| Issue |
A&A
Volume 519, September 2010
|
|
|---|---|---|
| Article Number | A81 | |
| Number of page(s) | 9 | |
| Section | Astrophysical processes | |
| DOI | https://doi.org/10.1051/0004-6361/201014459 | |
| Published online | 16 September 2010 | |
Modeling the three-dimensional pair cascade in binaries
Application to LS 5039
B. Cerutti1 - J. Malzac2 - G. Dubus1 - G. Henri1
1 - Laboratoire d'Astrophysique de Grenoble, UMR 5571 CNRS, Université
Joseph Fourier, BP 53, 38041 Grenoble, France
2 -
Centre d'Étude Spatiale des Rayonnements, OMP, UPS, CNRS, 9 Avenue du Colonel Roche, BP 44346, 31028 Toulouse Cedex 4, France
Received 18 March 2010 / Accepted 5 June 2010
Abstract
Context. LS 5039 is a Galactic binary system emitting
high and very-high energy gamma rays. The gamma-ray flux is modulated
on the orbital period and the TeV lightcurve shaped by photon-photon
annihilation. The observed very-high energy modulation can be
reproduced with a simple leptonic model but fails to explain the flux
detected by HESS at superior conjunction, where gamma rays are fully
absorbed.
Aims. The contribution from an electron-positron pair cascade
could be strong and prevail over the primary flux at superior
conjunction. The created pairs can be isotropized by the magnetic
field, resulting in a three-dimensional cascade. The aim of this
article is to investigate the gamma-ray radiation from this pair
cascade in LS 5039. This additional component could account for
HESS observations at superior conjunction in the system.
Methods. A semi-analytical and a Monte Carlo method for
computing three-dimensional cascade radiation are presented and applied
in the context of binaries. The cascade is decomposed into discrete
generations of particles where electron-positron pairs are assumed to
be confined at their site of creation. Both methods give similar
results. The Monte Carlo approach remains best suited to calculation of
a multi-generation cascade.
Results. Three-dimensional cascade radiation contributes
significantly at every orbital phase in the TeV lightcurve, and
dominates close to superior conjunction. The amplitude of the gamma-ray
modulation is correctly reproduced for an inclination of the orbit of
40
.
Primary pairs should be injected close to the compact object location,
otherwise the shape of the modulation is not explained. In addition,
synchrotron emission from the cascade in X-rays constrains the ambient
magnetic field to below 10 G.
Conclusions. The radiation from a three-dimensional pair cascade
can account for the TeV flux detected by HESS at superior conjunction
in LS 5039, but the very-high energy spectrum at low fluxes
remains difficult to explain in this model.
Key words: radiation mechanisms: non-thermal - stars: individual: LS 5039 - X-rays: binaries - gamma rays: general
1 Introduction
LS 5039 was first identified as a high-mass X-ray binary by Motch et al. (1997). This binary system is composed of a massive O type star and an unknown compact object, possibly a young rotation-powered pulsar (Martocchia et al. 2005; Dubus 2006b). LS 5039 was detected as a very high-energy (>100 GeV, VHE) gamma-ray source by HESS (Aharonian et al. 2005) modulated on the orbital period (Aharonian et al. 2006). In a leptonic scenario, the gamma-ray emission is produced by inverse Compton scattering of stellar photons on energetic electron-positron pairs injected and accelerated by a rotation-powered pulsar (pulsar wind nebula scenario) or in a relativistic jet powered by accretion on the compact object (microquasar scenario). Most of the VHE modulation is probably caused by absorption of gamma rays in the intense UV stellar radiation field set by the massive star (Dubus 2006a; Bednarek 2006; Böttcher & Dermer 2005).
Pairs produced in the system can upscatter a substantial fraction of the
absorbed energy into a new generation of gamma rays and initiate a
cascade of pairs. The radiation from the full cascade can
significantly increase the transparency of the source, particularly at
orbital phases where the gamma-ray opacity is high
(
). A one-zone leptonic model applied to LS 5039 explains the lightcurve and the spectral features at VHE (Dubus et al. 2008),
and yet, this model cannot account for the flux detected by HESS at
superior conjunction where gamma rays should be fully absorbed. Pair
cascading was mentioned as a possible solution for this disagreement (Aharonian et al. 2006).
The development of a cascade of pairs depends on the ambient magnetic field intensity. If the magnetic deviations on pair trajectories can be neglected, the cascade grows along the line joining the source to the observer. The cascade is one-dimensional. In this case, the cascade contribution is too strong close to superior conjunction in LS 5039. A one-dimensional cascade can be ruled out by HESS observations (Cerutti et al. 2009b, see the model in Sierpowska-Bartosik & Torres 2008, for an alternative solution). If the magnetic field is strong enough to deviate and confine electrons in the system, pairs radiate in all directions and a three-dimensional cascade is initiated (Bednarek 1997). The development of a three-dimensional cascade in LS 5039 is possible and was investigated by Bednarek (2007,2006) with a Monte Carlo method and by Bosch-Ramon et al. (2008a) with a semi-analytical method.
Bosch-Ramon et al. (2008a)
derived the non thermal emission produced by the first generation of
pairs in gamma-ray binaries. In their model, the density of secondary
pairs is averaged over angles describing the mean behavior of the
radiating pairs in the system. Here, we aim to investigate the detailed
angular dependence in the gamma-ray emission from pairs in the cascade.
In the microquasar scenario, Bednarek (2007) finds consistent flux at superior conjunction in LS 5039 if the emission originates farther along the jet (>
)
whose direction is assumed to be perpendicular to the orbital
plane, including the synchrotron losses. The role of three-dimensional
cascade is revisited here in the pulsar wind nebula scenario (Dubus 2006b; Maraschi & Treves 1981),
where the VHE emitter is close to the compact object location. The aim
of this article is to corroborate HESS observations of LS 5039 and
to constrain the ambient magnetic field strength in the system, using a
semi-analytical and a Monte Carlo computation methods. The Monte Carlo
code used in the following was previously applied to the system
Cygnus X-1 for similar reasons (Zdziarski et al. 2009).
The paper is divided as follows. Section 2 gives the main conditions to initiate a three-dimensional cascade in LS 5039. The semi-analytical approach and the Monte Carlo code for cascading calculations are presented in Sect. 3 and the main features of a three-dimensional pair cascade in binaries are discussed in Sect. 4. Section 5 is dedicated to the full calculation of a three-dimensional cascade in LS 5039. The effect of the ambient magnetic field intensity is also investigated in this part. The conclusions of the article are exposed in the last section.
In the following, we use the term ``electrons'' to refer indifferently to electrons and positrons.
2 The magnetic field for 3D cascade
The development of the cascade is dictated by the intensity of the ambient magnetic field in the binary environment. The main conditions for the existence of a three-dimensional cascades have been investigated by Bednarek (1997) and are reviewed here and applied to LS 5039.
The magnetic field B must be high enough to locally
isotropize pairs once created. This condition is fulfilled if the
Larmor radius of the pair
is shorter than the inverse Compton energy losses length given by
,
where
is the Lorentz factor of the electron and
is the Compton energy losses. This provides a lower-limit for the magnetic field. In the Thomson regime, this is given by
writing
If the Larmor radius is compared with the Compton mean free path given by
In addition to this condition, pairs are assumed to be isotropized
at their creation site for simplicity. Pairs will be randomized if
the ambient magnetic field is disorganized. Isotropization of pairs in
the cascade will also occur due to pitch angle scattering if the
magnetic turbulence timescale is smaller than the energy loss timescale
(e.g. if it is on the order of the Larmor timescale). For lower
magnetic field intensity (``anisotropic'' domain in Fig. 1),
the cascade remains three-dimensional but then pairs cannot be
considered as locally isotropized. In this case, the trajectories of
the particles should be properly computed as in e.g. Sierpowska & Bednarek (2005). For
G, the cascade is one-dimensional (Cerutti et al. 2009b).
If the magnetic field is too strong, pairs locally isotropize but cool
down via synchrotron radiation rather than by inverse Compton
scattering. Most of the energy is then emitted in X-rays and soft gamma
rays, i.e. below the threshold energy for pair production. The cascade
is quenched as soon as the first generation of pairs is produced. This
condition gives an upper-limit for the magnetic field. Synchrotron
losses are smaller than inverse Compton losses
for
in the Thomson regime and for
in the deep Klein-Nishina regime (Blumenthal & Gould 1970). It can be noticed that the most relevant upper-limit for the magnetic field strength is given by the Thomson formula in Eq. (3), since high-energy particles (
Figure 1 shows the
complete domain where a three-dimensional ``isotropic'' cascade can be
initiated in LS 5039, combining the lower and upper-limit for B.
This domain encompasses plausible values for the ambient magnetic field
in the system. It is worthwhile to note that for very high-energy
electrons
TeV, where
B0.1=B/0.1 G, the Larmor radius becomes greater than the binary separation in LS 5039 (Fig. 1).
In this case, the local magnetic confinement approximation of particles
is not appropriate anymore. This is unlikely to happen in LS 5039
if the VHE emission has a leptonic origin since HESS observations shows
an energy cut-off for photons at
10 TeV.
|
Figure 1:
This map shows the domain (gray surface, ``ISOTROPIC'') where
a three-dimensional isotropic cascade can be initiated as a
function of the ambient magnetic field B and the energy of the
electron |
| Open with DEXTER | |
|
Figure 2:
In this figure is depicted the geometric quantities useful for three-dimensional pair cascading calculation in |
| Open with DEXTER | |
3 Computing methods
Contrary to the one-dimensional case, three-dimensional pair cascading cannot be explicitly computed. Nevertheless, it is possible to decompose the cascade into successive generations of particles. Two different approaches are presented below, one based on semi-analytical calculations and the other on a Monte Carlo code. In both models, the primary source of gamma rays is point-like and coincident with the compact object position as it is depicted in Fig. 2. The origin and the angular dependence of the primary gamma-ray flux are not specified at this stage. These methods are general and could be applied to any other astrophysical context involving 3D pair cascading.
3.1 Semi-analytical
A beam of primary gamma rays propagating in the direction defined by the spherical
angles
and
(see Fig. 2), produces at a distance r
to the primary source the first generation of pairs. In the point-like
and mono-energetic star approximation, the density of electrons and
positrons injected per unit of time, energy and volume (
)
is
where d
|
Figure 3:
Spatial distribution of the escaping (i.e. including the effect of gamma-ray absorption) VHE photon density (ph
|
| Open with DEXTER | |
The steady-state particle distribution in
is (Ginzburg & Syrovatskii 1964)
with
The total inverse Compton radiation produced by the first generation of pairs observed by a distant observer is given by
where
In the point-like star approximation, this viewing angle
with d
This semi-analytical method can be extended to an arbitrary number of generations. By replacing the primary density of gamma rays in Eq. (5) by the new density of created photons Eqs. (7)-(9), the second generation of pairs and gamma-rays in the cascade can be computed, and so on for the next generations.
3.2 Monte Carlo
We also used a Monte Carlo code to simulate the development of the full electromagnetic pair cascade in the radiation field of the star. In this calculation the path and successive interactions of photons and leptons are tracked until they escape the system (in practice until they reach a distance about 10 times the binary separation). This code was previously used by Zdziarski et al. (2009) to model the TeV emission of Cygnus X-1. It is similar in scope and capabilities to the code of Bednarek (1997). The present code was developped completely independently, and most of the random number generation techniques used for computing photon path and simulating the interactions are very different from those used by Bednarek. Perhaps the most important difference is that the Compton interactions are simulated without any approximation, even in the deep Klein-Nishina regime. Also, in order to reduce the computing time required to achieve high accuracy at high energies, we use a weighting technique which avoids following every particle of the cascade down to low energies. The results of both codes were compared and found compatible (Zdziarski et al. 2009).
4 Three-dimensional pair cascade radiation
For illustrative purpose only, the primary source of gamma rays is assumed isotropic in this section. This assumption allows a better appreciation of the intrinsic anisotropic effects of the pair cascade emission in binaries. Primary gamma rays are injected with a -2 (photon index) power-law spectrum at the location of the compact object. For simplicity, the massive star is assumed here point-like and mono-energetic. More realistic assumptions (injection of isotropic electrons, black body and finite size companion star) are considered for the calculation of the 3D cascade emission in LS 5039 in the next section (Sect. 5).
4.1 Spatial distribution of gamma rays in the cascade
Figure 3 shows the
spatial distribution of the first generation of escaping TeV gamma rays
seen by a distant observer (i.e. including the effect of gamma-ray
absorption) produced by the cascade in LS 5039 at both
conjunctions (for an inclination of the orbit
).
These maps are computed with the semi-analytical approach. The massive
star is assumed point-like for the computation of radiative processes
but eclipses are considered. No pairs can be created behind the star
with respect to the primary source of gamma rays. Also, gamma rays
produced behind the star with respect to the observer are excluded from
the overall cascade radiation (see black regions in Fig. 3). Synchrotron radiation is neglected in this part: pairs radiate only via inverse Compton scattering.
The spatial distribution of gamma rays is extended and is not
rotationally symmetric about the line joining the two stars (contrary
to pairs) since the observed inverse Compton emission depends on the
peculiar orientation of the observer with respect to the binary system.
No gamma rays are emitted along the line joining the star to the
observer direction (see Fig. 3, right panel) because pairs undergo rear-end collisions with the stellar photons (
).
This effect is smoothed if the finite size of the massive star is
considered. The escaping gamma-ray density at inferior conjunction is
more important than at superior conjunction as TeV photons suffer less
from absorption.
|
Figure 4: The full cascade
radiation (all generations) computed with the Monte Carlo code (black
solid lines) and the primary injected gamma-ray source (isotropic,
dotted line) are shown for
|
| Open with DEXTER | |
|
Figure 5:
Cascade radiation emitted by the first generation computed
with the semi-analytical method in LS 5039 at periastron for
|
| Open with DEXTER | |
4.2 One and multi-generation cascade
The semi-analytical method is ideal to study the first generation of particles in the cascade as it provides quick and accurate solutions. In principle, this method can be extended to an arbitrary number of generation but the computing time increases tremendously. The Monte Carlo approach is well suited to treat complex three dimensional radiative transfer problems. With this method, the full cascade radiation (including all generations) can be computed with a reasonable amount of time but a large number of events is required to have enough statistics for accurate predictions.
Figure 4 gives the
escaping gamma-ray spectra at both conjunctions in LS 5039. The
Monte Carlo output is compared with the semi-analytical results in the
same configuration as in Fig. 3 for
and
.
Both approaches give similar results for the first generation of gamma
rays. There are slight differences mainly due to statistical and
binning effect in the Monte Carlo result, particularly at
where the absorption is high. The contribution from additional
generations of pairs to the cascade radiation is of major importance as
it dominates the overall escaping gamma-ray flux where the primary
photons are fully absorbed. The Monte Carlo approach is needed to
compute the cascade radiation where absorption is strong i.e. at
superior conjunction. In practice, the one-generation approximation
catches the main features of the full three-dimensional pair cascade
calculation elsewhere along the orbit.
4.3 Comparison with one-dimensional cascade
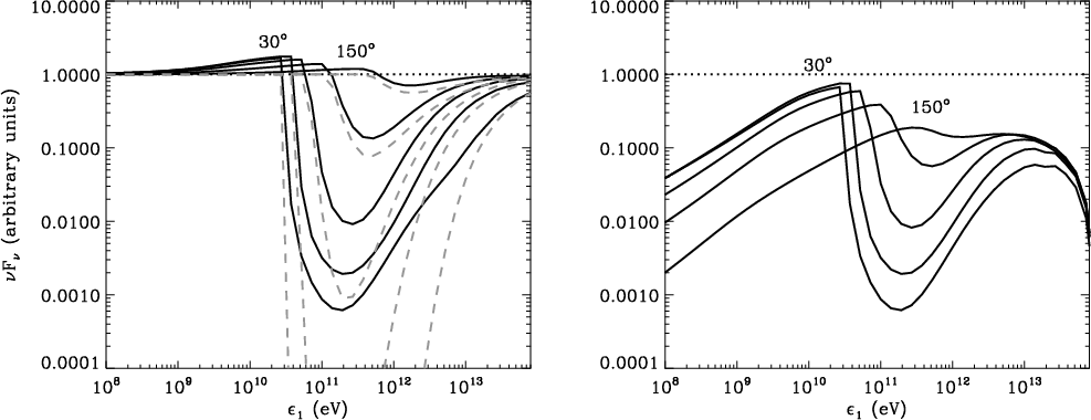
Three-dimensional cascade radiation presents identical spectral features to the one-dimensional limit (Cerutti et al. 2009b) (Fig. 5). Below the threshold energy for pair production, i.e.
with
the
stellar photon energy, pairs cool down via inverse Compton scattering
in the Thomson regime and accumulate at lower energy in a
-1.5
photon index power-law tail. Above, emission and absorption compete,
giving rise to a dip in the spectrum. At higher energies (
TeV),
the gamma-ray production in the cascade declines due to Klein-Nishina
effect in inverse Compton scattering and pair production becomes less
efficient.
Three-dimensional cascade radiation has a strong angular dependence (Fig. 5) that differs significantly from the one-dimensional case. Figure 6
presents the modulation of the TeV radiation from a 1D and 3D
cascade along the orbit in LS 5039 (the one-dimensional cascade
radiation is calculated with the method described in Cerutti et al. 2009b). Bednarek (2006)
found a similar modulation for the 3D cascade radiation. Both
contributions are anti-correlated. Contrary to the one-dimensional
cascade, the three-dimensional cascade radiation preserves the
modulation of the primary absorbed source of gamma rays since pairs do
not propagate. Peaks and dips remain at conjunctions. In both cases,
the cascade radiation flux prevails at superior conjunction where the
primary flux is highly absorbed. Note that a small dip in the 1D
cascade radiation appears at superior conjunction because absorption
slightly dominates over emission. The 3D cascade contributes less
(by a factor
3) than the 1D cascade to the total TeV flux at this orbital phase.
|
Figure 6:
Modulation of the TeV flux produced by a three-dimensional (Monte Carlo
calculation, black solid line) and one-dimensional (semi-analytical
calculation see Cerutti et al. 2009b,
gray solid line) cascade in LS 5039 as a function of the orbital
phase (two full orbits). Synchrotron radiation is ignored for the
computation of 3D cascade radiation. The primary absorbed flux
(identical injection as in Fig. 5,
i.e. isotropic) is shown (dashed line) for comparison. Conjunctions are
indicated by vertical dotted lines. Orbital parameters are taken from Casares et al. (2005) for an inclination
|
| Open with DEXTER | |
4.4 The effect of the ambient magnetic field
Synchrotron radiation has a significant impact on the cascade spectrum. Figure 7 shows the effects of an uniform ambient magnetic field on the cascade radiation for B=0,
3 and 10 G. The VHE emission is quenched as synchrotron
radiation becomes the dominant cooling channel for electrons produced
in the cascade (
).
The large contribution of the cascade in the TeV band is preserved if
the magnetic field does not exceed a few Gauss (see Fig. 1).
Synchrotron radiation contributes to the total flux in the X-ray to
soft gamma-ray energy band. These photons do not participate to the
cascade as their energy does not exceed 100 MeV, which is
insufficient for pair production with the stellar photons.
Figure 7 compares also
the contribution from the first generation of gamma rays with the full
cascade radiation. For low magnetic field (
G), all generations should be considered in the calculation. For higher magnetic field (B>5 G),
the first generation of gamma rays dominates the total cascade
radiation. Only a few pairs can radiate beyond the threshold energy for
pair production and the cascade is quenched.
A non-uniform magnetic field was also investigated for a toroidal or dipolar magnetic structure generated by the massive star (i.e. with a R-1 or R-3 dependence). These configurations do not give different results compared with the uniform case. Most of the cascade radiation is produced close to the primary source (see Sect. 4.1) and depends mostly on the magnetic field strength at this location.
5 Three-dimensional cascades in LS 5039
The full cascade radiation calculation is applied to LS 5039 and
discussed below. The black body spectrum and the spatial extension of
the massive star are taken into account in this part. The primary
source of gamma rays is computed here following the model described in Dubus et al. (2008)
where the pulsar is assumed to inject energetic electron-positron pairs
with an isotropic power-law energy distribution at the shock front,
expected to lie at the vicinity of the compact star. Taking
,
for the massive star wind (McSwain et al. 2004), and a pulsar spin-down luminosity
,
both wind momenta balance at a distance
from the pulsar. Pairs generated by the pulsar emit via inverse Compton
scattering on stellar photons the primary gamma-ray photons. Contrary
to the previous section, the primary gamma-ray source is highly
anisotropic. The orbital parameters of the system are taken from Casares et al. (2005). New optical observations of LS 5039 have been carried out recently by Aragona et al. (2009) where slight corrections to the orbital parameters have been reported, but these do not change the results below.
|
Figure 7:
Effect of the ambient magnetic field on the cascade radiation. The
cascade is computed with the same parameters (Monte Carlo approach) as
used in Fig. 4 for
|
| Open with DEXTER | |
5.1 TeV orbital modulation
|
Figure 8:
Theoretical integrated flux above 1 TeV (black solid line) in
LS 5039 as a function of the orbital phase (two orbits) with an
inclination of the orbit
|
| Open with DEXTER | |
The shape of the TeV light curve can be explained with a one-zone leptonic model (Dubus et al. 2008) that combines emission and absorption. However, it overestimates the amplitude of the modulation (by a factor
50 for
). The TeV flux observed by HESS varies by about a factor 6 with a minimum at the orbital phases
-0.2 and a maximum at
-0.9 (Aharonian et al. 2006).
The radiation from a three-dimensional cascade of pairs decreases the
amplitude of the TeV modulation yet conserves the light curve pattern
(see Sect. 4.3). The flux remains minimum at superior conjunction (
)
and maximum just after inferior conjunction (
).
The amplitude of the modulation in LS 5039 can be reproduced for an inclination of the orbit
(Fig. 8, top panel), assuming a constant energy density of cooled particles along the orbit as in Dubus et al. (2008). This assumption imples that the injection of fresh particles depends (roughly) as d-2. The ambient magnetic field is
1 G (if uniform) otherwise emission up to 10 TeV cannot be sustained. For higher inclination (
), the flux at superior conjunction is too small to explain observations. For lower inclination (
),
the amplitude of the light curve becomes too small. If the injection
rate of the uncooled primary pairs is instead kept constant along the
orbit (Fig. 8, bottom panel), a lower inclination (
)
is required to reproduce an amplitude consistent with observations. Then, the light curve presents a broad peak centered at
.
The profile of the modulation is not explained to satisfaction in this case.
|
Figure 9:
Theoretical gamma-ray spectum in LS 5039 for ``SUPC'' (i.e. averaged over
|
| Open with DEXTER | |
The cascade radiation contributes significantly at every orbital phase
and dominates the overall gamma-ray flux close to superior conjunction
(
),
where the primary flux is highly absorbed. The residual flux observed
at superior conjunction is explained by the cascade. The averaged
spectra at high and very-high energy are not significantly changed
compared with the case without cascade (Fig. 9, see also Fig. 6 in Dubus et al. 2008).
It should be noted that the ratio between the GeV and the TeV flux
decreases if a three-dimensional pair cascading is considered. The
cascade contributes more at TeV than at GeV energies with respect to
the primary source. If spectra are fitted with HESS observations, then
the flux expected at GeV energies is too low to explain observations.
In addition, this model cannot account for the energy cutoff observed
by Fermi at a few GeV (Abdo et al. 2009).
Electrons radiating at GeV and TeV energies may have two different
origins. An extra component, possibly from the pulsar itself
(magnetospheric or free pulsar wind emission, see Cerutti et al. 2009a) might dominate at GeV energies.
|
Figure 10:
Same as in Fig. 8 ( top panel) for
|
| Open with DEXTER | |
5.2 Constraint on the location of the VHE emitter
The primary gamma-ray emitter position might not coincide with the
compact object location. One possibility is to imagine that particles
radiate VHE farther in the orbital plane, for instance backward in a
shocked pulsar wind collimated by the massive star wind. In this case,
the primary source is less absorbed along the orbit and more power into
particles is required to compensate for the decrease of the soft photon
density from the companion star. A consistent amplitude could be
obtained if the primary gamma rays originate from large distances (
10 d),
but then the TeV light curve shape is incorrectly reproduced as the
tendency for the main peak is to shift towards superior conjunction.
Another possibility is to assume that the VHE emitter stands above the
orbital plane (e.g. in a jet). This situation does not differ
significantly from the previous alternative. For altitudes
,
the
-opacity
decreases significantly and the escaping VHE gamma-ray flux increases
at superior conjunction but the TeV modulation is not reproduced as
well (Fig. 10). Regarding
observations, it appears difficult with this model to push the
gamma-ray emitter at the outer edge of the system. The primary source
should still lie in the vicinity of the compact object (i.e. at
distances smaller than the orbital separation).
5.3 Constraint on the ambient magnetic field
|
Figure 11: Orbit averaged spectrum of the first generation of gamma rays in LS 5039 with a uniform magnetic field B=0.1 , 1, 5, 10 and 100 G. Comparison with observations from X-rays to TeV energies: Suzaku (Takahashi et al. 2009), Fermi (Abdo et al. 2009) and HESS (Aharonian et al. 2006) bowties. |
| Open with DEXTER | |
The synchrotron radiation produced by secondary pairs can be a
dominant contributor to the overall X-ray luminosity as discussed by Bosch-Ramon et al. (2008b,a). Figure 11 presents the orbit-averaged spectrum of the first generation of gamma rays in LS 5039 with an inclination
,
using the semi-analytical approach for various magnetic field
intensity. The comparison of the expected flux in the 2-10 keV
band with the recent Suzaku observations (Takahashi et al. 2009)
constrains the (uniform) magnetic field strength below 10 G. This
result is in agreement with the development of a three-dimensional
cascade (see Sect. 2). The one-generation approximation for the
cascade is good in this case since for high magnetic field (B>5 G), the contribution from extra-generations can be ignored (see Sect. 4.4). Note that the synchrotron peak energy emitted by secondary pairs barely changes with increasing magnetic field (
MeV, see Fig. 11).
This is due to the effect of synchrotron losses on the cooled energy
distribution of the radiating pairs in the cascade. Synchrotron cooling
dominates over Compton cooling (
)
at high energies and depletes the most energetic pairs in the steady-state distribution (see Eq. (6)).
In consequence, the mean energy of cooled pairs in the cascade
diminishes with increasing magnetic field (for a fixed stellar
radiation field). The non-trivial combination of both effects results
in a (almost) constant synchrotron peak (the critical energy in
synchrotron radiation is proportional to
).
6 Conclusion
Three-dimensional pair cascade can be initiated in gamma-ray binaries
provided that pairs are confined and isotropized by the ambient
magnetic field in the system. In LS 5039, a three-dimensional pair
cascade contributes significantly in the formation of the VHE radiation
at every orbital phase. In particular, the cascade radiation prevails
over the primary source of gamma rays close to superior conjunction
(i.e. where the
-opacity
is high) and gives a lower flux than the 1D cascade at this phase. The
3D cascade radiation is modulated differently compared with the 1D
cascade and preserves the modulation of the primary absorbed flux
because the pairs stay localized. In addition, the 3D cascade radiation
decreases the amplitude of the observed TeV modulation. The amplitude
of the HESS light curve is correctly reproduced for an inclination of
.
The ambient magnetic field in LS 5039 cannot exceed 10 G (if uniform) or synchrotron radiation from pairs in the cascade would overestimate X-ray observations. This is a reasonable constraint as most of massive stars are probably non-magnetic, even though strong magnetic fields (>100 G) have been measured for a few O stars at their surface (see Donati & Landstreet 2009 for a recent review and references therein). The VHE emitter should also remain very close to the compact object location, possibly at the collision site between both star winds, otherwise the TeV light curve shape is not reproduced although this does not rule out complex combinations.
The model described in this paper is not fully satisfying. The spectral shape of VHE gamma rays is still not reproduced close to superior conjunction. In addition, the light curve amplitude tends to be overestimated except for low inclinations but then the shape is not perfect. It remains difficult to explain both the shape and the amplitude of the modulation in LS 5039. A possible solution would be to consider a more complex injection of fresh pairs along the orbit or additional effects such as adiabatic losses or advection. A Doppler-boosted emission in the primary source can also change the spectrum seen by the observer, especially around superior conjunction (Dubus et al. 2010). The primary source of gamma rays might be extended, VHE photons would come from e.g. the shock front between the pulsar wind and the stellar wind or along a relativistic jet. The development of an anisotropic 3D cascade is not excluded as well. Nevertheless, the calculations show that a three dimensional pair cascading provides a plausible framework to understand the TeV modulation in LS 5039.
AcknowledgementsThis work was supported by the European Community via contract ERC-StG-200911.
References
- Abdo, A. A., Ackermann, M., Ajello, M., et al. 2009, ApJ, 706, L56 [NASA ADS] [CrossRef] [Google Scholar]
- Aharonian, F., Akhperjanian, A. G., Aye, K.-M., et al. 2005, Science, 309, 746 [NASA ADS] [CrossRef] [PubMed] [Google Scholar]
- Aharonian, F., Akhperjanian, A. G., Bazer-Bachi, A. R., et al. 2006, A&A, 460, 743 [NASA ADS] [CrossRef] [EDP Sciences] [Google Scholar]
- Aragona, C., McSwain, M. V., Grundstrom, E. D., et al. 2009, ApJ, 698, 514 [NASA ADS] [CrossRef] [Google Scholar]
- Bednarek, W. 1997, A&A, 322, 523 [NASA ADS] [Google Scholar]
- Bednarek, W. 2006, MNRAS, 368, 579 [NASA ADS] [CrossRef] [Google Scholar]
- Bednarek, W. 2007, A&A, 464, 259 [NASA ADS] [CrossRef] [EDP Sciences] [Google Scholar]
- Blumenthal, G. R., & Gould, R. J. 1970, Rev. Mod. Phys., 42, 237 [NASA ADS] [CrossRef] [Google Scholar]
- Bonometto, S., & Rees, M. J. 1971, MNRAS, 152, 21 [NASA ADS] [Google Scholar]
- Bosch-Ramon, V., Khangulyan, D., & Aharonian, F. A. 2008a, A&A, 482, 397 [Google Scholar]
- Bosch-Ramon, V., Khangulyan, D., & Aharonian, F. A. 2008b, A&A, 489, L21 [NASA ADS] [CrossRef] [EDP Sciences] [Google Scholar]
- Böttcher, M., & Dermer, C. D. 2005, ApJ, 634, L81 [NASA ADS] [CrossRef] [Google Scholar]
- Böttcher, M., & Schlickeiser, R. 1997, A&A, 325, 866 [NASA ADS] [Google Scholar]
- Casares, J., Ribó, M., Ribas, I., et al. 2005, MNRAS, 364, 899 [NASA ADS] [CrossRef] [Google Scholar]
- Cerutti, B., Dubus, G., & Henri, G. 2009a, eConf. Proc. [ArXiv:0912.3722] [Google Scholar]
- Cerutti, B., Dubus, G., & Henri, G. 2009b, A&A, 507, 1217 [NASA ADS] [CrossRef] [EDP Sciences] [Google Scholar]
- Donati, J., & Landstreet, J. D. 2009, ARA&A, 47, 333 [NASA ADS] [CrossRef] [MathSciNet] [Google Scholar]
- Dubus, G. 2006a, A&A, 451, 9 [NASA ADS] [CrossRef] [EDP Sciences] [Google Scholar]
- Dubus, G. 2006b, A&A, 456, 801 [NASA ADS] [CrossRef] [EDP Sciences] [Google Scholar]
- Dubus, G., Cerutti, B., & Henri, G. 2008, A&A, 477, 691 [NASA ADS] [CrossRef] [EDP Sciences] [Google Scholar]
- Dubus, G., Cerutti, B., & Henri, G. 2010, A&A, 516, A18 [NASA ADS] [CrossRef] [EDP Sciences] [Google Scholar]
- Ginzburg, V. L., & Syrovatskii, S. I. 1964, The Origin of Cosmic Rays, ed. V. L. Ginzburg, & S. I. Syrovatskii [Google Scholar]
- Maraschi, L., & Treves, A. 1981, MNRAS, 194, 1P [NASA ADS] [CrossRef] [Google Scholar]
- Martocchia, A., Motch, C., & Negueruela, I. 2005, A&A, 430, 245 [NASA ADS] [CrossRef] [EDP Sciences] [Google Scholar]
- Mastichiadis, A. 1991, MNRAS, 253, 235 [NASA ADS] [Google Scholar]
- McSwain, M. V., Gies, D. R., Huang, W., et al. 2004, ApJ, 600, 927 [NASA ADS] [CrossRef] [Google Scholar]
- Motch, C., Haberl, F., Dennerl, K., Pakull, M., & Janot-Pacheco, E. 1997, A&A, 323, 853 [NASA ADS] [Google Scholar]
- Sierpowska, A., & Bednarek, W. 2005, MNRAS, 356, 711 [NASA ADS] [CrossRef] [Google Scholar]
- Sierpowska-Bartosik, A., & Torres, D. F. 2008, Astrop. Phys., 30, 239 [Google Scholar]
- Takahashi, T., Kishishita, T., Uchiyama, Y., et al. 2009, ApJ, 697, 592 [NASA ADS] [CrossRef] [Google Scholar]
- Zdziarski, A. A., Malzac, J., & Bednarek, W. 2009, MNRAS, 394, L41 [NASA ADS] [Google Scholar]
All Figures
|
Figure 1:
This map shows the domain (gray surface, ``ISOTROPIC'') where
a three-dimensional isotropic cascade can be initiated as a
function of the ambient magnetic field B and the energy of the
electron |
| Open with DEXTER | |
| In the text | |
|
Figure 2:
In this figure is depicted the geometric quantities useful for three-dimensional pair cascading calculation in |
| Open with DEXTER | |
| In the text | |
|
Figure 3:
Spatial distribution of the escaping (i.e. including the effect of gamma-ray absorption) VHE photon density (ph
|
| Open with DEXTER | |
| In the text | |
|
Figure 4: The full cascade
radiation (all generations) computed with the Monte Carlo code (black
solid lines) and the primary injected gamma-ray source (isotropic,
dotted line) are shown for
|
| Open with DEXTER | |
| In the text | |
|
Figure 5:
Cascade radiation emitted by the first generation computed
with the semi-analytical method in LS 5039 at periastron for
|
| Open with DEXTER | |
| In the text | |
|
Figure 6:
Modulation of the TeV flux produced by a three-dimensional (Monte Carlo
calculation, black solid line) and one-dimensional (semi-analytical
calculation see Cerutti et al. 2009b,
gray solid line) cascade in LS 5039 as a function of the orbital
phase (two full orbits). Synchrotron radiation is ignored for the
computation of 3D cascade radiation. The primary absorbed flux
(identical injection as in Fig. 5,
i.e. isotropic) is shown (dashed line) for comparison. Conjunctions are
indicated by vertical dotted lines. Orbital parameters are taken from Casares et al. (2005) for an inclination
|
| Open with DEXTER | |
| In the text | |
|
Figure 7:
Effect of the ambient magnetic field on the cascade radiation. The
cascade is computed with the same parameters (Monte Carlo approach) as
used in Fig. 4 for
|
| Open with DEXTER | |
| In the text | |
|
Figure 8:
Theoretical integrated flux above 1 TeV (black solid line) in
LS 5039 as a function of the orbital phase (two orbits) with an
inclination of the orbit
|
| Open with DEXTER | |
| In the text | |
|
Figure 9:
Theoretical gamma-ray spectum in LS 5039 for ``SUPC'' (i.e. averaged over
|
| Open with DEXTER | |
| In the text | |
|
Figure 10:
Same as in Fig. 8 ( top panel) for
|
| Open with DEXTER | |
| In the text | |
|
Figure 11: Orbit averaged spectrum of the first generation of gamma rays in LS 5039 with a uniform magnetic field B=0.1 , 1, 5, 10 and 100 G. Comparison with observations from X-rays to TeV energies: Suzaku (Takahashi et al. 2009), Fermi (Abdo et al. 2009) and HESS (Aharonian et al. 2006) bowties. |
| Open with DEXTER | |
| In the text | |
Copyright ESO 2010
Current usage metrics show cumulative count of Article Views (full-text article views including HTML views, PDF and ePub downloads, according to the available data) and Abstracts Views on Vision4Press platform.
Data correspond to usage on the plateform after 2015. The current usage metrics is available 48-96 hours after online publication and is updated daily on week days.
Initial download of the metrics may take a while.
![\begin{figure}
\par\includegraphics[width=8.8cm,clip]{14459fg1.eps}\vspace*{4mm}
\end{figure}](/articles/aa/full_html/2010/11/aa14459-10/Timg52.png)






![\begin{figure}
\par\includegraphics*[width=8.5cm,clip]{14459fg8a.eps}\par\includegraphics*[width=8.5cm,clip]{14459fg8b.eps}
\end{figure}](/articles/aa/full_html/2010/11/aa14459-10/Timg107.png)

![\begin{figure}
\par\includegraphics*[width=8.5cm,clip]{14459fg10.eps}
\end{figure}](/articles/aa/full_html/2010/11/aa14459-10/Timg119.png)
