| Issue |
A&A
Volume 519, September 2010
|
|
|---|---|---|
| Article Number | A116 | |
| Number of page(s) | 10 | |
| Section | Stellar structure and evolution | |
| DOI | https://doi.org/10.1051/0004-6361/201014713 | |
| Published online | 21 September 2010 | |
Effects of rotational mixing on the asteroseismic properties of solar-type stars
P. Eggenberger1 -
G. Meynet1 -
A. Maeder1 -
A. Miglio2,
-
J. Montalban2 -
F. Carrier3 -
S. Mathis4,5 -
C. Charbonnel1,6 -
S. Talon7
1 - Observatoire de Genève, Université de Genève, 51 Ch. des Maillettes, 1290 Versoix, Switzerland
2 -
Institut d'Astrophysique et de Géophysique de l'Université de Liège, 17 allée du 6 Août, 4000 Liège, Belgium
3 -
Instituut voor Sterrenkunde, Katholieke Universiteit Leuven, Celestijnenlaan 200B, 3001 Leuven, Belgium
4 -
Laboratoire AIM, CEA/DSM-CNRS-Université Paris Diderot, DAPNIA/SAp, 91191 Gif-sur-Yvette Cedex, France
5 -
LUTH, Observatoire de Paris, CNRS, Université Paris Diderot, 5 place Jules Janssen, 92195 Meudon, France
6 -
Laboratoire d'Astrophysique de Toulouse-Tarbes, CNRS UMR 5572, Université Toulouse III, 31400 Toulouse, France
7 -
Département de Physique, Université de Montréal, Montréal PQ H3C 3J7, Canada
Received 1 April 2010 / Accepted 15 June 2010
Abstract
Context. Observations of solar-like oscillations obtained
either from the ground or from space stimulated the study of the
effects of various physical processes on the modelling of solar-type
stars.
Aims. The influence of rotational mixing on the evolution and asteroseismic properties of solar-type stars is studied.
Methods. Global and asteroseismic properties of models of
solar-type stars computed with and without a comprehensive treatment of
shellular rotation are compared. The effects of internal magnetic
fields are also discussed in the framework of the Tayler-Spruit dynamo.
Results. Rotational mixing changes the global properties of a
solar-type star with a significant increase of the effective
temperature resulting in a shift of the evolutionary track to the blue
part of the HR diagram. These differences observed in the HR diagram
are related to changes of the chemical composition, because rotational
mixing counteracts the effects of atomic diffusion leading to larger
helium surface abundances for rotating models than for non-rotating
ones. Higher values of the large frequency separation are then found
for rotating models than for non-rotating ones at the same evolutionary
stage, because the increase of the effective temperature leads to a
smaller radius and hence to an increase of the stellar mean density. In
addition to changing the global properties of solar-type stars,
rotational mixing also has a considerable impact on the structure and
chemical composition of the central stellar layers by bringing fresh
hydrogen fuel to the central stellar core, thereby enhancing the
main-sequence lifetime. The increase of the central hydrogen abundance
together with the change of the chemical profiles in the central layers
result in a significant increase of the values of the small frequency
separations and of the ratio of the small to large separations for
models including shellular rotation. This increase is clearly seen for
models with the same age sharing the same initial parameters except for
the inclusion of rotation as well as for models with the same global
stellar parameters and in particular the same location in the HR
diagram. By computing rotating models of solar-type stars including the
effects of a dynamo that possibly occurs in the radiative zone, we find
that the efficiency of rotational mixing is strongly reduced when the
effects of magnetic fields are taken into account, in contrast to what
happens in massive stars.
Key words: stars: solar-type - stars: interiors - stars: rotation - stars: oscillations - stars: magnetic field
1 Introduction
The solar five-minute oscillations have provided a wealth of information on the internal structure of the Sun. These results stimulated various attempts to obtain similar observations for other solar-type stars. In past years, the spectrographs developed for extra-solar planet search have finally achieved the accuracy needed to detect solar-like oscillations on other stars (see e.g. Bedding & Kjeldsen 2008). In addition to these ground-based observations, photometric measurements of solar-like oscillations are also obtained from space, thanks to the CoRoT and the Kepler space missions. All these observations of oscillations for solar-type stars stimulate the theoretical study of the effects of various physical processes on the asteroseismic properties of these stars. Rotation is one of the key processes that influences all outputs of stellar models with a specially strong impact on the physics and evolution of massive stars (see e.g. Zahn 1992; Maeder 2009). In this work, we study the effects of rotational mixing on the evolution and asteroseismic properties of solar-type stars by comparing stellar models including shellular rotation to non-rotating models. The influence of internal magnetic fields is also discussed in the context of a dynamo that possibly occurs in the radiative zone by computing stellar models including the Tayler-Spruit dynamo (Spruit 2002).
The modelling of rotation is presented in Sect. 2. The effects of rotational mixing and internal magnetic fields on the evolution and asteroseismic properties of solar-type stars are discussed in Sect. 3, while the conclusion is given in Sect. 4.
2 Modelling of rotation
In this section, we briefly summarise the basic physical ingredients of numerical models of rotating stars.
2.1 Shellular rotation
Meridional circulation is generated in the radiative zone of a rotating star as a result of the thermal
imbalance induced by the breaking of the spherical symmetry (Vogt 1926; Eddington 1925), structural adjustments and
surface extraction of angular momentum (Decressin et al. 2009).
Transporting matter and angular momentum, this circulation creates differential rotation
in the radiative zones, which makes the stellar interior highly turbulent.
This turbulence is assumed to be much stronger in the horizontal
than in the vertical direction (Zahn 1992; Tassoul & Tassoul 1983).
The horizontal turbulent coupling favours an essentially constant angular velocity
on the isobars.
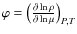
With this hypothesis of shellular rotation, every quantity depends solely
on pressure and can be split into a mean value and its latitudinal perturbation
where
2.2 Transport of angular momentum
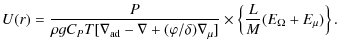
In the framework of shellular rotation, the transport of angular momentum obeys an advection-diffusion
equation (Zahn 1992; Maeder & Zahn 1998):
where r is the characteristic radius of the isobar,
| (3) |
Only the radial term U(r) appears in Eq. (2); its expression is given by Maeder & Zahn (1998):
P is the pressure, CP the specific heat,
Meridional circulation and shear mixing are considered as the main mixing mechanisms in radiative zones.
The first term on the right-hand side of Eq. (2)
describes the advection of angular momentum by meridional circulation,
while the second term accounts for the transport of angular momentum by
shear instability with
.
The expression of this diffusion coefficient is given by
with
with
U is the vertical component of the meridional circulation velocity, V the horizontal component, and
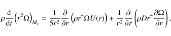
The full solution of Eq. (2) taking into account U(r) and D gives the non-stationary solution of the problem. The expression of U(r) (Eq. (4)) involves derivatives up to the third order; Eq. (2) is thus of the fourth order and implies
four boundary conditions. The first boundary conditions impose momentum conservation at convective boundaries:
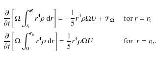
The other conditions are determined by requiring the absence of differential rotation at convective boundaries (Talon et al. 1997)
|
(8) |
|
The constant K is related to the magnitude of the magnetic field strength; it is usually calibrated on the Sun and taken to be a constant in all stars (e.g. Bouvier et al. 1997).
2.3 Transport of chemical elements
The vertical transport of chemicals
through the combined action of vertical advection and strong
horizontal diffusion
can be described as a pure diffusive process (Chaboyer & Zahn 1992).
The advective transport is then replaced by a diffusive term,
with an effective
diffusion coefficient
where
3 Results
The stellar evolution code used for these computations is the Geneva code, which includes a comprehensive treatment of shellular rotation as briefly described in the preceding section (see Eggenberger et al. 2008, for more details). In addition to shellular rotation, atomic diffusion can be included in the computation using the routines developed for the Toulouse-Geneva version of the code (e.g. Richard et al. 1996). The diffusion coefficients are computed according to the prescription by Paquette et al. (1986). Diffusion due to concentration and thermal gradients is included, while the radiative acceleration is neglected since it is negligible for the structure of low-mass stellar models with extended convective envelopes (Turcotte et al. 1998).
3.1 Main-sequence evolution of rotating models
To investigate the effects of rotational mixing on the properties of solar-type stars, the main-sequence evolution of 1
stars
is computed with a solar chemical composition as given by Grevesse & Noels (1993)
and
a solar calibrated value for the mixing-length parameter. The
main-sequence evolution of non-rotating models with and without atomic
diffusion of helium and heavy elements is first computed.
Two additional rotating models with an initial velocity of
50 km s-1
on the zero age main sequence (ZAMS) are computed with and without the
inclusion of atomic diffusion of helium and heavy elements.
For these models, the braking constant K is
calibrated so that a 1
star with an initial velocity of 50 km s-1 on the ZAMS reproduces the solar surface rotational velocity after 4.57 Gyr.
All four models share exactly the same initial parameters except for the inclusion of shellular rotation and atomic diffusion.
|
Figure 1:
Evolutionary tracks in the HR diagram for 1 |
| Open with DEXTER | |
Figure 1 shows the main-sequence evolution in the HR diagram for these models. Comparing rotating and non-rotating models, we see that the inclusion of rotation changes the evolutionary tracks in the HR diagram. Rotating models indeed exhibit higher effective temperatures and slightly higher luminosities than non-rotating ones; this results in a shift of the evolutionary tracks to the blue part of the HR diagram when rotation is taken into account. Figure 1 also shows that models including atomic diffusion exhibit lower effective temperatures and luminosities than the corresponding models without atomic diffusion. Contrary to rotation, the inclusion of atomic diffusion is thus found to shift evolutionary tracks towards the red part of the HR diagram.
| Figure 2:
Surface abundance of helium |
|
| Open with DEXTER | |
In Fig. 2, the variation of the helium surface abundance
during the main sequence is plotted
for the four models shown in Fig. 1.
For the model computed without atomic diffusion and rotation (dashed
line), the helium surface abundance remains constant because no mixing
mechanisms are taken into account in the radiative zone. The inclusion
of atomic diffusion leads to a decrease of the helium mass fraction at
the stellar surface.
Comparing models including atomic diffusion and computed with and
without rotation (dotted and continuous lines), a lower decrease of the
helium surface abundance is found for the rotating model than for the
non-rotating one. We thus see that rotational mixing counteracts the
effects of atomic diffusion in the external layers of the star. As a
result, rotating models exhibit larger surface abundances of helium
leading to a decrease of the opacity in the external layers and hence
to the shift towards the blue part of the HR diagram observed in
Fig. 1. These differences in the helium content of the external layers of rotating and non-rotating stars
increase during the main-sequence evolution resulting in significant differences in the HR diagram.
|
Figure 3:
Same as Fig. 2 but for the central hydrogen abundance |
| Open with DEXTER | |
In addition to changing the evolutionary tracks in the HR diagram
through the change of the surface chemical composition, rotation has
also a significant impact on the properties of the central layers. In
particular, rotational mixing brings fresh hydrogen fuel to the central
stellar core, thereby enhancing the main-sequence lifetime. Figure 3 shows the evolution of the central mass fraction of hydrogen (
)
as a function of the age for the same four models of 1
.
Owing to rotational mixing, we see that at a given age the central
hydrogen mass fraction is larger for rotating models than for models
without rotation. On the contrary, the inclusion of atomic diffusion
leads to a more rapid decrease of the central hydrogen abundance. By
comparing the model including atomic diffusion and rotation (dotted
line, model R-D hereafter) to the model computed without atomic
diffusion nor rotation (dashed line, model NR-ND hereafter), we see
that rotational mixing completely counteracts the effects of atomic
diffusion in the central layers and even leads to values of
which are slightly higher than for the model
computed without atomic diffusion and rotation. We thus find that the efficiency of rotational mixing relative to
atomic diffusion is higher in the central layers of a solar-type star than in its external layers.
Figure 2
indeed shows that rotation only reduces the efficiency of atomic
diffusion in the external layers, but does not completely counteract
these effects, since the R-D model (dotted line) exhibits
surface abundances of helium that are higher than the values of the
non-rotating model including atomic diffusion (continuous line, model
NR-D hereafter) but also lower than the helium surface abundances of
the NR-ND model (dashed line). As a result of rotational mixing, the
main-sequence lifetime is longer for stellar models including rotation.
For instance, models of 1
computed with an initial velocity of 50 km s-1 exhibit ages at the end of the main sequence about 10% higher than the corresponding non-rotating models.
3.2 Asteroseismic properties of rotating models
3.2.1 Models with the same initial parameters
In the preceding section, the effects of rotation on the structure and evolution of solar-type have been discussed. We are now interested in investigating how these rotational effects change the asteroseismic properties of solar-type stars. For this purpose, the NR-ND model is first compared to the 1The first asteroseismic quantity we consider is the mean large separation
.
This frequency spacing is defined as the differences between oscillation modes with the same angular degree
and consecutive radial order n:
.
The mean value of the large separation is calculated from modes
with a radial order n ranging from 15 to 25 for
and
modes, and for an order n ranging from 14 to 24 for
modes
(this interval typically corresponds to oscillation modes detected in
main-sequence solar-type stars). The variation of the mean large
separation during the main-sequence evolution is shown in Fig. 4 for the rotating and the non-rotating 1
model.
| Figure 4:
Mean large separation
|
|
| Open with DEXTER | |
Figure 4 first shows that the mean large separation decreases during the evolution of the star on the main sequence. This can be readily understood by recalling that the large separation is asymptotically proportional to the square root of the star's mean density. The stellar radius increases during the evolution of the star on the main sequence (see Fig. 5) resulting thereby in a decrease of the star's mean density and hence of the mean large separation.
| Figure 5:
Variation of the stellar radius during the main-sequence evolution of 1 |
|
| Open with DEXTER | |
Concerning the effects of rotation, Fig. 4 shows that rotational mixing increases
the value of the mean large separation at a given age. The decrease of the mean large separation during the main sequence
is then found to be larger for models without rotation than for rotating models. Frequency differences of
1.3, 2.3, 3.1 and 3.7
Hz between the values of the mean large separation for a model with an initial
velocity of 50 km s-1 and a non-rotating model
are reached after 2, 4, 6 and 8 Gyr, respectively. Since the typical accuracy on the observed mean large separation
obtained so far by ground-based and space observations of solar-like oscillations is better than about 0.5
Hz
(e.g. Bouchy & Carrier 2002; Chaplin et al. 2010; Bedding et al. 2006; Mosser et al. 2009; Carrier & Eggenberger 2006; Carrier et al. 2005), we see that the inclusion of rotation leads to significant changes of the mean large separation.
These effects of shellular rotation on the mean large separation are related to the decrease of
the stellar radius when the rotational velocity increases. Figure 5
indeed shows that the stellar radius at a given age is larger for the
non-rotating model than for the
model including shellular rotation. At a given luminosity, a rotating
model is characterized by a smaller radius, a higher mean density and
hence a higher value of the mean large separation than a non-rotating
model.
The effects of rotational mixing on the helium surface abundances can also be directly revealed by asteroseismic
observations. The depression in the adiabatic index
in the second helium ionization zone induces an oscillatory signal in
the frequencies of seismic oscillations that can be used to determine
the helium abundance in the convective envelope of solar-type stars
(e.g. Monteiro & Thompson 1998; Gough 2002; Basu et al. 2004; Houdek & Gough 2007; Miglio et al. 2003). Such a determination requires
high accuracy asteroseismic observations. According to Basu et al. (2004), estimated errors on the helium abundance Y range from
0.03 for 0.8
stars to 0.01 for 1.2
stars with a value of about 0.02 for 1
stars assuming frequency errors typical of current asteroseismic space missions of one part in 104. Comparing the surface helium abundance of 1
models including atomic diffusion and computed with and without rotation (continuous and dotted lines in Fig. 2),
we see that the difference in the helium abundance of the rotating and
non-rotating model increases during the main-sequence evolution and
exceeds 0.02 after about 5.5 Gyr. We thus conclude that such a
direct asteroseismic observation of the effects of rotational mixing on
the surface helium abundance is of course very difficult to obtain but
could be feasible for solar-type stars near the end of the main
sequence.
After the effects of shellular rotation on the global stellar
parameters and external stellar layers, we now discuss the changes of
the structure of the central layers due to rotational mixing by
computing the mean small separations for the rotating and non-rotating
models studied before. The small separation
is the difference between the frequencies of modes with an angular degree
of
same parity and with consecutive radial order. The mean small separation
is calculated from
modes
with a radial order n ranging from 15 to 25 and
modes with an order n between 14 and 24. The variation of the mean small separation
during the main sequence is shown in Fig. 6 for both models.
| Figure 6:
Same as Fig. 4 but for the mean small separation
|
|
| Open with DEXTER | |
The small separation is very sensitive to the structure of the core and
is mainly proportional to the hydrogen content of the central layers.
Figure 6 shows the decrease of
with the age resulting from the decrease of the hydrogen abundance in the central core due to nuclear burning.
The inclusion of shellular rotation leads to higher values
of the mean small separations at a given age. Frequency differences of
0.3, 0.5, 0.8 and 1.1
Hz between the values of
for a model with an initial velocity of 50 km s-1
and a non-rotating model are observed. This increase of the small
separation for rotating models is mainly due to the increase of the
central hydrogen abundance by rotational mixing discussed in the
preceding section (see Fig. 3).
While the small separation is principally sensitive to the conditions
in the central regions of the star, it can also retain some sensitivity
to the near-surface structure. Roxburgh & Vorontsov (2003) introduce therefore the use of another asteroseismic diagnostic: the ratio of small
to large separations
.
This ratio constitutes a more reliable diagnostic for the central parts of a star than the small separation,
since it is essentially independent of the structure of the outer layers, and is determined solely by the interior structure (Roxburgh & Vorontsov 2003; Floranes et al. 2005). The variation of the mean ratio
with the age is
shown in Fig. 7 for both models.
| Figure 7: Same as Fig. 4 but for the mean value of the ratio r02. |
|
| Open with DEXTER | |
Figure 7 confirms that the increase of the small separation by rotational mixing observed in Fig. 6
is mainly due to the rotation-induced changes of the conditions in the
central regions and not to the change of the global parameters nor of
the near-surface structure of the star. Near the end of the main
sequence, an increase of 15% of the ratio
is indeed found when rotational
effects are taken into account. By comparing this value to the corresponding increase of 18% found for the small separation
,
we see that the sensitivity of
against changes in the global parameters and near-surface structure
induced by rotation (resulting in an increase of the mean large
separation of 3% near the end of the main sequence) is quite limited.
As mentioned in Sect. 3.1,
the efficiency of rotational mixing relative to atomic diffusion is
found to be greater in the central layers of a solar-type star than in
its external layers. In order to find out how this difference can be
seen in the asteroseismic properties of a star, we now compare four
different stellar models with the same age but computed with/without
atomic diffusion and rotation. The
mean values of the large separation and of the ratio r02 are given in Table 1 for models
with an age of 6 Gyr. Table 1
shows that models computed without atomic diffusion exhibit the higher
values of the mean large separation, while rotating models exhibit the
higher values of the
mean ratio r02. We thus see that rotational effects have a more substantial impact on the ratio
than
on the mean large separation
.
Rotational mixing is found to only partially inhibit the effects of
atomic diffusion on the large separation, while the impact of rotation
on the ratio r02 is much more important than the effects of atomic diffusion.
This can be seen by comparing the rotating model R-D to the non-rotating models NR-D and NR-ND. Model R-D indeed
exhibits a higher value of
than model NR-D, but a slightly lower value than model NR-ND,
which is computed without atomic diffusion. The situation is quite
different for the mean ratio
,
because this value is significantly higher for model R-D than for both non-rotating models.
This can also clearly be seen in Fig. 8 which shows the variation of r02with frequency for the four models listed in Table 1. Recalling that the large separation is principally sensitive to the mean stellar density and the ratio r02
to the central properties of the star, we conclude that the greater
efficiency of rotational mixing relative to atomic diffusion in the
central stellar layers is clearly visible in the asteroseismic
properties of the models. The increase of r02 for rotating models shown in Fig. 8 is of course due to the higher value of
at a given age when rotational effects are taken into account (see Fig. 3), but also to the
changes of the chemical profiles in the central stellar layers due to rotational mixing (see Fig. 9).
| Figure 8:
Variation of the ratio r02 with frequency for the 1 |
|
| Open with DEXTER | |
Table 1:
Asteroseismic properties for 1
models with an age of 6 Gyr.
|
Figure 9:
Hydrogen abundance profiles for the 1 |
| Open with DEXTER | |
|
Figure 10:
Ratio r01, r02 and r13 for 1 |
| Open with DEXTER | |
The effects of rotational mixing on the central stellar layers have
been studied by discussing the changes of the small separation between
modes with
and
and of the corresponding ratio of the small to large separation r02.
The increase of the small separation and of the ratio of the small to
large separation due to rotational mixing is also clearly visible for
the separation between
and
modes (
)
and between
and
modes (
). This can be seen in Fig. 10, which shows the ratio
and
for rotating and non-rotating models with the same age of 6 Gyr. Figure 10
also shows that the changes of these asteroseismic ratios increase with
the initial velocity of the model. This illustrates that the effects of
rotational mixing on the stellar structure and hence on the
asteroseismic properties of the models depend on the initial velocity,
since a higher initial velocity leads to steeper gradients of the
internal angular velocity, resulting in a more effective mixing by
shear instability.
3.2.2 Models with the same global stellar parameters
In Sect. 3.2.1, the
effects of rotational mixing on asteroseismic properties of solar-type
stars have been studied by comparing rotating and non-rotating models
computed with the same initial parameters. We are now interested in
comparing rotating and non-rotating models sharing the same luminosity,
effective temperature and surface metallicity, since such a procedure
is closer to observational comparisons. Two additional non-rotating
stars of 1
are then computed in order to obtain models with the same location in
the HR diagram and surface metallicity as the rotating 1
model studied before.
For this purpose, the initial chemical composition and mixing-length
parameter of non-rotating models are calibrated to reproduce
simultaneously the surface metallicity and location in the HR diagram
of the rotating models with an age of 3 and 6 Gyr. The
evolutionary tracks of these models
are shown in Fig. 11.
|
Figure 11:
Evolutionary tracks for 1 |
| Open with DEXTER | |
The asteroseismic properties of rotating and non-rotating models are
first compared by computing the mean large separation. The rotating
model exhibits a mean large separation of 150.1 and 134.4
Hz after
3 and 6 Gyr, while the corresponding non-rotating models have a mean large separation of 149.9 and 134.5
Hz,
respectively. These values are almost identical for rotating and
non-rotating models since the mean large separation is mainly sensitive
to the mean density of the star.
For this comparison, the models have the same mass and radius; they
exhibit therefore a similar value of the mean large separation.
|
Figure 12:
Variation of the ratio r02 with frequency for 1 |
| Open with DEXTER | |
Concerning the small separation, and more precisely the ratio r02 defined above, the situation is quite different. Figure 12 indeed shows an increase of the mean value of r02 for rotating models compared to non-rotating models with the same location in the HR diagram and surface metallicity. As observed in Sect. 3.2.1 in models with the same initial parameters, this difference increases during the evolution of the star. The rotating model exhibits indeed a mean value of the ratio r02 of 0.086 and 0.069 after 3 and 6 Gyr, while the corresponding non-rotating models have a mean ratio of 0.083 and 0.061, respectively. This increase of the mean ratio r02 of about 4% and 13% after 3 and 6 Gyr directly reflects variation of the composition and structure of the central stellar layers caused by rotational mixing, which become more visible as the age increases. We thus conclude that the increase of the small separation and the ratio r02 discussed above in the case of stellar models computed with the same initial parameters (but sharing different location in the HR diagram) is still clearly observed for models with the same global stellar parameters. Figure 12 shows that this increase is more pronounced at low frequency, leading to a slightly steeper slope in the r02 versus frequency diagram. Thus, in addition to increasing the mean value of the ratio r02, rotational mixing also changes the frequency dependence of r02. This reflects the effects of rotation on the chemical gradients and in particular the change of the abundance of hydrogen in the central parts of the star (see Fig. 9).
By comparing the asteroseismic properties of models that share the same global stellar parameters, we conclude that rotational mixing is able to increase the mean small separation and ratio r02 without changing the mean large separation. These results are particularly interesting in the context of the asteroseismic calibration of stars for which solar-like oscillations are observed, since all observational constraints (classical as well as asteroseismic) have to be correctly reproduced simultaneously.
3.3 Models with rotation and magnetic fields
It is long known that meridional circulation and shear turbulence are actually not sufficient to enforce the near uniformity of the solar rotation profile measured by helioseismology. Indeed, models of solar-type stars including shellular rotation predict an increase in the angular velocity when the distance to the centre decreases (Chaboyer et al. 1995; Matias & Zahn 1998; Talon 1997; Pinsonneault et al. 1989). This is contradicted by helioseismic measurements indicating an approximately constant angular velocity between about 20% and 70% of the total solar radius (Brown et al. 1989; Couvidat et al. 2003; Kosovichev et al. 1997). Another process is thus expected to intervene in the transport of angular momentum in low-mass stars. Additional clues about the existence and nature of this process come from observations of light element abundances in low-mass stars which are efficiently spun down via magnetic torquing and lie on the cool side of the lithium dip (Talon & Charbonnel 2003,1998).
Two main candidates have been proposed to efficiently extract angular momentum from the central core of a solar-type star, namely magnetic fields (see e.g. Mestel & Weiss 1987; Eggenberger et al. 2005; Charbonneau & MacGregor 1993) and travelling internal gravity waves (Charbonnel & Talon 2005; Kumar & Quataert 1997; Talon & Charbonnel 2005; Mathis et al. 2008; Schatzman 1993; Mathis 2009; Zahn et al. 1997). Since these processes leave slightly different signatures on the angular rotation profiles, it is important to test both of them with asteroseismic techniques. As of now however only the prescription for angular momentum transport by magnetic fields for the Tayler-Spruit dynamo (Spruit 2002) is included in the Geneva stellar evolution code, while the modelling of the transport of angular momentum by internal gravity including recent improvements is currently being implemented in this tool. We thus present here only models computed with both shellular rotation and magnetic fields as prescribed by the Tayler-Spruit dynamo, which are found to correctly reproduce the helioseismic measurements of the internal rotation of the Sun (Eggenberger et al. 2005). This will allow us to investigate the general asteroseismic properties of solar-type stars with quasi-solid body rotation of their radiative interior, even if the theoretical prescription for the dynamo (see e.g. Denissenkov & Pinsonneault 2007) as well as its real existence (Gellert et al. 2008; Zahn et al. 2007) is still a matter of debate. The effects of internal gravity waves on the asteroseismic properties of stellar models as well as the influence of other prescriptions for internal magnetic fields (e.g. Mathis & Zahn 2005) will be studied in the near future.
|
Figure 13:
Evolutionary tracks in the HR diagram for 1 |
| Open with DEXTER | |
The main-sequence evolution of a 1
model including both shellular rotation and the Tayler-Spruit dynamo is
computed for an initial velocity on the ZAMS of 50 km s-1. Figure 13
shows the evolutionary tracks in the HR diagram for this model and for
the corresponding models computed with rotation only and without
rotation. All three models include atomic diffusion of helium and heavy
elements.
The effects of rotation are strongly reduced when the Tayler-Spruit
dynamo is included in the computation. Only a slight shift of the track
to
the blue part of the HR diagram is indeed observed for the model with
both rotation and magnetic fields,
while the rotating model exhibits a significant increase of the
effective temperature. These differences observed in the HR diagram can
be related to changes in the surface chemical composition of the
models. The variation of the helium surface abundance
during the main-sequence is plotted in Fig. 14 for the three models shown in Fig. 13.
As discussed in Sect. 3.1, rotational mixing counteracts the effects of atomic diffusion
in the external layers of the star, leading to larger helium surface abundances for rotating models
compared to non-rotating ones. This effect is clearly seen in Fig. 14 by comparing the model
with rotation only to the non-rotating model. The model with rotation and magnetic fields exhibits
slightly higher values of the helium surface abundance than the non-rotating model, but lower values than
the model computed with rotation only. We thus see that the efficiency of rotational mixing in the external
layers of solar-type stars is strongly reduced when the effects of the Tayler-Spruit dynamo are taken into account.
As a result, the asteroseismic properties of a model including both rotation and magnetic fields are very similar to the
ones of a non-rotating model. In particular, only a very small increase of about 0.4
Hz of the mean large separation is found near the end of the main sequence (at 8 Gyr)
for a rotating model computed with the Tayler-Spruit dynamo.
| Figure 14:
Surface helium abundance |
|
| Open with DEXTER | |
The strong reduction of the efficiency of rotational mixing is not limited to the external stellar layers, but is also observed in the deep interior of solar-type stars. This is clearly seen in Fig. 15, which shows the ratio r02 of the small to large separation as a function of frequency for the three models at the same age of 8 Gyr. When both rotation and magnetic fields are included in the computation, a negligible increase of this ratio is observed compared to the non-rotating model, while the model including only shellular rotation is characterized by significantly larger values of this ratio.
| Figure 15:
Variation of the ratio r02 with frequency for 1 |
|
| Open with DEXTER | |
That rotational mixing is less efficient in magnetic models of solar-type stars than in models with rotation only is due to the strong decrease of the efficiency of the transport of chemicals by shear mixing when the Tayler-Spruit dynamo is included in the computation. This decrease is a direct consequence of the near solid body rotation of models including both rotation and magnetic fields. Compared to the case with rotation only, we also note a slight increase of the transport of chemicals by meridional circulation for models with magnetic fields. This greater efficiency of meridional circulation for magnetic models is also due to the near solid body rotation, because uniform rotation creates a strong breakdown of radiative equilibrium. For solar-type stars, this increase is much smaller though than the strong decrease of the shear turbulent mixing that leads to a net decrease of the global efficiency of rotational mixing for a rotating model computed with the Tayler-Spruit dynamo.
The models presented here allow us to illustrate the general asteroseismic properties of solar-type stars with flat rotation profiles in their radiative interiors. We wish to recall though that abundance patterns of light elements, and in particular of lithium, constitute complementary sensitive indicators of the transport of angular momentum and associated mixing of chemicals in low-mass stars. In particular, stellar models that correctly account for the internal rotation of the Sun have to simultaneously reproduce the so-called lithium dip as well as the temporal evolution of the surface abundance in solar-type stars (Charbonnel & Talon 2005; Talon & Charbonnel 2005,1998). Although it is beyond the scope of the present paper to discuss these aspects in detail, we plan to study quantitatively the impact of the Tayler-Spruit dynamo on the light element abundances in the near future. In particular, it is not clear whether the strong reduction of the efficiency of rotational mixing for magnetic models of low-mass stars compared to magnetic models of higher mass stars can correctly account for the lithium dip.
On the other hand it is important to note that stellar models including both shellular rotation and the transport of angular momentum by internal gravity waves can simultaneously reproduce the lithium behaviour and efficiently extract angular-momentum form the central parts of solar-type stars (see Charbonnel & Talon 2005; Talon et al. 2002; Talon & Charbonnel 2005, for more details). These models therefore provide a promising explanation to obtain a coherent picture of transport processes in the radiative zone of low-mass stars. Because the inclusion of internal gravity waves also results in a global decrease of the efficiency of rotational mixing, we can expect at first sight a similar impact on the asteroseismic properties as for the magnetic models discussed here. It will be particularly interesting however to investigate this point in detail. Work is in progress in this direction.
4 Conclusions
The effects of rotational mixing on the properties of solar-type stars have first been studied by comparing stellar models computed with exactly the same initial parameters except for the inclusion of shellular rotation and atomic diffusion. The inclusion of rotation is found to change the global properties of a solar-type star with a significant increase of the effective temperature resulting in a shift of the evolutionary track to the blue part of the HR diagram. These differences in the global properties of rotating and non-rotating models are related to changes of the chemical composition, because rotational mixing is found to counteract the effects of atomic diffusion. Consequently, rotating models exhibit larger surface abundances of helium, which lead to a decrease of the opacity in the external layers and hence to the observed shift to the blue part of the HR diagram. This of course results in a change of the asteroseismic properties of solar-type stars at the same evolutionary stage on the main sequence. Higher values of the large separation are then found for rotating models than for non-rotating ones, because the increase of the effective temperature for rotating models leads to smaller radii and hence to an increase of the mean density and large separation. In addition to changing the global properties of solar-type stars, rotation is also found to have a significant impact on the structure and chemical composition of the central layers. In particular, rotational mixing brings fresh hydrogen fuel to the central stellar core, thereby enhancing the main-sequence lifetime. At a given age, the central hydrogen mass fraction is larger for rotating models than for models without rotation. The increase of the central hydrogen abundance together with the change of the chemical profiles in the central layers due to rotational mixing result in a significant increase of the values of the small separations and of the ratio of small to large separations.
After comparing models computed with the same initial parameters, the effects of rotational mixing on the asteroseismic properties of models sharing the same global stellar parameters, and in particular the same location in the HR diagram, are investigated. The values of the large separation are then almost identical for these rotating and non-rotating models since they have the same mass and radius and hence the same mean density. However, the effects of rotational mixing on the central layers can be clearly revealed by asteroseismic observations, since a significant increase of the small separations and of the ratio of small to large separations is found for rotating models compared to non-rotating models with the same location in the HR diagram. We thus note that rotational mixing is able to increase the mean small separations and ratio of small to large separations without changing the value of the mean large separation. This result is particularly interesting in the context of the asteroseismic calibration of a solar-type star, for which all observational constraints (classical as well as asteroseismic) have to be correctly reproduced simultaneously.
The effects of internal magnetic fields in the framework of a dynamo that possibly occurs in the radiative zone are also studied by computing rotating models of solar-type stars including the Tayler-Spruit dynamo. We find that the efficiency of rotational mixing is strongly reduced when the effects of the Tayler-Spruit dynamo are taken into account. The asteroseismic properties of a solar-type star model including both rotation and magnetic fields are then very similar to the ones of a non-rotating model. Indeed, only a very small increase of the values of the large and small separation is found for a rotating model computed with the Tayler-Spruit dynamo compared to a non-rotating model. This is because the strong decrease of the efficiency of shear mixing is not compensated by the limited increase of the transport of chemicals by meridional circulation when internal magnetic fields are taken into account. It is interesting to recall here that the situation is quite different for magnetic models of massive stars. For a massive star computed with the Tayler-Spruit dynamo, the strong breakdown of radiative equilibrium imposed by the approximately flat rotation profile leads indeed to an increase of the efficiency of meridional circulation which is larger than the decrease of the shear turbulent mixing (Maeder & Meynet 2005). The magnetic models presented here allow us to investigate the general asteroseismic properties of low-mass stars with radiative interiors rotating as quasi-solid bodies. It is important to recall however that alternative processes such as those induced by internal gravity waves can also ensure a very efficient angular momentum transport. The asteroseismic characteristics of the corresponding models will have to be investigated in the near future.
We finally conclude that asteroseismic observations are able to reveal the changes in the internal structure and global properties of solar-type stars induced by rotational mixing. In particular, the effects of rotational mixing on the chemical composition of the central layers of a solar-type star significantly changes its asteroseismic properties. We thus see here an interesting complementarity between spectroscopic and asteroseismic observations, since surface abundances can be determined by spectroscopic measurements while asteroseismic data can give us valuable insights into the chemical composition of the central core. This is exactly what is needed to progress in our understanding of the transport processes at work in stellar interiors. In addition to the indirect effects of rotation on the asteroseismic properties of a star through the change of its internal structure by rotational mixing, direct effects of rotation related to the breaking of the spherical symmetry can also be revealed by asteroseismic measurements of rotational splittings. New asteroseismic data from ground-based observations and space missions like CoRoT and Kepler are thus particularly valuable in order to provide us with new insight into the internal rotation of solar-type stars and with constraints on how to model it best.
AcknowledgementsWe would like to thank J. Christensen-Dalsgaard for providing us with the Aarhus adiabatic pulsation code. Part of this work was supported by the Swiss National Science Foundation.
References
- Basu, S., Mazumdar, A., Antia, H. M., & Demarque, P. 2004, MNRAS, 350, 277 [NASA ADS] [CrossRef] [Google Scholar]
- Bedding, T. R., & Kjeldsen, H. 2008, in 14th Cambridge Workshop on Cool Stars, Stellar Systems, and the Sun, ed. G. van Belle, ASP Conf. Ser., 384, 21 [Google Scholar]
- Bedding, T. R., Butler, R. P., Carrier, F., et al. 2006, ApJ, 647, 558 [NASA ADS] [CrossRef] [Google Scholar]
- Bouchy, F., & Carrier, F. 2002, A&A, 390, 205 [NASA ADS] [CrossRef] [EDP Sciences] [Google Scholar]
- Bouvier, J., Forestini, M., & Allain, S. 1997, A&A, 326, 1023 [NASA ADS] [Google Scholar]
- Brown, T. M., Christensen-Dalsgaard, J., Dziembowski, W. A., et al. 1989, ApJ, 343, 526 [NASA ADS] [CrossRef] [Google Scholar]
- Carrier, F., & Eggenberger, P. 2006, A&A, 450, 695 [NASA ADS] [CrossRef] [EDP Sciences] [Google Scholar]
- Carrier, F., Eggenberger, P., D'Alessandro, A., & Weber, L. 2005, New Astron., 10, 315 [NASA ADS] [CrossRef] [Google Scholar]
- Chaboyer, B., & Zahn, J.-P. 1992, A&A, 253, 173 [NASA ADS] [Google Scholar]
- Chaboyer, B., Demarque, P., & Pinsonneault, M. H. 1995, ApJ, 441, 865 [NASA ADS] [CrossRef] [Google Scholar]
- Chaplin, W. J., Appourchaux, T., Elsworth, Y., et al. 2010, ApJ, 713, L169 [NASA ADS] [CrossRef] [Google Scholar]
- Charbonneau, P., & MacGregor, K. B. 1993, ApJ, 417, 762 [NASA ADS] [CrossRef] [Google Scholar]
- Charbonnel, C., & Talon, S. 2005, Science, 309, 2189 [NASA ADS] [CrossRef] [PubMed] [Google Scholar]
- Christensen-Dalsgaard, J. 2008, Ap&SS, 316, 113 [NASA ADS] [CrossRef] [Google Scholar]
- Couvidat, S., García, R. A., Turck-Chièze, S., et al. 2003, ApJ, 597, L77 [NASA ADS] [CrossRef] [Google Scholar]
- Decressin, T., Mathis, S., Palacios, A., et al. 2009, A&A, 495, 271 [NASA ADS] [CrossRef] [EDP Sciences] [Google Scholar]
- Denissenkov, P. A., & Pinsonneault, M. 2007, ApJ, 655, 1157 [NASA ADS] [CrossRef] [Google Scholar]
- Eddington, A. S. 1925, The Observatory, 48, 73 [NASA ADS] [Google Scholar]
- Eggenberger, P., Maeder, A., & Meynet, G. 2005, A&A, 440, L9 [NASA ADS] [CrossRef] [EDP Sciences] [Google Scholar]
- Eggenberger, P., Meynet, G., Maeder, A., et al. 2008, Ap&SS, 316, 43 [NASA ADS] [CrossRef] [Google Scholar]
- Floranes, H. O., Christensen-Dalsgaard, J., & Thompson, M. J. 2005, MNRAS, 356, 671 [NASA ADS] [CrossRef] [Google Scholar]
- Gellert, M., Rüdiger, G., & Elstner, D. 2008, A&A, 479, L33 [NASA ADS] [CrossRef] [EDP Sciences] [Google Scholar]
- Gough, D. O. 2002, in Stellar Structure and Habitable Planet Finding, ed. B. Battrick, F. Favata, I. W. Roxburgh, & D. Galadi, ESA SP, 485, 65 [Google Scholar]
- Grevesse, N., & Noels, A. 1993, in Origin and evolution of the elements: Proceedings of a symposium in honour of H. Reeves, held in Paris, June 22-25, 1992, ed. N. Prantzos, E. Vangioni-Flam, & M. Casse (Cambridge, England: Cambridge University Press), 14 [Google Scholar]
- Houdek, G., & Gough, D. O. 2007, MNRAS, 375, 861 [NASA ADS] [CrossRef] [Google Scholar]
- Kawaler, S. D. 1988, ApJ, 333, 236 [NASA ADS] [CrossRef] [Google Scholar]
- Kosovichev, A. G., Schou, J., Scherrer, P. H., et al. 1997, Sol. Phys., 170, 43 [NASA ADS] [CrossRef] [Google Scholar]
- Kumar, P., & Quataert, E. J. 1997, ApJ, 475, L143 [NASA ADS] [CrossRef] [Google Scholar]
- Maeder, A. 2003, A&A, 399, 263 [NASA ADS] [CrossRef] [EDP Sciences] [Google Scholar]
- Maeder, A. 2009, Physics, Formation and Evolution of Rotating Stars (Berlin, Heidelberg: Springer) [Google Scholar]
- Maeder, A., & Meynet, G. 2001, A&A, 373, 555 [NASA ADS] [CrossRef] [EDP Sciences] [Google Scholar]
- Maeder, A., & Meynet, G. 2005, A&A, 440, 1041 [NASA ADS] [CrossRef] [EDP Sciences] [Google Scholar]
- Maeder, A., & Zahn, J.-P. 1998, A&A, 334, 1000 [NASA ADS] [Google Scholar]
- Mathis, S. 2009, A&A, 506, 811 [NASA ADS] [CrossRef] [EDP Sciences] [Google Scholar]
- Mathis, S., & Zahn, J.-P. 2005, A&A, 440, 653 [NASA ADS] [CrossRef] [EDP Sciences] [Google Scholar]
- Mathis, S., Talon, S., Pantillon, F., & Zahn, J. 2008, Sol. Phys., 251, 101 [NASA ADS] [CrossRef] [Google Scholar]
- Matias, J., & Zahn, J.-P. 1998, in Sounding solar and stellar interiors, ed. J. Provost, & F. X. Schmider, IAU Symp., 181, poster volume [Google Scholar]
- Mestel, L., & Weiss, N. O. 1987, MNRAS, 226, 123 [NASA ADS] [CrossRef] [Google Scholar]
- Miglio, A., Christensen-Dalsgaard, J., di Mauro, M. P., Monteiro, M. J. P. F. G., & Thompson, M. J. 2003, in Asteroseismology Across the HR Diagram, ed. M. J. Thompson, M. S. Cunha, & M. J. P. F. G. Monteiro, 537 [Google Scholar]
- Monteiro, M. J. P. F. G., & Thompson, M. J. 1998, in New Eyes to See Inside the Sun and Stars, ed. F.-L. Deubner, J. Christensen-Dalsgaard, & D. Kurtz, IAU Symp., 185, 317 [Google Scholar]
- Mosser, B., Michel, E., Appourchaux, T., et al. 2009, A&A, 506, 33 [NASA ADS] [CrossRef] [EDP Sciences] [Google Scholar]
- Paquette, C., Pelletier, C., Fontaine, G., & Michaud, G. 1986, ApJS, 61, 177 [NASA ADS] [CrossRef] [Google Scholar]
- Pinsonneault, M. H., Kawaler, S. D., Sofia, S., & Demarque, P. 1989, ApJ, 338, 424 [NASA ADS] [CrossRef] [Google Scholar]
- Richard, O., Vauclair, S., Charbonnel, C., & Dziembowski, W. A. 1996, A&A, 312, 1000 [NASA ADS] [Google Scholar]
- Roxburgh, I. W., & Vorontsov, S. V. 2003, A&A, 411, 215 [NASA ADS] [CrossRef] [EDP Sciences] [Google Scholar]
- Saar, S. H. 1996, in Stellar Surface Structure, IAU Symp., 176, 237 [Google Scholar]
- Schatzman, E. 1993, A&A, 279, 431 [NASA ADS] [Google Scholar]
- Spruit, H. C. 2002, A&A, 381, 923 [NASA ADS] [CrossRef] [EDP Sciences] [Google Scholar]
- Stauffer, J. R., & Hartmann, L. W. 1987, ApJ, 318, 337 [NASA ADS] [CrossRef] [Google Scholar]
- Talon, S. 1997, Ph.D. Thesis [Google Scholar]
- Talon, S., & Charbonnel, C. 1998, A&A, 335, 959 [NASA ADS] [Google Scholar]
- Talon, S., & Charbonnel, C. 2003, A&A, 405, 1025 [NASA ADS] [CrossRef] [EDP Sciences] [Google Scholar]
- Talon, S., & Charbonnel, C. 2005, A&A, 440, 981 [NASA ADS] [CrossRef] [EDP Sciences] [Google Scholar]
- Talon, S., Zahn, J.-P., Maeder, A., & Meynet, G. 1997, A&A, 322, 209 [NASA ADS] [Google Scholar]
- Talon, S., Kumar, P., & Zahn, J.-P. 2002, ApJ, 574, L175 [NASA ADS] [CrossRef] [Google Scholar]
- Tassoul, M., & Tassoul, J. 1983, ApJ, 271, 315 [NASA ADS] [CrossRef] [Google Scholar]
- Turcotte, S., Richer, J., Michaud, G., Iglesias, C. A., & Rogers, F. J. 1998, ApJ, 504, 539 [NASA ADS] [CrossRef] [Google Scholar]
- Vogt, H. 1926, Astron. Nachr., 227, 325 [Google Scholar]
- Zahn, J., Brun, A. S., & Mathis, S. 2007, A&A, 474, 145 [NASA ADS] [CrossRef] [EDP Sciences] [Google Scholar]
- Zahn, J.-P. 1992, A&A, 265, 115 [NASA ADS] [Google Scholar]
- Zahn, J.-P., Talon, S., & Matias, J. 1997, A&A, 322, 320 [NASA ADS] [Google Scholar]
Footnotes
All Tables
Table 1:
Asteroseismic properties for 1
models with an age of 6 Gyr.
All Figures
|
Figure 1:
Evolutionary tracks in the HR diagram for 1 |
| Open with DEXTER | |
| In the text | |
| |
Figure 2:
Surface abundance of helium |
| Open with DEXTER | |
| In the text | |
|
Figure 3:
Same as Fig. 2 but for the central hydrogen abundance |
| Open with DEXTER | |
| In the text | |
| |
Figure 4:
Mean large separation
|
| Open with DEXTER | |
| In the text | |
| |
Figure 5:
Variation of the stellar radius during the main-sequence evolution of 1 |
| Open with DEXTER | |
| In the text | |
| |
Figure 6:
Same as Fig. 4 but for the mean small separation
|
| Open with DEXTER | |
| In the text | |
| |
Figure 7: Same as Fig. 4 but for the mean value of the ratio r02. |
| Open with DEXTER | |
| In the text | |
| |
Figure 8:
Variation of the ratio r02 with frequency for the 1 |
| Open with DEXTER | |
| In the text | |
|
Figure 9:
Hydrogen abundance profiles for the 1 |
| Open with DEXTER | |
| In the text | |
|
Figure 10:
Ratio r01, r02 and r13 for 1 |
| Open with DEXTER | |
| In the text | |
|
Figure 11:
Evolutionary tracks for 1 |
| Open with DEXTER | |
| In the text | |
|
Figure 12:
Variation of the ratio r02 with frequency for 1 |
| Open with DEXTER | |
| In the text | |
|
Figure 13:
Evolutionary tracks in the HR diagram for 1 |
| Open with DEXTER | |
| In the text | |
| |
Figure 14:
Surface helium abundance |
| Open with DEXTER | |
| In the text | |
| |
Figure 15:
Variation of the ratio r02 with frequency for 1 |
| Open with DEXTER | |
| In the text | |
Copyright ESO 2010
Current usage metrics show cumulative count of Article Views (full-text article views including HTML views, PDF and ePub downloads, according to the available data) and Abstracts Views on Vision4Press platform.
Data correspond to usage on the plateform after 2015. The current usage metrics is available 48-96 hours after online publication and is updated daily on week days.
Initial download of the metrics may take a while.




![\begin{figure}
\par\includegraphics[width=8.5cm,clip]{14713f11.eps}
\end{figure}](/articles/aa/full_html/2010/11/aa14713-10/Timg68.png)
![\begin{figure}
\par\includegraphics[width=8.5cm,clip]{14713f12.eps}
\end{figure}](/articles/aa/full_html/2010/11/aa14713-10/Timg69.png)
![\begin{figure}
\par\includegraphics[width=8.5cm,clip]{14713f13.eps}
\end{figure}](/articles/aa/full_html/2010/11/aa14713-10/Timg70.png)