1,
,
and
.
2 The data
The updated incremental version 2XMMi of the second XMM-Newton serendipitous source catalogue (XMMSSC) (Watson et al. 2009) is available online and contains 289 083 detections between 2000 February 3 and 2008 March 28XMMOMSUSS is a catalogue of UV sources detected
serendipitously by the Optical Monitor (OM) onboard the XMM-Newton
observatory and is a partner resource to the 2XMM serendipitous X-ray
source catalogue. The catalogue contains source detections drawn from
2417 XMM-OM observations in up to three
broad-band UV filters, performed between 2000
February 24 and 2007 March 29. The net sky area covered is between 29
and 54 square degrees, depending on UV filter. The XMMOMSUSS
catalogue contains 753 578 UV source
detections above a signal-to-noise ratio threshold limit of 3-
,
which relate to 624049 unique objects.
We first correlated the XMMSSC with the XMMOMSUSS catalogue to
search for X-ray and UV sources with a maximum separation of
1.5 arcsec, corresponding to ![]()
uncertainty in the X-ray position. This yields 22061 matches.
To obtain simultaneous X-ray and UV data, we searched for data
from the same XMM-Newton observations, comparing
the parameters OBS_ID and OBSID of the XMMSSC and XMMOMSUSS catalogue,
respectively, that identify uniquely the XMM-Newton
pointings. This reduces the set to 8082 simultaneous observations. For
the correlations, we used the Virtual Observatory application TOPCAT
.
We then correlated this table with the Sloan Digital Sky
Survey (SDSS) Quasar Catalogue, Data Release 5, to provide optical
classifications and redshifts for the matched objects (Schneider et al. 2007).
Using again a maximum distance of 1.5 arcsec (uncertainty in
the X-ray position), we found 310 matches. Increasing the
maximum distance up to 5 arcsec, we add only
5 matches, none of which has a separation
>2 arcsec. This indicates that, in spite of the
relatively small (
)
cross-correlation radius adopted to reduce the contamination, the
resulting incompleteness (at the present flux limit) is negligible.
The X-ray to optical ratios of the added 5 sources are not
peculiar, therefore we used the entire sample of 315 matches.
This also includes multi-epoch data for 46 sources (from 2 to 9 epochs
each) and single-epoch observations for 195 more sources, for a total
number of 241 sources.
To estimate the probability of false identifications, we
applied an arbitrary shift of 1 arcmin in declination to the X-ray
coordinates of the 8082 simultaneous observations, and we found 219
UV/X-ray spurious associations, i.e., 2.7%. This would correspond to
spurious matches among the 315 observations of our final
sample.
The relevant data of the sources are reported in
Table 1,
where:
Col. 1 corresponds to the source serial number;
Col. 2, the observation epoch serial number;
Col. 3 source name;
Col. 4 epoch (MJD);
Col. 5 redshift;
Col. 6 radio-loud flag (1=radio-loud, 0=radio-quiet,
-1=unclassified);
Col. 7 BAL flag (1=BAL, 0=non-BAL);
Col. 8 log of the specific luminosity at 2500 Å
in erg s-1 Hz-1;
Col. 9 log of the specific luminosity at 2 keV
in erg s-1 Hz-1;
Col. 10 UV to X-ray power law index
;
Col. 11 residual of
w.r.t. the adopted
-
correlation;
and Col. 12 hardness ratio between the bands 1-2 keV
and 2-4.5 keV.
The sources span a region in the luminosity-redshift plane
with
and 1029 erg s-1 Hz
erg s-1 Hz-1,
as shown in Fig. 1.
|
Figure 1: The sources in the luminosity-redshift plane. All the sources in Table 1 are reported. Small dots correspond to single-epoch data, while open circles indicate average luminosity values of multi-epoch sources. |
| Open with DEXTER | |
3 Evaluation of the specific luminosities
3.1 UV
The Optical Monitor onboard XMM-Newton is described in detail in Mason et al. (2001). The set of filters included within the XMMOMSUSS catalogue is described in a dedicated page at MSSLIn the evaluation of the rest-frame luminosities, it is
inadvisable to apply k-corrections using fixed power laws, because the
local slope of the power law
at the emission frequency corresponding to the observed bandpasses
changes as a function of the source redshift, between
-0.5 and
-2 (see,
e.g., Richards et al. 2006).
The effective slope to compute specific luminosity at 2500 Å
is an appropriate average of the slopes between the emission frequency
and the frequency corresponding to 2500 Å.
One or more specific fluxes, up to six, are reported in
XMMOMSUSS for the filters effectively used for each source, depending
on observational limitations at each pointing. We were therefore able
to compute optical-UV spectral energy distributions (SEDs) for
each source. We derived specific luminosities at the different emission
frequencies of the SEDs according to the classical formula
|
(1) |
The result is plotted in Fig. 2, where SEDs with 2-6 frequency points are shown as lines, while small circles represent sources with only 1 frequency point. Black lines and circles refer to sources with data at a single epoch, while colours are used for multi-epoch sources. Data from the same source are plotted with the same colour, but more sources are represented with the same colour. The continuous curve covering the entire range of the plot is the average SED computed by Richards et al. (2006) for type 1 quasars from the SDSS.
|
Figure 2: Spectral energy distributions from the available OM data. Sources with 2 or more frequency points are shown as lines, while small circles represent sources with only 1 frequency point. Black lines and circles refer to sources with data at a single epoch, while coloured data refer to multi-epoch sources. Data from the same source are plotted with the same colour, but more sources are represented with the same colour. The continuous curve covering all the range of the plot is the average SED computed by Richards et al. (2006) for type 1 quasars from the SDSS. |
| Open with DEXTER | |
The specific luminosity at 2500 Å, (
),
called
for brevity, is evaluated as follows: i) if the SED of the source
extends across a sufficiently wide range at low frequency, crossing the
line
(see Fig. 2),
is computed as an interpolation of the SED values in the 2 nearest
frequency points; ii) in the other cases, i.e., if
for all the SED, we use a curvilinear extrapolation, adopting the shape
of the average SED by Richards
et al. (2006), shifting it vertically to match the
specific luminosity of the source at the lowest frequency point
available, say
,
and applying a correction factor between
and 15.08. Another possibility would be to extrapolate the source's SED
using a power law with the same slope as that between the two lowest
frequency points, but this is not applicable when there is only 1
frequency point, and is inappropriate when
,
because it is then in a region where the average SED by Richards et al. (2006)
steepens. We therefore do not apply this power law extrapolation, and
use instead the curvilinear extrapolation (ii) described above.
However, we tested the use of this power law extrapolation for the
subset of SEDs for which it can be applied, and computed the
relation as described in the following (Sect. 4). We found similar
slopes (within 0.010) and dispersions (within 0.005), which does not
influence our final conclusions.
3.2 X-ray
X-ray fluxes are provided by the XMMSSC catalogue integrated in 5 basic energy bands, 0.2-0.5 keV (band 1), 0.5-1 keV (band 2), 1-2 keV (band 3), 2-4.5 keV (band 4), and 4.5-12 keV (band 5) (Watson et al. 2009). Power law distributions with photon indexTo evaluate the specific luminosity at 2 keV (which
we call
for brevity), we can use the flux in one of the two adjacent bands, 3
or 4. Since the fluxes are computed with negligible absorption, we
prefer to use the band 4, which is less absorbed than the
band 3 in type-2 obscured AGNs. It would also be possible to
directly measure rest-frame 2 keV flux from observed
low-energy bands 1 or 2, but - again - this would provide in some cases
an absorbed flux. We therefore use the power law integral
|
(2) |
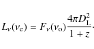
and determine the specific flux at 2 keV (observed frame) to be:
|
(3) |
We then apply a standard power law k-correction
|
(4) |
adopting
4 The
-
anticorrelation
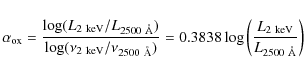
We define, as usual
|
(5) |
and show in Fig. 3,
as a function of
for all the sources in Table 1,
including also multi-epoch measurements where available. Radio-loud
quasars and BAL quasars are also shown with different symbols, and they
are then removed from the main correlation.
|
Figure 3:
|
| Open with DEXTER | |
Radio flux density at 1.4 GHz from FIRST radio survey
(Becker et al. 1995)
is directly available in the SDSS-DR5 Quasar Catalog, where radio
sources are associated with SDSS positions adopting a cross-correlation
radius of 2 arcsec (Schneider
et al. 2007). In a few cases, additional radio
information is taken from the NVSS survey (Condon
et al. 1998) and/or from the NASA Extragalactic
Database (NED). In total, radio information is available for 228
sources out of 241 in Table 1.
Following Gibson et al. (2008),
we assume a radio spectral index
to estimate the specific luminosity at 5 GHz. We then
calculate the radio-loudness parameter (e.g., Kellermann
et al. 1989),
|
(6) |
and classify sources with
As a first step, we show in Fig. 3 linear least squares
fits corresponding to all the available measurements with the same
weights, even for multi-epoch sources, as if they were different
sources. The thin continuous line is a fit to all the sources,
regardless of their radio-loudness and/or BAL characteristics, given by
| (7) |
A second fit, shown as a dotted line, corresponds to radio-quiet
non-BAL sources, which are 193 of 241 in our sample
| (8) |
Radio-unclassified sources marked in Table 1 with
Most of the radio-loud sources in Fig. 3 are located above the fits, as expected, radio-loud quasars being known to have jet-linked X-ray emission components that generally lead to higher X-ray-to-optical ratios than those of radio-quiet quasars (e.g., Worrall et al. 1987).
One source, #130 in Table 1, appears to be very
X-ray weak relative to the average correlation, as quantified in
Sect. 4.1. This source is discussed further in Sect. 6 and we
believe there are reasons to consider it to be anomalous. We then
exclude it, so obtaining a reference sample of 192 radio-quiet non-BAL
sources, not containing source #130. We indicate with a thick
continuous line the corresponding fit
| (9) |
These correlations can be compared with that reported by Gibson et al. (2008),
which is shown in Fig. 3
as a dot-dashed line
| (10) |
and with those found by previous authors, usually flatter, as e.g. in Just et al. (2007), whose
fit is shown in Fig. 3
as a dashed line:
| (11) |
The analysis of Grupe et al. (2010) is also interesting, because it uses simultaneous X-ray and optical measurements from Swift, and has a yet flatter slope
| (12) |
We note that the relations of Gibson et al. (2008) and Grupe et al. (2010) are obtained by means of analyses in limited ranges of UV luminosities and redshifts, respectively of (
We now limit ourselves to our reference sample of
192 sources, and show in Fig. 4 (as open circles)
the average values of
and
for 41 multi-epoch sources, together with the corresponding values for
151 single-epoch sources (black dots). Source #45 is a known
gravitational lens (Kochanek
et al. 1997). Chartas
(2000) estimated that its luminosity is amplified by a factor
15. We plot
this source in Fig. 4
as an open square at the observed luminosity, and deamplified by a
factor of 15 as an open circle, connected to the observed point by a
dotted line. The parameter
is not affected, as gravitational lensing is achromatic.
|
Figure 4:
|
| Open with DEXTER | |
The best-fit relation to the data in Fig. 4, including source
#45 with its deamplified luminosity, is
| (13) |
Separate fits for single-epoch and multi-epoch sources give, respectively,
4.1
Dispersion in 
We adopt Eq. (13) as our reference
relation and investigate the dispersion of the sources around it. We
therefore define the residuals
| (14) |
We show in Fig. 5 the histograms of
|
Figure 5:
Histograms of the residuals |
| Open with DEXTER | |
The dispersion in our
distribution is comparable to those obtained by, e.g., Strateva et al. (2005), Just et al. (2007), and Gibson et al. (2008) on
the basis of non-simultaneous X-ray and UV data, with values
between 0.10 and 0.14. Our result based on simultaneous data eliminates
a possible cause of dispersion due to ``artificial
variability''. The dispersion is not lower than previous
non-simultaneous estimates, thus it is probably caused by other factors
affecting the X-ray/UV ratio. These could include: (i)
``intra-source dispersion'', caused by ``intrinsic
variability'', i.e., true temporal change in the
X-ray/UV ratio for individual sources, and/or (ii)
``inter-source dispersion'', due to intrinsic differences in the
average
values from source to source, perhaps related to different conditions
in the emitting regions.
4.2 Dependence on z and L
To estimate the possible dependence of
on redshift, we perform a partial correlation analysis, correlating
with
,
with account for the effect of z, and correlating
with z, taking account of the effect of
.
For our reference sample of 192 radio-quiet, non-BAL, sources, we find
a Pearson partial correlation coefficient
,
with a probability P(>
for the null hypothesis that
and
are uncorrelated. The other partial correlation coefficient is
with P(>r)=0.52, which
implies that there is no evidence of a correlation with z.
Our results agree with previous studies (Strateva
et al. 2005; Steffen et al. 2006; Just et al.
2007; Avni
& Tananbaum 1986), which also found no evidence of a
dependence of
on redshift (see however Kelly
et al. 2007).
In the upper panel of Fig. 6, we plot the
residuals
,
Eq. (14), as a function of z, which show
no correlation (r=0.027, P(>r)=0.703,
).
In the lower panel, we plot the residuals
as a function of
,
after computing the average
relation,
.
These residuals clearly decrease with luminosity (r=-0.305,
P(>
,
).
Similar results were obtained by Steffen
et al. (2006). These results suggest that the
dependence of
on z is induced by the intrinsic dependence on
through the
correlation.
|
Figure 6:
Upper panel: residuals |
| Open with DEXTER | |
The slope of the
relation, according to the fits by Gibson
et al. (2008) and Grupe
et al. (2010), shown in Fig. 3 with the results of Just et al. (2007) and
ourselves, may be flatter at lower luminosity and/or redshift. We
divide our reference sample into two equally populated subsamples,
,
finding
for the low luminosity sources, and
for the high luminosity ones, while for the entire sample
Eq. (13) is valid. A Student's-t test applied to the low-
and high-
subsamples gives a 12% probability that they are drawn from the same
parent distribution. A similar result was found by Steffen
et al. (2006).
We similarly divide our sample into two redshift subsamples,
,
finding
for the low z sources, and
for the high z sources. Application of the
Student's-t test gives in this case a 7% probability that low-z
and high-z subsamples are drawn from the same parent
distribution.
This suggests that the slope of the
relation may be
- and/or z-dependent.
However, the apparent dependence on z can
be an artifact of a true dependence on
,
or vice versa. A sample of sources evenly distributed in the L-z
plane is required to distinguish these dependences.
5 Multi-epoch data
We show in Fig. 7 the tracks of individual sources in the
|
Figure 7:
behaviour of individual radio-quiet non-BAL sources in the plane |
| Open with DEXTER | |
|
Figure 8:
Histogram of the individual dispersions of |
| Open with DEXTER | |
Most sources have data at only 2 epochs, and only 9 sources have more
epochs, up to 9. The individual variations occur on different
timescales, from hrs to yrs, and cannot be directly compared with each
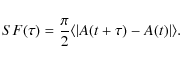
other. It is however possible to build an ensemble structure function
(SF) to describe the variability in a given quantity A(t)
for different rest-frame time-lags
.
We define it as in di Clemente
et al. (1996)
|
(15) |
The factor
These values can be compared with the dispersion in the residuals shown
in Fig. 5,
which is
for the reference sample. We note that the ensemble variability of
was computed for only 41 multi-epoch sources, while the filled
histogram shown in Fig. 5
also includes 151 single-epoch sources. We then checked whether the
dispersions in the residuals for the single-epoch and multi-epoch
subsamples are similar, being
and
,
respectively.
|
Figure 9:
Rest-frame structure function of |
| Open with DEXTER | |
|
(16) |
Our structure function analysis infers a value of 0.07 for the intra-source dispersion at 1 yr (or 0.06 if we remove the highly variable source #157), while the total dispersion in the residuals shown in Fig. 5 is
Other factors may affect the dispersion, for example:
(i) errors in the extrapolations of UV and X-ray
luminosities; (ii) differences in galactic absorption;
(iii) spurious inclusion of unknown BAL sources. From
Fig. 2,
it appears that a few sources have SEDs with anomalous slopes, and
extrapolations with the average SED by Richards
et al. (2006) infer in these cases poor luminosity
estimates; however, this applies only to a small fraction of the
sample. For X-rays, we adopted
to be consistent with the fluxes catalogued in the XMMSSC; a
distribution of
values would introduce an extra dispersion. All these factors would
probably contribute an additional term in Eq. (16). This would
constrain more tightly the contribution of the inter-source dispersion,
therefore increasing the relative weight of variability and
intra-source dispersion.
A finer sampling of the SF and a homogeneous weight of the
individual sources are however needed to quantify more definitely the
contribution of variability, and which fraction has yet to be explained
by other factors. Simultaneous UV and X-ray observations for a
homogeneous sample of sources no greater than our own would be
sufficient, assuming that each source is observed at
10 epochs,
spanning a monitoring time of a few years.
6 Peculiar sources
6.1 2XMM J112611.6+425245
We computed the X-ray luminosity and the
spectral index starting from the X-ray flux in the 2-4.5 keV
band (XMM-Newton band 4), as
described in Sect. 3. Since 2XMM J112611.6+425245 (source
#130) is X-ray weak by a factor
40, we analysed the X-ray information in the
various XMM-Newton bands, available in the XMMSSC
catalogue, and found this source to be even weaker in the softer
1-2 keV band (band 3), with a very high
hardness ratio between the two bands, HR3=(CR4-CR3)/(CR4+CR3)=0.52,
CR3 and CR4 being the count
rates in the two bands. We then plot the sources of Table 1 in the plane
,
to see whether X-ray weak sources are in some way related to particular
values of the X-ray hardness ratio. This is shown in Fig. 10, where it can be
seen that most sources are concentrated in a region with ``standard''
values around
and
,
while a few sources are located at greater distances, along tails in
various directions. Source #130, indicated by a
sign in the figure, is the most distant, and very X-ray weak and very
hard.
Hu et al. (2008)
report this source (which has a redshift z=0.156)
in their study of the FeII emission in quasars, where it is shown that
systematic inflow velocities of FeII emitting clouds are inversely
correlated with Eddington ratios. The source 2XMM J112611.6+425245 has
one of the highest measured inflow velocities,
km s-1.
Ferland et al. (2009)
argue about the high column densities,
cm-2,
necessary to account for the inflows in this class of quasars, and
about the possibility that either UV or X-ray absorption are
associated with the infalling component.
The source 2XMM J112611.6+425245 also has a high HR4=(CR5-CR4)/(CR5+CR4)=0.63, CR5 being the count rate in the 4.5-12 keV energy band. High values of HR3 and HR4 are used by Noguchi et al. (2009) to select, on the basis of a modelling of the direct and scattered emission, a sample of AGNs hidden by geometrically thick tori. The hardness ratios of this source imply that it is a good candidate for that class of AGNs.
|
Figure 10:
Plot of the sources of Table 1
in the plane |
| Open with DEXTER | |
6.2 2XMM J123622.9+621526
Source #157 is one of those with the greatest variance in7 Discussion
The behaviour of
,
i.e., its dependence on luminosity and redshift, its dispersion and
variability, are to be considered as symptoms of the relation between
disk and corona emissions and their variabilities.
It is generally believed that variable X-ray irradiation can drive optical variations by means of variable heating of the internal parts of the disk on relatively short timescales, days to weeks, while intrinsic disk instabilities in the outer parts of the disk dominate on longer timescales, months to years, propagating inwards and modulating X-ray variations in terms of Compton up-scattering in the corona (Arévalo 2006; Czerny 2004; Papadakis et al. 2008; Arévalo 2009; McHardy 2010).
The structure functions of the light curves increase on long
timescales both in the optical (e.g., Bauer et al. 2009; Vanden Berk
et al. 2004; di Clemente et al. 1996)
and X-rays (e.g., Fiore et al.
1998, Vagnetti et al., in prep.). This, however, does not
imply that the
SF also increases with time lag. Larger changes (on long time lags) in
both X-ray and UV fluxes may occur without changes in the
spectral shape (i.e., with constant
). Our results shown in
Fig. 9
indicate that this is not the case, i.e., that slope changes are indeed
larger on longer timescales.
Moreover, it is evident from Fig. 9 that most of the
dispersion about the
relation is due, in the present sample, to variations on timescales
from months to years, which are associated with optically driven
variations, according to the general belief.
The
structure function does not distinguish between the hardening or
softening of the optical to X-ray spectrum during brightening. This is
instead described by the spectral variability parameter
(Trevese
& Vagnetti 2002; Trevese et al. 2001),
which can be adapted to the optical-X-ray case to become
|
(17) |
where
Of course, the different behaviour of the sources in the
plane may correspond to a different time sampling. Constraining
physical models of the primary variability source and disk-corona
coupling would require the analysis of
as a function of the time lag.
This analysis does not look feasible, i.e., to have statistical
reliability, with the present sparse sampling. We can propose more
conventional scenarios and note that since most of the variability, in
the present sample, occurs on long (
year ) timescale, it is presumably associated with optically driven
variations. Considering all the measured variations
and
,
we obtain the ``ensemble'' average
.
The negative sign implies that, on average, a spectral steepening
occurs in the brighter phase. This is, in fact, consistent with larger
variations in the UV band, driving the
X-ray variability. The value of
can be compared with the average slope of the
relation, Eq. (13), indicating that the UV excess in
the brighter phase (steepening) is larger than the average
UV excess in bright objects respect to faint ones.
Finally we emphasise that, despite its limitations, the
present analysis illustrates the feasibility of an ensemble analysis of
the
correlation, e.g., by considering the
parameter as a function of time lag. What is presently missing is an
adequate simultaneous X-ray-UV sampling, at relatively short
time lags, of a statistical AGN sample. An ensemble analysis may
provide important constraints even when the total number of
observations does not allow us to carry out a cross-correlation
analysis of X-ray and UV variations of individual sources.
We summarise our main results as follows:
- we have studied the
anticorrelation with simultaneous data extracted from the XMM-Newton
Serendipitous Source catalogues;
- we confirm the anticorrelation, with a slope (-0.178) slightly steeper w.r.t. Just et al. (2007);
- we do not find evidence for a dependence of
on redshift, in agreement with previous authors (e.g. Strateva
et al. 2005; Steffen et al. 2006; Just et al.
2007; Avni
& Tananbaum 1986);
- there appears to be a flatter slope to the anticorrelation at low luminosities and low redshifts, in agreement with previous results by Steffen et al. (2006);
- the dispersion in our simultaneous data (
)
is not significantly smaller w.r.t. previous non-simultaneous studies (Gibson
et al. 2008; Strateva et al. 2005; Just et al.
2007), indicating that ``artificial
variability'' introduced by non-simultaneity is not the main cause of
dispersion;
- ``intrinsic
variability'', i.e., true variability in the X-ray to optical ratio, is
important, and accounts for 
of the total variance, or more;
- ``inter-source dispersion'', due to intrinsic differences
in the average
values from source to source, is also important;
- the dispersion introduced by variability is mostly caused by the long timescale variations, which are expected to be dominated by the optical variations; the average spectral softening observed in the bright phase is consistent with this view;
- distinguishing the trends produced by optical or X-ray
variations may be achievable using the ensemble analysis of the
spectral variability parameter
as a function of time lag; crucial information would be provided by
wide field simultaneous UV and X-ray observations with
relatively short (days-weeks) time lags.
We thank P. Giommi and A. Paggi for useful discussions. This research has made use of the XMM-Newton Serendipitous Source Catalogue, which is a collaborative project involving the whole Science Survey Center Consortium. This research has made use of the XMM-OM Serendipitous Ultra-violet Source Survey (XMMOMSUSS), which has been created at the University College London's (UCL's) Mullard Space Science Laboratory (MSSL) on behalf of ESA and is a partner resource to the 2XMM serendipitous X-ray source catalogue. Funding for the SDSS and SDSS-II has been provided by the Alfred P. Sloan Foundation, the Participating Institutions, the National Science Foundation, the U.S. Department of Energy, the National Aeronautics and Space Administration, the Japanese Monbukagakusho, the Max Planck Society, and the Higher Education Funding Council for England. The SDSS Web Site is http://www.sdss.org/. This research has made use of the NASA/IPAC Extragalactic Database (NED), which is operated by the Jet Propulsion Laboratory, California Institute of Technology, under contract with the National Aeronautics and Space Administration. This work makes use of EURO-VO software, tools or services. The EURO-VO has been funded by the European Commission through contract numbers RI031675 (DCA) and 011892 (VO-TECH) under the 6th Framework Programme and contract number 212104 (AIDA) under the 7th Framework Programme. S.T. acknowledges financial support through Grant ASI I/088/06/0.
References
- Arévalo, P. 2006, in VI Microquasar Workshop: Microquasars and Beyond, PoS(MQW6)032 [Google Scholar]
- Arévalo, P. 2009, in ed. W. Wang, Z. Yang, Z. Luo, & Z. Chen, ASP Conf. Ser., 408, 296 [Google Scholar]
- Avni, Y., & Tananbaum, H. 1986, ApJ, 305, 83 [NASA ADS] [CrossRef] [Google Scholar]
- Bauer, A., Baltay, C., Coppi, P., et al. 2009, ApJ, 696, 1241 [NASA ADS] [CrossRef] [Google Scholar]
- Bauer, F. E., Vignali, C., Alexander, D. M., et al. 2004, Adv. Space Res., 34, 2555 [NASA ADS] [CrossRef] [Google Scholar]
- Becker, R. H., White, R. L., & Helfand, D. J. 1995, ApJ, 450, 559 [NASA ADS] [CrossRef] [Google Scholar]
- Brandt, W. N., Laor, A., & Wills, B. J. 2000, ApJ, 528, 637 [NASA ADS] [CrossRef] [Google Scholar]
- Chartas, G. 2000, ApJ, 531, 81 [NASA ADS] [CrossRef] [Google Scholar]
- Condon, J. J., Cotton, W. D., Greisen, E. W., et al. 1998, AJ, 115, 1693 [NASA ADS] [CrossRef] [Google Scholar]
- Czerny, B. 2004, The role of an accretion disk in AGN variability [arXiv:astro-ph/0409254] [Google Scholar]
- di Clemente, A., Giallongo, E., Natali, G., Trevese, D., & Vagnetti, F. 1996, ApJ, 463, 466 [NASA ADS] [CrossRef] [Google Scholar]
- Ferland, G. J., Hu, C., Wang, J., et al. 2009, ApJ, 707, L82 [NASA ADS] [CrossRef] [Google Scholar]
- Fiore, F., Laor, A., Elvis, M., Nicastro, F., & Giallongo, E. 1998, ApJ, 503, 607 [NASA ADS] [CrossRef] [Google Scholar]
- Giallongo, E., Trevese, D., & Vagnetti, F. 1991, ApJ, 377, 345 [NASA ADS] [CrossRef] [Google Scholar]
- Gibson, R. R., Brandt, W. N., & Schneider, D. P. 2008, ApJ, 685, 773 [NASA ADS] [CrossRef] [Google Scholar]
- Gibson, R. R., Jiang, L., Brandt, W. N., et al. 2009, ApJ, 692, 758 [NASA ADS] [CrossRef] [Google Scholar]
- Grupe, D., Komossa, S., Leighly, K. M., & Page, K. L. 2010, ApJS, 187, 64 [NASA ADS] [CrossRef] [Google Scholar]
- Hu, C., Wang, J.-M., Ho, L. C., et al. 2008, ApJ, 687, 78 [NASA ADS] [CrossRef] [Google Scholar]
- Just, D. W., Brandt, W. N., Shemmer, O., et al. 2007, ApJ, 665, 1004 [Google Scholar]
- Kellermann, K. I., Sramek, R., Schmidt, M., Shaffer, D. B., & Green, R. 1989, AJ, 98, 1195 [NASA ADS] [CrossRef] [Google Scholar]
- Kelly, B. C., Bechtold, J., Siemiginowska, A., Aldcroft, T., & Sobolewska, M. 2007, ApJ, 657, 116 [NASA ADS] [CrossRef] [Google Scholar]
- Kochanek, C. S., Falco, E. E., Schild, R., et al. 1997, ApJ, 479, 678 [NASA ADS] [CrossRef] [Google Scholar]
- La Franca, F., Franceschini, A., Cristiani, S., & Vio, R. 1995, A&A, 299, 19 [NASA ADS] [Google Scholar]
- Leighly, K. M., Halpern, J. P., Jenkins, E. B., et al. 2007, ApJ, 663, 103 [NASA ADS] [CrossRef] [Google Scholar]
- Markowitz, A., Edelson, R., & Vaughan, S. 2003, ApJ, 598, 935 [NASA ADS] [CrossRef] [Google Scholar]
- Mason, K. O., Breeveld, A., Much, R., et al. 2001, A&A, 365, L36 [NASA ADS] [CrossRef] [EDP Sciences] [Google Scholar]
- McHardy, I. 2010, in Lecture Notes in Physics, The Jet Paradigm, ed. T. Belloni (Berlin: Springer Verlag), 794, 203 [Google Scholar]
- Noguchi, K., Terashima, Y., & Awaki, H. 2009, ApJ, 705, 454 [NASA ADS] [CrossRef] [Google Scholar]
- Papadakis, I. E., Chatzopoulos, E., Athanasiadis, D., Markowitz, A., & Georgantopoulos, I. 2008, A&A, 487, 475 [NASA ADS] [CrossRef] [EDP Sciences] [Google Scholar]
- Richards, G. T., Lacy, M., Storrie-Lombardi, L. J., et al. 2006, ApJS, 166, 470 [NASA ADS] [CrossRef] [Google Scholar]
- Schneider, D. P., Hall, P. B., Richards, G. T., et al. 2007, AJ, 134, 102 [NASA ADS] [CrossRef] [Google Scholar]
- Smith, R., & Vaughan, S. 2007, MNRAS, 375, 1479 [NASA ADS] [CrossRef] [Google Scholar]
- Steffen, A. T., Strateva, I., Brandt, W. N., et al. 2006, AJ, 131, 2826 [NASA ADS] [CrossRef] [Google Scholar]
- Strateva, I. V., Brandt, W. N., Schneider, D. P., Vanden Berk, D. G., & Vignali, C. 2005, AJ, 130, 387 [NASA ADS] [CrossRef] [Google Scholar]
- Trevese, D., & Vagnetti, F. 2002, ApJ, 564, 624 [NASA ADS] [CrossRef] [Google Scholar]
- Trevese, D., Kron, R. G., & Bunone, A. 2001, ApJ, 551, 103 [NASA ADS] [CrossRef] [Google Scholar]
- Vanden Berk, D. E., Wilhite, B. C., Kron, R. G., et al. 2004, ApJ, 601, 692 [NASA ADS] [CrossRef] [Google Scholar]
- Vignali, C., Brandt, W. N., & Schneider, D. P. 2003, AJ, 125, 433 [NASA ADS] [CrossRef] [Google Scholar]
- Watson, M. G., Schröder, A. C., Fyfe, D., et al. 2009, A&A, 493, 339 [NASA ADS] [CrossRef] [EDP Sciences] [Google Scholar]
- Worrall, D. M., Tananbaum, H., Giommi, P., & Zamorani, G. 1987, ApJ, 313, 596 [NASA ADS] [CrossRef] [Google Scholar]
- Yuan, W., Siebert, J., & Brinkmann, W. 1998, A&A, 334, 498 [NASA ADS] [Google Scholar]
Online Material
Table 1: The sources.
Footnotes
- ... nuclei
- Table 1 is only available in electronic form at http://www.aanda.org
- ...
- Visitor at ASI Science Data Center, via Galileo Galilei, 00044 Frascati, Italy.
- ... 2XMMi
- http://heasarc.gsfc.nasa.gov/W3Browse/xmm-newton/xmmssc.html
- ... online
- http://heasarc.gsfc.nasa.gov/W3Browse/xmm-newton/xmmomsuss.html
- ... 28
- After the submission of the article, a note has been distributed about ``Incorrect EPIC band-4 fluxes in the 2XMM and 2XMMi catalogues'' (XMM-Newton News #105, http://xmm.esac.esa.int/external/xmm_news/news_list/). This affects 83 observations among the 315 in Table 1, which is corrected in agreement with the new data released by the XMM-Newton Survey Science Centre. All our analysis is also corrected with the new data.
- ... TOPCAT
- http://www.star.bris.ac.uk/ mbt/topcat/
- ... MSSL
- http://www.mssl.ucl.ac.uk/ mds/XMM-OM-SUSS/SourcePropertiesFilters.shtml.
- ... law
- We adopt spectral indices following the implicit sign convention,
.
- ... index
- With the usual convention of explicit minus sign for the photon index,
and with the implicit sign adopted by us for the energy index
,
the relation between the two indices is
.
All Tables
Table 1: The sources.
All Figures
|
Figure 1: The sources in the luminosity-redshift plane. All the sources in Table 1 are reported. Small dots correspond to single-epoch data, while open circles indicate average luminosity values of multi-epoch sources. |
| Open with DEXTER | |
| In the text | |
|
Figure 2: Spectral energy distributions from the available OM data. Sources with 2 or more frequency points are shown as lines, while small circles represent sources with only 1 frequency point. Black lines and circles refer to sources with data at a single epoch, while coloured data refer to multi-epoch sources. Data from the same source are plotted with the same colour, but more sources are represented with the same colour. The continuous curve covering all the range of the plot is the average SED computed by Richards et al. (2006) for type 1 quasars from the SDSS. |
| Open with DEXTER | |
| In the text | |
|
Figure 3:
|
| Open with DEXTER | |
| In the text | |
|
Figure 4:
|
| Open with DEXTER | |
| In the text | |
|
Figure 5:
Histograms of the residuals |
| Open with DEXTER | |
| In the text | |
|
Figure 6:
Upper panel: residuals |
| Open with DEXTER | |
| In the text | |
|
Figure 7:
behaviour of individual radio-quiet non-BAL sources in the plane |
| Open with DEXTER | |
| In the text | |
|
Figure 8:
Histogram of the individual dispersions of |
| Open with DEXTER | |
| In the text | |
|
Figure 9:
Rest-frame structure function of |
| Open with DEXTER | |
| In the text | |
|
Figure 10:
Plot of the sources of Table 1
in the plane |
| Open with DEXTER | |
| In the text | |
Copyright ESO 2010
Current usage metrics show cumulative count of Article Views (full-text article views including HTML views, PDF and ePub downloads, according to the available data) and Abstracts Views on Vision4Press platform.
Data correspond to usage on the plateform after 2015. The current usage metrics is available 48-96 hours after online publication and is updated daily on week days.
Initial download of the metrics may take a while.
![\begin{figure}
\par\includegraphics[width=8.8cm,clip]{14320f1.eps}
\end{figure}](/articles/aa/full_html/2010/11/aa14320-10/Timg30.png)
![\begin{figure}
\par\includegraphics[width=8.8cm,clip]{14320f2.eps}
\end{figure}](/articles/aa/full_html/2010/11/aa14320-10/Timg33.png)
![\begin{figure}
\par\includegraphics[width=8.8cm,clip]{14320f3.eps}
\end{figure}](/articles/aa/full_html/2010/11/aa14320-10/Timg49.png)
![\begin{figure}
\par\includegraphics[width=8.8cm,clip]{14320f4.eps}
\end{figure}](/articles/aa/full_html/2010/11/aa14320-10/Timg66.png)
![\begin{figure}
\par\includegraphics[width=8.8cm,clip]{14320f5.eps}
\end{figure}](/articles/aa/full_html/2010/11/aa14320-10/Timg74.png)
![\begin{figure}
\par\includegraphics[width=8.8cm,clip]{14320f6.eps}
\end{figure}](/articles/aa/full_html/2010/11/aa14320-10/Timg85.png)
![\begin{figure}
\par\includegraphics[width=8.8cm,clip]{14320f7.eps}
\end{figure}](/articles/aa/full_html/2010/11/aa14320-10/Timg92.png)
![\begin{figure}
\par\includegraphics[width=8.2cm,clip]{14320f8.eps}
\end{figure}](/articles/aa/full_html/2010/11/aa14320-10/Timg93.png)
![\begin{figure}
\par\includegraphics[width=8.8cm,clip]{14320f9.eps}
\end{figure}](/articles/aa/full_html/2010/11/aa14320-10/Timg99.png)
![\begin{figure}
\par\includegraphics[width=8.8cm,clip]{14320f10.eps}
\vspace*{4mm}
\end{figure}](/articles/aa/full_html/2010/11/aa14320-10/Timg108.png)