| Issue |
A&A
Volume 520, September-October 2010
Pre-launch status of the Planck mission
|
|
|---|---|---|
| Article Number | A8 | |
| Number of page(s) | 26 | |
| Section | Astronomical instrumentation | |
| DOI | https://doi.org/10.1051/0004-6361/200912855 | |
| Published online | 15 September 2010 | |
Pre-launch status of the Planck mission
Planck pre-launch status: Expected LFI polarisation capability
J. P. Leahy1,2 - M. Bersanelli3,4 - O. D'Arcangelo5 - K. Ganga6 - S. M. Leach7,8 - A. Moss9 - E. Keihänen10 - R. Keskitalo10,11 - H. Kurki-Suonio10,11 - T. Poutanen10,11,12 - M. Sandri13 - D. Scott9 - J. Tauber14 - L. Valenziano13 - F. Villa13 - A. Wilkinson1 - A. Zonca3,4 - C. Baccigalupi7,8,15 - J. Borrill16,17 - R. C. Butler13 - F. Cuttaia13 - R. J. Davis1 - M. Frailis2 - E. Francheschi13 - S. Galeotta2 - A. Gregorio18 - R. Leonardi19 - N. Mandolesi13 - M. Maris2 - P. Meinhold19 - L. Mendes20 - A. Mennella3,4 - G. Morgante13 - G. Prezeau21 - G. Rocha21,22 - L. Stringhetti13 - L. Terenzi13 - M. Tomasi3
1 - Jodrell Bank Centre for Astrophysics, School of Physics and
Astronomy, University of Manchester, M13 9PL, UK
2 - Osservatorio Astronomico di Trieste - INAF, via Tiepolo 11, 34143
Trieste, Italy
3 - Università degli Studi di Milano, Dipartimento di Fisica, Italy
4 - IASF - Sezione di Milano, INAF, Milano, Italy
5 - Istituto di Fisica del Plasma - CNR, via Cozzi 53, 20125 Milano,
Italy
6 - Laboratoire APC/CNRS, Bâtiment Condorcet, 10 rue Alice Domon et
Léonie Duquet, 75205 Paris Cedex 13, France
7 - SISSA/ISAS, Astrophysics Sector, via Beirut 2-4, Sezione di
Trieste, 34014 Trieste, Italy
8 - INFN, Sezione di Trieste, 34014 Trieste, Italy
9 - Department of Physics & Astronomy, University of British
Columbia, Vancouver, BC, V6T 1Z1 Canada
10 - Department of Physics, University of Helsinki, PO Box 64, 00014
Helsinki, Finland
11 - Helsinki Institute of Physics, PO Box 64, 00014 Helsinki, Finland
12 - Metsähovi Radio Observatory, TKK, Helsinki University of
Technology, Metsähovintie 114, 02540 Kylmälä, Finland
13 - Istituto di Astrofisica Spaziale e Fisica Cosmica -
Sezione di Bologna, INAF, Bologna, Italy
14 - European Space Agency (ESA), Astrophysics Division, Keplerlann 1,
2201 AZ, Noordwijk, The Netherlands
15 - INAF - Trieste, 34131 Trieste, Italy
16 - Computational Cosmology Center, Lawrence Berkeley National
Laboratory, Berkeley, CA 94720, USA
17 - Space Sciences Laboratory, University of California Berkeley,
Berkeley CA 94720, USA
18 - Dipartimento di Fisica, Università degli Studi di Trieste, Italy
19 - Department of Physics, University of California, Santa Barbara,
CA 931106, USA
20 - Planck Science Office, European Space Agency, European Space
Astronomy Centre, PO Box - Apdo. de correos 78, 28691 Villanueva da la
Caada, Madrid, Spain
21 - Jet Propulsion Laboratory, California Institute of Technology,
Pasadena, CA 91109, USA
22 - Department of Physics, California Institute of Technology,
Pasadena, CA 91125, USA
Received 8 July 2009 / Accepted 15 May 2010
Abstract
We present a system-level description of the Low Frequency
Instrument (LFI) considered as a differencing polarimeter, and
evaluate its expected performance. The LFI is one of the two
instruments on board the ESA Planck mission to
study the cosmic microwave background. It consists of a set of
22 radiometers sensitive to linear
polarisation, arranged in orthogonally-oriented pairs connected to
11 feed horns operating at 30, 44 and
70 GHz.
In our analysis, the generic Jones and Mueller-matrix
formulations for polarimetry are adapted to the special case of the
LFI. Laboratory measurements of flight components are combined with
optical simulations of the telescope to investigate the values and
uncertainties
in the system parameters affecting polarisation response. Methods of
correcting residual systematic errors are also briefly discussed.
The LFI has beam-integrated polarisation efficiency >99% for all
detectors, with uncertainties below 0.1%. Indirect assessment
of polarisation position angles suggests that uncertainties are
generally less than 0
5, and this will be checked in
flight using observations of the Crab nebula. Leakage of total
intensity into the polarisation signal is generally well below the
thermal noise level except for bright Galactic emission, where the
dominant effect is likely to be spectral-dependent terms due to
bandpass mismatch between the two detectors behind each feed,
contributing typically 1-3% leakage of foreground total intensity.
Comparable leakage from compact features occurs due to beam mismatch,
but this averages to <
for large-scale emission. An
inevitable feature of the LFI design is
that the two components of the linear polarisation are recovered from
elliptical beams which differ substantially in orientation. This
distorts the recovered polarisation and its angular power spectrum, and
several methods are being developed to correct the effect, both in the
power spectrum and in the sky maps. The LFI will return a high-quality
measurement of the CMB polarisation, limited mainly by thermal noise.
To meet our aspiration of measuring polarisation at the
1% level, further analysis of flight and ground data is
required. We are still researching the most effective techniques for
correcting subtle artefacts in polarisation; in particular the
correction of bandpass mismatch effects is a formidable challenge, as
it requires multi-band analysis to estimate the spectral indices that
control the leakage.
Key words: polarization - instrumentation: polarimeters - space vehicles: instruments - techniques: polarimetric - cosmic microwave background
1 Introduction
ESA's Planck missionAt the same time polarimetry is not the primary goal of the
mission. The LFI
therefore lacks certain features that would be expected on an
instrument
expressly designed for accurate measurements of weak polarisation:
notably,
the correlation stage that would allow complete recovery of the
polarisation state received by each feed horn, and also a capability
for polarisation
``chopping'' by rotation of the polarisation orientation of each
detector
on the sky (such as provided by appropriate phase switching or
a rotating half-wave plate). Nevertheless,
the extreme stability offered by a space platform, especially at L2,
promises to allow recovery of the CMB polarisation with an accuracy
limited by instrumental noise at high multipoles,
,
and by residual foreground contamination
at low multipoles. Our confidence in this has been increased by the
successful
polarimetry with WMAP (Hinshaw et al. 2009;
Kogut
et al. 2007; Page et al. 2007),
which
in important respects is less optimised for polarisation than Planck.
The importance of CMB polarimetry is now widely appreciated
(e.g. Hu & Dodelson
2002). Among the various new constraints and independent
checks on cosmological models
that it provides, over and above total intensity measurements, the
most important is that by setting limits to B-mode
polarisation (Zaldarriaga
& Seljak 1997) we directly limit the energy scale of
inflation,
giving us a unique window on physics at
1016 GeV
energies.
The strategic role of LFI polarimetry within the Planck mission is: (i) to constrain the steep-spectrum polarised foregrounds, dominated by Galactic synchrotron emission; and (ii) to map the sky close to the minimum of foreground contamination at 70 GHz, albeit with less sensitivity to the CMB than available from Planck's High Frequency Instrument (HFI, Lamarre et al. 2010). This will provide an independent check on the HFI results with different systematic uncertainties, and a much lower level of contamination by polarised thermally-emitting dust.
Mandolesi et al. (2010) demonstrate that CMB polarisation can be detected in the power spectrum with a signal-to-noise of up to 100:1. Since the power spectrum is proportional to the sky signal squared, this sets the following overall requirements on polarisation calibration:
- global multiplicative artefacts
0.5%;
- errors in the instrumental polarisation angles

;
- artefacts uncorrelated with the CMB polarisation
10% of
polarised intensity.
We will demonstrate that the first two requirements are easily met by the LFI. The worst instrumental artefacts are expected to be due to various forms of leakage into the polarisation of the strong total intensity signal from our Galaxy, but over much of the sky this will not be a serious contaminant.
Stronger requirements on calibration precision are placed by the desire to produce accurate maps of foreground polarisation, especially along the Galactic plane, since we know from WMAP that this is the dominant signal at LFI frequencies and resolution. While we do not expect to recover maps which are noise-limited at all pixels, we show that measurement of polarisation to 1% of total intensity or better appears achievable, although some potential hurdles remain to be overcome.
In this paper we present a system-level overview of the LFI as a polarimeter. Section 2 reviews the standard notation of Stokes parameters and discusses the several coordinate systems used to express them in this paper. Section 3 describes the overall architecture of the system, while Sect. 4 connects this to the Jones and Mueller matrix formalisms, to allow us to build up the system-level performance from component-level measurements and models. The LFI is most generally characterised by a polarisation response Stokes vector (which depends on both frequency and sky position) for each detector. In principle this formalism provides a complete description of all multiplicative instrumental effects, and hence of all multiplicative systematic errors, which can be defined as differences between the true response and the (relatively) idealised response assumed in the data reduction.
Analyses of polarisation systematics frequently specialise this general approach to capitalise on simplifying features of the instrument: for instance, Mueller matrices may be independent of direction, in which case a perturbation analysis may be applied to isolate the dominant departures from the ideal identity matrix: for example see O'Dea et al. (2007) for the case of a rotating wave-plate. Similarly, Hu et al. (2003) give a first-order perturbation analysis of the impact on polarisation of departures of the beamshape from an ideal circular Gaussian. Partly because Planck is not primarily a polarimetric mission, we cannot make much use of such simplifications, although the dominant beam-dependent polarisation residuals do indeed correspond to some of the patterns discussed by Hu et al.
Section 5, therefore, presents quantitative details of the system parameters that affect the polarisation response vectors, as known prior to launch. Since LFI detectors are highly linear over the range of sky signal strengths expected on-orbit, the only other class of systematic errors are additive effects such as 1/f noise; in fact the suppression of such terms is the driving factor in the design of both the LFI instrument and its data analysis pipeline. Such terms are addressed in Sects. 6 and 7: Section 6 discusses additive terms due to residual instrumental temperature fluctuations, based on the cryogenic tests for LFI and Planck, while Sect. 7 addresses the impact of 1/f noise.
The effective polarisation response varies from sky pixel to sky pixel under the control of the scanning strategy, so the only way to assess the impact of residual instrumental effects on angular power spectra is through simulations of a complete sky survey. This is also done in Sect. 7, which also allows us to discuss the possibility of checking the polarisation calibration using astronomical sources. Section 8 summarises our results.
2 Stokes parameters and coordinates
It is convenient to express the polarisation state of electromagnetic
radiation either via Stokes parameters
or,
more naturally,
via the linearly polarised intensity p and
orientation angle
.
We use the term ``orientation'' rather than direction for
to
signify that a rotation of 180
has no physical significance,
which is to say that linear polarisation is a spin-2 quantity in the
sense of Zaldarriaga
& Seljak (1997). The Stokes
parameters can be defined in terms of the complex amplitudes Ex,
Eyof the
wave in the
and
directions (
being the propagation
direction) via:
(e.g. Kraus 1966). Stokes I is the total intensity, irrespective of polarisation; Q and U represent linear, and V circular, polarisation. Stokes parameters (and p) may represent either flux density or intensity (brightness). In CMB analysis I is often referred to as ``temperature'' while Q and U are termed ``polarisation'', but this is misleading inasmuch as in this context all Stokes parameters are measured in temperature units (cf. Berkhuijsen 1975).
In the following we often use the Stokes vector
(we
use calligraphic script for Stokes vectors
and the matrices that act on them to distinguish them from real-space
vectors). For I and V this is
just a notational convenience as they transform as scalars under
real-space
rotation; but the projection of
into the (Q,U) plane has
a vector nature, in that its components depends on the chosen
coordinate
system: an angle
in (Q,U)corresponds to an
orientation of
on the sky. To define the
zero-point of
,
we need to relate the local x and y
used above, defined only for
one line of sight, to a global coordinate system. The astronomical
convention
takes
as
due north (the local meridian) and
along
the local parallel towards
the east, consistent with propagation (
)
towards the observer. It is also necessary to specify which coordinate
system is intended, viz. equatorial, ecliptic
or galactic, and for the first two the reference equinox (e.g. J2000 or
date of observation). Many analyses of CMB polarisation adopt the
opposite
handedness, resulting in a change of sign of U
and
.
In this paper we use the astronomical convention throughout.
To describe the instrumental polarisation properties, we also
need coordinate systems fixed with respect to the instrument. Planck
is
conventionally described by a Cartesian ``spacecraft'' frame in which
the telescope is mirror-symmetric across the
plane,
with the ray from the centre of the
focal plane oriented at 85
from
towards
.
In flight, the telescope spins at
rpm,
with its spin
vector nominally parallel to
and
kept close to the anti-Sun direction. Hence the detector beams scan
the sky along nearly-great circles,
which are most conveniently described as parallels in a coordinate
frame
taking the spin axis as its pole; we refer to this as the ZS frame
(mnemonic that
is
the spin axis). We specify the polarisation orientation of the
detectors,
,
relative to the meridians of the ZS frame, and define the rotation of
this orientation relative to the celestial meridian in the pointing
direction as
(Fig. 1).
|
Figure 1:
Geometry of spin axis (red arrow directed away from the Sun) and scan
line illustrated on a view of the celestial sphere. The north ecliptic
pole is marked NEP and the vernal point, i.e. the origin of ( |
| Open with DEXTER | |
Finally, the radiation pattern (``beam'') of each feed horn, after
folding
through the telescope optics, is defined using a variant
of Ludwig's 3rd definition of coordinates (Ludwig
1973) rather than polar coordinates,
with the origin taken as the peak of the beam and orientated so that
the
co-polar axis is parallel to the projected polarisation of the
``side-arm''
radiometer (see Sect. 3.1)
at the beam peak (Sandri et al.
2010).
Fortunately, the sky regions covered by the main beam patterns are
small
enough that we may use the flat-sky approximation when integrating the
polarisation response over the main beam.
3 LFI polarimeter architecture
3.1 Differencing polarimeter concept
The output signal power produced by a linear, narrow-band detector
observing a polarised source can be written in terms of the source
Stokes parameters as:
(e.g. Kraus 1966). Here
|
Figure 2:
Geometry of the LFI beams as projected on the sky. The ellipses
show the half-maximum contour of Gaussian fits to each total intensity
beam, while the crosses show the nominal polarisation orientation
(heavy
lines are the x or side-arm direction). Coordinates
are scan circle
radius |
| Open with DEXTER | |
Table 1: Geometric parameters for the LFI focal plane.
Circular
polarisation is usually zero, at most a few tenths of a percent for
some
point sources. Moreover the LFI detectors are linearly polarised
so
is
small; in the following we will usually neglect the circular
polarisation terms.
The LFI consists of eleven receiver chain assemblies (RCAs), each comprising a feed horn which couples radiation from Planck's optics into an orthomode transducer (OMT) which separates it into two (nominally) orthogonal linearly polarised components along the so-called ``side'' and ``main'' OMT arms (D'Arcangelo et al. 2009b). The signal in each arm is separately amplified and detected by its own pseudo-correlation receiver, in which the radiation from the sky, via the telescope, feed, and OMT is differenced against thermal emission from a cold load at a nominal 4 K (Bersanelli et al. 2010). There is a separate 4-K load for each arm of each RCA; however, the two loads for a given RCA are located physically close together, so that drifts in the load temperature are strongly correlated between the two (Valenziano et al. 2009).
By summing and differencing the calibrated outputs of these
two radiometers, this configuration allows the recovery of I
and one component of the (Q,U)
vector, which we denote
,
that is, Stokes Q in the horn coordinate frame.
Initially we consider the quasi-monochromatic case and take
the beam to be a
delta-function measure of the sky brightness in the pointing direction.
To express departures from the ideal case we write the estimated gains
,
(we
call
the cross-polar leakage),
,
and
,
where
subscripts ``s'' and ``m'' denote the side and main OMT arms. Using
tildes to indicate quantities estimated from the data, the calibrated
sum is
The last line is a first-order approximation in the small quantities
While Eq. (9) is a first-order approximation as it stands, as long as the receiver remains linear it can be made exact by relaxing the requirements that
We will show that the LFI is remarkably close to an ideal
polarimeter with
and
.
While the basic gain calibration is expected to be good to a few tenths
of a percent
at worst (Sect. 5.1),
two effects can lead to relatively large gain
mismatch
,
and hence significant ``forward polconversion'', i.e. contamination of
the polarisation signal by total intensity
.
This term is important because I is large compared
to
.
The first such effect is that, due to the finite bandwidth,
the calibration can only be exact for one spectral shape - in practice
that
of CMB fluctuations since the CMB dipole is the primary calibration
source
(Cappellini et al.
2003).
Due to differences between the bandpasses of different detectors,
including between the two arms in each RCA, this gives forward
polconversion for non-CMB
emission, with amplitudes of up to several percent for typical spectra.
This is discussed in more detail in Sect. 5.2. The second
effect is that our
includes the overall beam profile;
hence even when the data are well-calibrated for resolved emission,
differences
between the beam shapes for the two polarisations will give
polconversion.
The relevant beam patterns are analysed in Sect. 5.4, while
the impact of such non-ideal beams on the maps and power spectra, and
strategies for correction, are reviewed in Sect. 7.6.
If the detectors were not subject to systematic errors and all
beamshapes were identical, the ``optimal'' solution for lowest
random errors would weight all data by their inverse variances and
determine (I,Q,U)
from a least-squares analysis of all the observations of each pixel. In
contrast, use of the sum and difference signal, as discussed in this
section, is equivalent to using equal weights for the two detectors in
each RCA. In
practice, the beams from the two detectors in each RCA are very much
closer in shape than the beams from different RCAs (cf. Sandri et al. 2010, and
Sect. 5.4).
Therefore use
of the difference signal to find Q and U
is preferred because forward
polconversion due to beam differences is much worse for a global
least-squares solution, as previously found in the analysis of data
from
BOOMERanG (Jones et al. 2007)
and WMAP (Hinshaw et al.
2009)
.
Use of the difference signal is also expected to ameliorate
various systematics common to the two OMT arms, for instance
contamination
of the signal by thermal fluctuations of the RCAs and 4 K
loads (cf. Sect. 6).
(It has
no effect on polconversion due to bandpass differences, of course).
To quantify this, we note that although
the noise properties of the LFI receivers are fairly well matched, in a
few RCAs the white-noise sensitivities of the two arms
differ by
20%
(Meinhold et al. 2009),
which gives a 40% difference in inverse-variance
weighting. Such a large difference would give significant
polconversion in the final maps. On the other hand, use of the
difference
signal has a very minor effect on the overall noise level, the worst
case being at 30 GHz where it would be
2% higher
than
optimal. In contrast, there are no strong reasons to prefer the
unweighted sum signal for Stokes I, given that this
only improves cancellation of ``reverse polconversion'', i.e. leakage
of Q and U into the much
stronger I.
3.2 Focal plane arrangement
Figure 2
shows the positions and orientations of the LFI beams as projected on
the sky, while the same data are listed in Table 1. The
polarisation angles quoted account for the slight rotation induced by
the telescope optics, which explains why the side and main arm angles
do not differ by exactly 90
.
The (Q,U) vector at each
sky pixel is measured in two ways. The
most important is that all but one of the LFI feed horns are arranged
in pairs which (nominally) follow the same scan path, and whose
polarisation angles differ by approximately 45
.
Thus the second horn effectively measures U to the
first horn's Q.
In addition, over the course of a year, each LFI horn will
scan each sky
pixel along at least two different scan paths, in principle allowing
the
recovery of polarisation from the data for a single horn (Fig. 3).
In practice the angle between the scan paths is usually not large
(typically 10
-20
), leading to
large and anisotropic errors in (Q,U)
for
single-horn measurements. The exception to this rule are the ``deep
regions''
near the ecliptic poles, where each pixel is scanned several times with
a
wide range of scan angles.
Horn LFI-24 has no matching partner. Consequently the 44-GHz
polarisation
measurements derived from all three horns will be significantly
asymmetric
(cf. Sect. 7.2),
since for each pixel a roughly isotropic measurement of (Q,U)
from LFI-25 and -26
will be combined with a measurement from LFI-24 of a single component
(approximately Q in ecliptic coordinates). We
emphasise that no biases are caused by such an asymmetric error
distribution. It is true that an optimal arrangement of three horns
would have used the available data to better effect, for instance
having all horns on the same scan circle (same
), with polarisation angles
differing by 120
,
but no such arrangement was feasible given other constraints.
|
Figure 3:
Illustration of measurements in the (Q,U)
plane. Each visit to the pixel by each horn measures |
| Open with DEXTER | |
Minor asymmetries in the (Q,U)
error
distribution will occur in all bands due to sensitivity differences
between
receivers, to the fact that the pairs of horns are not oriented at
exactly
45
(Table 1),
and to the impact on the scan
pattern of the expected slight misalignment of the spin axis. This
is expected to drift relative to the satellite structure
since consumption of fuel and cryogens will alter the moment of
inertia.
As a result, the actual scan circles for matched pairs will not be
exactly
identical. The spin axis misalignment from
is
expected to be
5 arcmin
(Tauber et al. 2010a),
giving offsets between lead and trail scans of
0.035 FWHM
even
in the worst case (LFI-18 and -23, the outer pair of 70 GHz
horns).
The values listed in Table 1 are the
nominal design
values. The exact direction of the spin axis will be calibrated in
flight
by the star trackers, while the focal plane geometry will be calculated
using observations of bright point sources, in particular planets.
Hence
will be known to sub-arcminute
precision for all beams.
Determination of polarisation angles
is more problematic. The values
quoted are based on the design of the focal plane
assembly (FPA), propagated using the GRASP physical optics
code to the far field (Sandri
et al. 2010).
The GRASP code has been validated by comparison between simulations and
compact array measurements of the radio frequency qualification model
(RFQM)
telescope (Tauber et al. 2010b).
In many ways the most stringent test of the model is the approximately
correct prediction of weak sidelobes of the main beam 40 dB
below the
peak. Since the beam is built up by synthesis, the errors all over the
beam pattern should be below this level. Since the cross-polar pattern
peaks
at -30 to -40 dB, these results only give strong support to
the co-polar
pattern, but the accuracy of modelling of the cross-polar behaviour
should
be similar to that of the co-polar, and indeed in some cases the RFQM
measurements of the cross-polar patterns match the predictions quite
well.
Qualitatively correct prediction of angles of polarisation response
confirms that there are no gross errors, e.g. confusion of co- and
cross-polar patterns. Small quantitative differences
between predicted and observed polarisation are likely to be due to the
imperfections of the measurement process, and the use of ideal
feed-horn profiles to predict the RFQM beams (in contrast, the flight
model beams discussed in this paper are based on the measured horn
profiles, cf. Sandri et al.
2010).
The astrometric calibration of the focal plane geometry will
allow us to correct the
values for shifts of the feeds or rotations of the FPA
or spin axis relative to the satellite structure. It remains for us to
determine any rotations of individual RCAs relative to their design
orientations. This itself can be split into two parts: rotation of the
physical structure of each RCA, and rotation of the true
(``electrical'') polarisation orientation of each detector relative to
that expected from
the large-scale geometry of the OMT. Neither of these angles was
directly
measured during the ground calibration campaign. The physical
orientation
is expected to be extremely close to the design value: assembly of the
OMTs
into the FPA
was certified as compliant within the required tolerances of <
m and this
should correspond to maximum orientation errors of less than 0
1. The only caveat here is that
the distortion of the FPA on cool-down is not
well understood, with uncertainties
in
the expected relative location of the FPA and the telescope focal
plane
at operating temperatures (Tauber
et al. 2010b). The measured OMT cross-polarisation
(Sect. 5.3)
suggests that the electrical/mechanical misalignment is generally less
than 0
5.
Due to the lack of direct ground measurements, the polarisation angles will be checked by on-orbit observations of bright polarised sources, as discussed in Sect. 7.3.
4 Jones and Mueller matrices
In this section we generalise the monochromatic, unidirectional formalism given in Sect. 3 to finite bandwidth and beamwidth, as a preliminary to a presentation of the calibration data for the LFI.
4.1 From Jones matrix to power response
Our GRASP physical optics simulations of the beams use reciprocity,
assuming that each arm of the radiometer introduces perfectly linearly
polarised radiation into the base of the feed horn,
with the orientation at the nominal angle. Effectively, the
calculations
provide a Jones matrix (e.g. Kraus
1966)
for the optics,
.
We follow Hamaker et al. (1996)
in extending the Jones matrix notation to guided waves
and electrical signals in the receiver; thus at various points in the
chain
the Jones vector (Ex,
Ey)T
represents the x and ycomponents
of a free-space wave, the waveguide modes to which these ideally
couple, and the voltages resulting from their coherent detection.
Departures of the OMT from ideal performance can be represented
by a Jones matrix
which departs from the identity matrix, and the amplification stages of
the
radiometers can be represented by a diagonal
since,
once past the OMT, there is negligible cross-polar leakage
(Davis et al. 2009).
The combination is represented by the chain rule:
The diagonal terms are referred to as ``co-polar'' and the off-diagonal terms as ``cross-polar''. We note that the overall complex phase of any Jones matrix has no effect on the power detected; indeed, since
Equation (10)
is an approximation, as it neglects reflections at interfaces between
components. However, for
we
will use the detailed models
of the bandpass discussed by Zonca
et al. (2009) and Battaglia
et al. (2009), which includes
all internal reflections including the interfaces between feed horn and
OMT,
and OMT and subsequent elements. Only missing from this are (i) terms
which
connect the two polarisation channels, governed by cross-polarisation
(direct route) and isolation (reflected route) in the OMTs; and
(ii) reflections between the feed horn and the telescope structure. For
the first, cross-polarisation is assessed in the following using
in the Jones matrix formalism, while measured isolation is
<-40 dB across the entire band for most OMTs and
<-34 dB for the rest (D'Arcangelo
et al. 2009b), which justifies neglecting these
terms.
For the second, reflections from the telescope mirrors are essentially
eliminated by the off-axis design, leaving only extremely small
effects, such as scattering from telescope and baffle edges, which
should also be negligible.
For a given frequency and direction Eq. (5) can be
written as
where
Note that
|
(13) |
transforms from (Q,U) defined with respect to celestial coordinates in
The component of the cross-polar response that is in phase with the co-polar response corresponds to an error in the nominal angle, viz
|
|
= |
|
(15) |
| = |
|
(16) |
for the side and main arms, respectively; the out of phase component gives a finite response to V. These terms are first-order in the cross-polar amplitude gain; in contrast depolarisation (finite
This is unity if the co- and cross-polar terms in the row, say
4.2 Mueller matrix formalism
A generic full-function polarimeter can be represented by relating the
output measured Stokes vector
to the input Stokes vector via
a Mueller matrix (e.g. Kraus 1966):
|
(18) |
thus the Mueller matrix is a generalised gain. Using the notation of Eq. (11), our sum and difference signals (Eqs. (7)-(9)) can be written as
|
|
= |
|
(19) |
| = |
|
(20) |
which constitute the first two lines of a Mueller-matrix equation. In the following we label Mueller-matrix elements with the Stokes parameters corresponding to the row and column (in that order); thus, for instance,
4.3 Broad-band, beam-integrated response
All the sources detectable by the LFI are incoherent in both frequency
and
direction, so Eq. (11)
can be integrated over frequency and solid angle to give the net power
received by the detector:
|
(21) |
where the Stokes vector
A practical drawback to this approach is that at
present we do not have calculations of
at
a well-sampled set of frequencies across the band (first steps
towards this
are discussed in Appendix B). Therefore
in the following
we instead evaluate separately
found
from
,
and
evaluated
from
at the nominal band frequency. A joint analysis will be the subject of
a future publication.
Following the development in Appendix A it is
convenient
to factorise the gain
into an overall gain G, and a bandpass
normalised so that
|
(22) |
where
5 System polarisation parameters
5.1 Receiver gain differences
Equation (9)
shows that errors in the gain calibration lead directly to leakage of
total intensity into the polarisation signal, so accurate gain
calibration is needed to recover polarisation in the presence of much
brighter
total intensity. High-gain amplifiers are well known to show
significant fluctuations in their
gain over time, both due to stochastic fluctuations and to
deterministic
drifts driven by, for instance, temperature fluctuations. The latter
can
often be calibrated explicitly using temperature measurements recorded
in the satellite telemetry, however we expect temperature-driven
fluctuations to be almost negligible in the in-flight polarisation
signal (see Sect. 6).
The 1/f noise which affects such amplifiers is
mainly due to gain drifts acting on the large offset signal due to the
finite system temperature. Seiffert
et al. (2002) and Mennella
et al. (2003) estimate

where
At present there are no test data runs longer than a few hours for the LFI radiometers in which they operated at nominal conditions, so the outer cutoff for LFI will be established during the on-orbit calibration phase.
Astronomical gain calibration is based on the CMB dipole,
which appears as a fluctuation at the satellite spin frequency in the
time-ordered data, with Rayleigh-Jeans amplitude
;
this
varies through the year due to geometric effects, as
discussed in Sect. 7.5.
If errors are dominated by noise, the 1-
error in
is
for an integration time
5.2 Bandpass differences
Our formalism for describing the effect of finite bandwidths on
differencing polarimetry was briefly described by Leahy & Foley (2006);
a more detailed presentation is in preparation.
The most basic effect is to render ambiguous the operating frequency
quoted
for a detector: it is helpful to distinguish the nominal
frequency
used to label the band (30, 44 and 70 GHz for the LFI), the fiducial
frequency for each band,
,
chosen to minimise the photometric errors to be described in this
section, and the effective frequency for each
detector,
,
at which such errors are zero for a reference spectrum.
In an idealised model of gain calibration, a perfect
measurement
of the power due to the dipole,
,
gives a gain estimate of
|
(24) |
The corrected total intensity in Rayleigh-Jeans units for an unpolarised source with spectrum
In general
|
(26) |
where
|
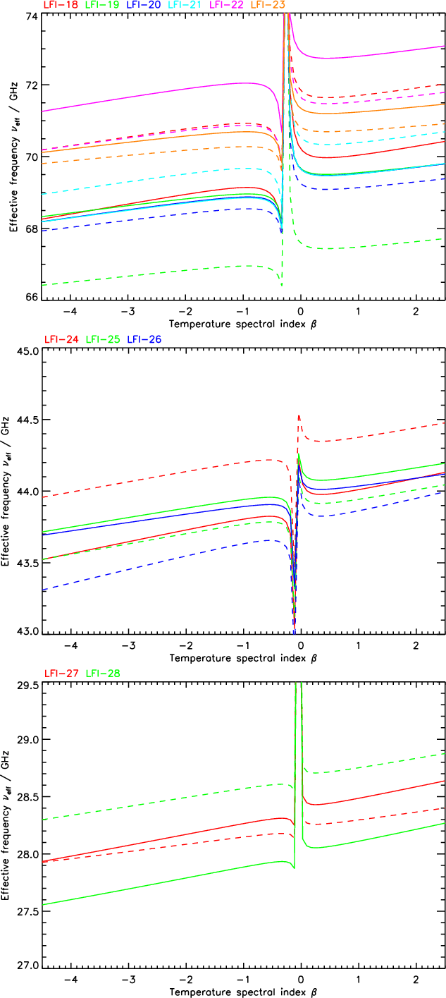
Figure 4:
Plots of effective frequency
|
| Open with DEXTER | |
Table 2:
Worksheet for estimating the magnitude of polconversion due to bandpass
mismatch in the Planck frequency bands, over the
full sky (``4
'')
and over pixels outside the WMAP KQ85 mask (``Mask'').
We apply this formalism to the current best estimates of the
LFI bandpasses,
namely the QUCS models from Zonca
et al. (2009).
To minimise the error in the total intensity maps, we define
for each LFI band to be the
mean of the individual detector
values,
when observing the
dominant foreground spectral index in each band. The foreground
properties were derived with the Planck sky model
v1.5
. This is a four
component model containing spinning and thermal dust, free-free and
synchrotron emission. Results for mean spectral indices are given
in Table 2.
For our choice of nominal spectral index
we use the flux weighted values,
,
outside the WMAP KQ85 mask, except
at 70 GHz, where we choose a nominal index
of -0.5 because the flux weighted value is too
close to the CMB spectral index, causing ambiguities in
(cf.
Fig. 4).
These values of
yield
,
43.8, and 69.5 GHz, which
depend only weakly on spectral index.
The discrepancy in the 30 GHz band is due to the non-nominal
low-frequency extension
of the band revealed by Zonca
et al. (2009).
The bandpasses for the main and side arms in a given RCA are
determined by independent physical components (apart from the OMT
itself).
Moreover, due to the asymmetric design of the OMTs, the OMT
contribution
to the bandpass is different for the two arms. Thus the bandpasses for
the two arms of a given RCA are no more similar than for any two
detectors in a given band. Hence there can be
significant discrepancies between main and side arm f
factors, giving
rise to forward polconversion, i.e. a contribution to the
Mueller
matrix element. Fortunately the dependence of
on
is very
smooth, despite the considerable structure in
(Zonca et al. 2009),
because of the smoothness of the source spectra. To a first
approximation, the polconversion term is
where
|
(28) |
Thus the artefact is dominated by the fractional difference in effective frequency between the two arms. Figure 5 shows the polconversion for each feed for power-law spectra and illustrates the quality of the approximation in Eq. (27). The apparently worst fits, for LFI-26 and LFI-27, are cases with very low polconversion, which is why second-order effects become noticeable.
|
Figure 5:
Polarisation conversion term due to bandpass mismatch,
|
| Open with DEXTER | |
A more complete parametrisation, which is generally adequate
to a fraction of a percent for the LFI bandpasses, is
where our spectral model now includes ``running'':
|
(30) |
to give a good representation of strongly curved spectra, for example spinning dust (Draine & Lazarian 1998). The coefficients in Eq. (29) depend on
Polconversion due to bandpass mismatch is a particularly difficult systematic to deal with, since its magnitude depends on the local foreground spectral index. It is worth keeping in mind the following relative magnitudes (cf. Table 2):
- The foreground total intensity which drives bandpass errors is weaker than the CMB fluctuations over much of the sky in all LFI bands, substantially so at 44 and 70 GHz.
- The residual error,
,
is typically a few percent of the foreground total intensity.
- From WMAP the foregrounds are typically a few percent up to 30% polarised, with the lowest polarisation along the Galactic plane (Kogut et al. 2007). Hence the forward polconversion will be between order unity and 10% of the foreground polarisation signal.
- For
,
corrections to the simple Eq. (27) are 1-2
orders of magnitude smaller again
(Fig. 5).
At present, as discussed by Zonca et al. (2009), the accuracy of our preferred QUCS bandpass models is hard to quantify. Direct measurements of the radiometer bandpasses suffered substantial errors and also had frequency ranges too restricted to clearly delineate the low-frequency cutoff of the 30 GHz band or the high-frequency cutoff of the 44 GHz band (cf. Figs. 4 and 5 of Zonca et al.). The QUCS bandpasses are simulations based on component-level measurements; however in some cases the component-level frequency range was as limited as at the radiometer level or even more so; thus the modelled 30 GHz low-frequency cutoff depends on OMT return loss scaled from measurements of the similar 44 GHz OMTs; while the 70 GHz model barely covers the full bandpass in some cases (e.g. LFI-21, see Fig. 6), and hints at significant gain below its lower limit of 60 GHz, apparently in line with measurements (Zonca et al. Fig. 14).
We have repeated the analysis discussed above to compare the
raw measurements
with the QUCS models, where the effects of ill-determined band edges
were
removed by using only the common frequency range of measurements and
models. Even so, deviation between
model and measurements are large enough that the derived
values
are frequently of opposite sign. This is a difficult test to
pass, since we are concerned with a second-order
effect, the difference of two small terms; nevertheless we need
accuracy
at this level to meet our aspiration of polarisation errors
below 1%. As discussed by Zonca
et al. (2009), work is planned to reduce and
quantify uncertainties in the QUCS models, which will
include refined measurement and modelling of flight spare devices.
The flight data themselves can be used to isolate bandpass
errors, by
differencing total intensity maps made with different horns, and, at
70 GHz, by differencing polarisation maps made independently
from the
three mirror-symmetric horn pairs. In such maps bandpass errors will
dominate where foreground emission is strong. This provides both a
check on the predictions from the model bandpasses and, in principle,
an opportunity to update bandpass parameters, in particular
,
using the flight data.
5.3 Cross-polarisation response across the bandpass
The components of
are a subset of the complex amplitudes from the scattering matrix
measured in laboratory testing of the OMTs (D'Arcangelo
et al. 2009b), namely
|
(31) |
``Insertion loss'' is so named since, when measured in dB, a non-zero value represents a departure of Jii from unity.
|
Figure 6:
Plots of the components of the detector response Stokes vector |
| Open with DEXTER | |
These parameters were measured for the flight model OMTs at IFP-CNR
Milan,
using a vector network analyser (VNA), as described by D'Arcangelo et al. (2009b).
The measured phase data also included the contribution of the
adaptors connecting the VNA to the OMT under test.
The amplitude and phase contributions from the adaptors, essentially a
linear phase gradient across the band, were measured and subtracted.
Typical precision for the insertion loss signals was
<0.1 dB and <1
of phase. Due to the low signal levels in the cross-polar response,
repeatability was somewhat worse than for insertion loss,
but analysis of four independent measurements of LFI-20 (main) showed
that
band-integrated results were repeatable at the level of 10-5
in cross-polar leakage and
in
polarisation angle.
We have derived the components of
from
the
measured OMT and model bandpass data for each RCA arm, excluding the
contribution of the optics,
i.e. using
only. For
we
used the bandpass estimates of Zonca
et al. (2009),
but with the OMT insertion loss divided out (since this is included in
). Figure 6 plots example
cases including the worst-performing OMTs.
Table 3:
Band-averaged cross-polar leakage
and effective rotation
measured for the flight
model OMTs.
By integrating the components of
over frequency we can derive
band-integrated values of
and
,
which are listed in Table 3.
We also give the effective
and
for
the difference signal,
,
assuming
perfect calibration of total intensity. The integrals over the
frequency
band of Eq. (11)
require an assumed source spectrum, and
for the quoted figures we used the differential CMB spectrum,
.
As expected from the analysis in Sect. 4.1, the dominant
effect is rotation of the effective
angle, i.e. finite
.
The first-order prediction
was
found to be accurate for all RCAs.
There is a marked tendency for a significant position-angle rotation in
the main arm, of order 1
,
while the side arm angles are generally
much closer to nominal. The overall angle for the horn
,
only exceeds our target accuracy of
,
in two cases, LFI-19 and
LFI-26 (both shown in Fig. 6).
LFI-19 follows the usual pattern of a large
with
a smaller
in the opposite sense. On the other hand in LFI-26,
which
suggests that a physical misalignment of the OMT during testing
could have been responsible.
As a second-order effect, depolarisation is essentially
negligible with all polefficiencies >99.8%
and most >99.9%. The dominant source of the small depolarisation
we
measured is linear-to-circular conversion, with variation of
across
the band
contributing almost as much in some cases. Main-vs.-side misalignment
is 1
-2
for the 70 GHz OMTs, and smaller for the other bands;
in all cases it a relatively minor source of depolarisation.
When observing sources with non-CMB spectra, the band
integrals will be slightly different. We evaluated
this effect assuming power law spectra with spectral index
(appropriate
for synchrotron radiation) and
(appropriate for thermal dust emission), in both cases assuming that
the gain calibration
was determined from the CMB dipole as discussed in Sect. 5.2.
We found the spectral dependence of
and
to be negligible,
![]()
and
,
respectively.
We regard the data discussed in this section as indicative rather than definitive for a number of reasons. Room-temperature measurements will not exactly reproduce the performance at 20 K. As discussed in the previous section, the 70 GHz bands may extend somewhat beyond the modelled frequency range of 60-80 GHz. At 30 GHz, OMT measurements were made only above 26.5 GHz, but in our model bandpass, 14-30% of the CMB power is received at lower frequencies; this is aggravated because the OMTs were designed for the nominal band of 27-33 GHz and so their performance below 26.5 GHz may be significantly worse than their measured in-band performance. Fortunately, the OMTs at this lowest frequency band have exceptionally high quality, and Table 3 shows that the out-of-band contamination would have to degrade the measured performance by an order of magnitude to cause a serious problem.
The main purpose of this section is to demonstrate the quality
of the LFI
OMTs. Even if the measurements were perfectly accurate, the values in
Table 3
cannot be applied directly to the data since we have
so far omitted the contribution of
.
Figure 6
shows that the cross-polar amplitudes fluctuate in sign across the
band; therefore, we cannot simply combine the beam and OMT Mueller
matrices; instead we have to evaluate the full Jones matrix chain at
each frequency
and then integrate across
the band. This is expected to reduce the contribution of the OMTs to
the depolarisation even further, for the following reason. We saw that
conversion
to V dominates the depolarisation, and
Eq. (17)
shows
that this gives a net depolarisation irrespective of the sign of the
cross-polar term. However, where
contributes
significant V conversion, the
OMT V term will (to first
order) add to this, and is as likely to reduce the net V
conversion as
to add to it.
As a reality check on the electrical measurements, tests were
performed using a pair of flight spare OMT/feed horn assemblies at
70 GHz. The measurements were
made at IFP-CNR Milan, using the same VNA equipment
used for the scattering matrix measurements (D'Arcangelo et al. 2009b,a; Villa
et al. 2009). The two horns were mounted
facing each other, and precisely aligned using a laser. A 70-GHz source
was connected to one arm of one horn, and the detected power
was measured in each arm of the other assembly as it was rotated around
the
horn axis. Position angles were measured to 0
1 precision. The power-angle
curves did not exactly match the expected sinusoidal pattern, partly
due
to drifts in the VNA power over the several hours required to complete
the measurements. Significant sub-degree structure in the power-angle
curves near the null points was likely due to reflections in the
measurement set-up. Nevertheless the nulls for main and side arm were
found to differ by
,
somewhat better than expected from
the apparently systematic non-orthogonality reported from the flight
model
tests.
5.4 Beam Mueller matrices
The formalism discussed in Sect. 4.2 applies
separately for
every direction in the beam and frequency within the band. The
components
of
can be calculated from the Jones matrix elements using Eq. (12); for the beam
component, the Jones matrix is
|
(32) |
where the terms in the matrix are the complex amplitudes calculated in our physical optics modelling of the beams. The factor of
|
Figure 7:
Images of the beam Mueller matrix for LFI-27 at 30 GHz.
Top row is |
| Open with DEXTER | |
|
Figure 8:
Images of the beam Mueller matrix at 44 GHz: top: LFI-24,
bottom: LFI-25. The displayed region is 2
|
| Open with DEXTER | |
|
Figure 9:
Images of the beam Mueller matrix at 70 GHz for LFI-18 (
top) LFI-19 ( middle) and LFI-20 (
bottom). The displayed region is 1
|
| Open with DEXTER | |
As expected, the co-polar beam component strongly dominates, so that
the
diagonal components
and
are almost identical, as are
and
,
both of which
.
The cross-polar contribution changes sign between the members
of these pairs, in principle causing differences, but they are much
smaller
than the (already small) difference between the co-polar beams which
dominates
both forward and reverse polconversion.
In nearly all beams, the polconversion elements
,
,
and
show a quadrupolar structure, indicating negligible beam squint between
the main and side arms, but
,
which governs angle
errors, consistently shows a dipole structure.
The peak unwanted responses, relative to the copolar peak, are
<1% for polconversion and
<2% for
,
except for the 44 GHz horns which are
2-3 times worse, especially LFI-25 and LFI-26 which are placed very
far in the focal plane from the other LFI horns (Table 4). As discussed
by Hu et al. (2003),
since dipole and quadrupole patterns in the beam residual are on
smaller scales than the nominal resolution, they alias high-
modes to lower multipoles.
For large-scale structure (
beam), the effective
polarisation response of the beam can be simply
integrated over the beam area:
|
|
= | (33) | |
| = | (34) |
where S stands for any Stokes parameter. From the normalisation of the single-detector beams,
Table 4: Key polarisation parameters of the LFI beams.
Changes in the parameters listed in Table 4 between design and measured geometry are generally small: the largest fractional change inErrors associated with uncertainties in the geometry will be much smaller than these figures.
6 Susceptivity to focal plane temperature fluctuations
The susceptivity of the radiometer output to focal plane unit (FPU) temperature oscillations was evaluated using data acquired during the radiometer array assembly (RAA) cryogenic tests (Mennella et al. 2010). The LFI focal plane is cooled to approximately 20 K by a hydrogen sorption cooler (Morgante et al. 2009; Tauber et al. 2010a), and the sorption cooler cycling causes a small periodic oscillation in the temperature of the receiver front ends. During the RAA calibration campaign, a 100 mK peak-to-peak temperature oscillation was induced at the Sorption Cooler Interface as part of a ``failure test''. The FPU temperature is measured by sensors in various locations (for details see Bersanelli et al. 2010). We consider the sensor mounted on the LFI-28 feed horn, which is the closest to any radiometer. By analysing the correlation between the side-main output voltage difference of each RCA and the perturbing signal, we found a significant correlation for LFI-28 (Fig. 10). This is not the case for other radiometers, where the correlation is poor. From these data, it is possible to deduce the susceptibility function which links the temperature measured at each sensor to each RCA difference output.
The differencing was done using the raw output voltages (proportional to detected power), since it has not been possible to derive an accurate gain calibration, so the difference may partially reflect a gain mismatch. In any case, FPU temperature oscillations in operating conditions are much smaller (see Morgante et al. 2009), implying that this effect is likely to be negligible in flight. However the present analysis demonstrates that is possible to study this effect and to apply ``non-blind'' data cleaning methods.
|
Figure 10:
Raw time-ordered side- minus main-arm differenced data (black) taken
during cryogenic testing, plotted over temperature data (red,
normalised, arbitrary units) for a sensor on the 30 GHz horn
LFI-28. In order to show the correlation between the two time series,
the temperature data were shifted forward
by a time lag of 14 s, which had been evaluated by
cross-correlating
the raw and temperature data. This particular test is dominated by
focal plane physical temperature oscillations induced by
the sorption cooler (its 900 s period is clearly visible),
since the
thermal stabilisation system (TSA) was switched off to simulate TSA
failure. These large ( |
| Open with DEXTER | |
7 Expected performance
7.1 The Planck scan strategy
The overall polarisation performance of the LFI is a global property of
the survey, and so we briefly describe the strategy for scanning the
sky
(Tauber et al. 2010a).
This is limited by thermal constraints requiring the spin axis to
remain
within 10
of the anti-solar direction during routine operations,
with additional constraints on the angles to the Earth and Moon. As a
result (cf. Fig. 1),
possible scan paths are rather close
to ecliptic meridians for latitudes
,
i.e. more
than half the sky. To allow scanning across the ecliptic poles the spin
axis moves away from the Ecliptic in a cycloidal precession; the spin
axis ecliptic coordinates
as
a function of the satellite anti-solar direction
are
given by:
|
|
= | (35) | |
| = | (36) |
where n gives the sense of cycloidal motion, k is the number of cycles per year, and
7.2 Sky coverage: polarisation isotropy
The scan angles
of
the two scans through most pixels differ from
90
by less than
because of the near-meridian scanning,
as already noted in Sect. 3.2 (cf.
Figs. 1
and 12).
With the unpaired horn at 44 GHz, and also minor deviations
from
the ideal symmetry of the focal plane in all bands, this small
range of
causes
non-isotropic polarisation measurements, i.e. elliptical error
distributions in the (Q,U) plane.
We have simulated this effect
for a typical Planck scanning strategy. Effects
included were
(i) slightly different scan patterns for the lead and
trail horns, due to a tilt of 0
2 of the spin axis from the
satellite
symmetry plane; (ii) rms
errors
in the setting angles of each feed
horn, (iii) rms 0
5 errors in orthogonality
between the two radiometer
arms for each feed; (iv) rms 1% errors in polefficiency around a mean
of 0.99;
(v) unequal weightings between horns due to their different noise
levels,
consistent with measured results (Meinhold
et al. 2009); (vi) the unmatched LFI-24 and the
slight departures from the ideal relative angle of 45
of the matched horn
pairs noted in Table 1. As
advocated in Sect. 3.1,
we give equal weights to the two arms of each horn. From the discussion
in
Sect. 5,
(i)-(iv) are worst-case assumptions; however,
at 44 GHz, the polarisation asymmetry is completely dominated
by the
unmatched horn LFI-24, so the observed pattern is expected to be very
close to this prediction.
The axial ratio of the (Q,U)
error ellipse is plotted on the sky
in Fig. 11.
The mean axial ratio is 1.06, 1.38 and 1.07 at 30, 44, and
70 GHz. The 70 GHz pattern is not shown as it is very
similar to that
at 30 GHz.
The patterns
are essentially organised in ecliptic coordinates, but we show them
projected
in galactic coordinates to reveal more clearly the caustics around the
ecliptic poles. These show up as regions of anisotropic errors
because the coverage there is dominated by sets of locally tangential
scans. Just outside these caustics are the regions where the scans
cross
at relatively large angles, significantly reducing anisotropy. At lower
ecliptic latitudes, the axial ratio varies with longitude: it is
reduced
at pixels observed at cycloid phases near 0
(180
)
for which
the spin axis is maximally below (respectively above) the Ecliptic for
the
two scans through each pixel, maximising the relative angle between
them; conversely, for pixels observed at cycloid phase near 90
or
270
the spin axis is on the Ecliptic and the two scans are parallel.
|
Figure 11: Simulated pattern on the sky for the axial ratio of the (Q,U) error ellipse for worst-case geometric assumptions at 30 GHz (top) and 44 GHz (middle). Note that the colour scale for 30 GHz covers only 20% of the range for 44 GHz. Maps are in galactic coordinates. The actual pattern for the WMAP 5-year V band is show at bottom, on the same colour scale as for Planck at 44 GHz. |
| Open with DEXTER | |
It is interesting to compare the sky coverage performance of Planck
with WMAP, which relies entirely on the variation of
between
the scans through each pixel to break the degeneracy of using the same
for all
horns, but which has a looser solar angle constraint. As might
be expected, WMAP achieves worse polarisation anisotropy than
Planck. Figure 11 shows the
axial ratio distribution for the WMAP V band (patterns in the other
bands are very similar). The detailed structure of the WMAP figure
is largely due to the on-orbit events (safe modes, data edited for
planet crossings etc.), which are not included in our Planck
simulations. However, due to WMAP's observing mode of differencing
beams separated by
1 rad,
data editing has a much larger impact
on WMAP than on Planck: in particular WMAP data
in a beam at high
latitude are flagged when its companion beam is pointing close to the
Galactic plane, which inevitably introduces fine-scale structure into
the coverage pattern.
The Planck simulations discussed here omit irregularities in the ``hit count'', i.e. the number of samples per pixel, caused by the discrete integration time and discretised scanning of the spin axis path. These effects cause random differences in the number of samples from the two matched horns on each scan circle that are assigned to a given pixel, and hence give pixel-scale fluctuations in the error anisotropy with rms 0.02.
7.3 Astronomical check on polarisation calibration
Due to the lack of ground calibration it is important to check the polarisation angle
|
Figure 12:
Scanning the spin axis away from the Ecliptic allows us to obtain
significantly misaligned scan circles even for a source like the Crab
nebula that is sited on the Ecliptic. As in Fig. 1, red
arrows and circles show the spin axis and scan circle, in this case for
the two visits to the Crab in each year (the Crab is at the point just
below the Ecliptic
where the two scan circles intersect). The view is centred at ecliptic
coordinates
|
| Open with DEXTER | |
Each LFI horn will make an independent measurement of the Crab
from the two visits in each year of observations. Optimal fitting to
the
calibrated and background-subtracted time-ordered data will be used;
that is, the known Mueller-matrix beam patterns for each detector
,
synthesised over the band using the known spectral index of the Crab,
will determine
the weight of each sample of the
signal,
and the best-estimate
(Q,U) will be derived by least
squares fitting.
We have simulated the uncertainty in the Crab polarisation
angle from
this process, using the current best estimates for the LFI detector
noise, and nominal background fluctuations with rms [17, 25,
25]
K
at 30, 44, 70 GHz, respectively, for each of Q
and U. The fluctuation
values are upper limits to the signal (as opposed to noise)
fluctuations derived
in annuli around the Crab in the WMAP 5-year maps, for the nearest
frequency channels.
Results are shown in Fig. 13. The primary
variable is the reference phase of the cycloid scanning strategy,
.
The approximate orbit used in our simulations
does not affect the basic geometry, in particular
the phases at which the scan angles become degenerate and hence the
errors diverge, at
and 275
.
For n = 0(forward precession) the major change is
that the scan degeneracies
occur at
and 265
.
Avoiding these bad phases is one of the more significant constraints on
the choice of scan
strategy.
|
Figure 13:
Estimated error in single-horn position angle measurement of the Crab
nebula as a function of cycloid phase |
| Open with DEXTER | |
The figures show that we can obtain precisions of better than 0
5
degrees for about half of the RCAs, with only the three
awkwardly-oriented
RCAs at 70 GHz being significantly worse than 1
.
Where the uncertainty
is approximately constant with
,
the errors are dominated by
our assumed background fluctuations; these are
upper limits
and may be significant over-estimates at 44 and 70 GHz, since
they are
derived from WMAP Stokes Q and U
data at Q, V, and W bands where there
is no secure detection of fluctuations in our background annuli.
These measurements determine the relative orientation of the
feed horn to
the Crab's net polarisation angle
at the effective observing
frequency. This will unambiguously reveal any misalignments between
feeds
in each band, but to give us the desired absolute angle we need
external measurements of
.
Theory tells us that the polarisation
of a synchrotron source such as the Crab will change only very slowly
with frequency in the Faraday-thin regime. Faraday rotation in the
Crab has a mean rotation measure
and
an rms of
(Bietenholz & Kronberg
1991);
this corresponds to rotations of 0
08 at 30 GHz, which we
can indeed
neglect. The remaining effect is that the Crab's net polarisation is
a vector average over the rather tangled polarisation structure of the
nebula; since the spectral index is not exactly the same at all
positions
in the nebula, the weighting in
the average changes slowly with frequency. Fortunately, over the LFI
band
such spectral index variations are remarkably small: Green et al. (2004)
show that the spectral index between 1.5 and 350 GHz varies by
![]()
0.02 over
the bright part of the nebula, which dominates the total flux,
corresponding to a change of weight of typically
![]()
![]()
between 30
and 70 GHz.
The current best direct measurements of the Crab polarisation
in the
LFI frequency range are those from WMAP. Page
et al. (2007) presented
preliminary measurements based on simple aperture photometry, with
typical errors of 1
-3
,
but we estimate that with optimal
fitting, the 5-year data will yield random errors (including
background fluctuations) ranging from 0
14 at K band to 0
9 at W
band. Page et al. estimate that their absolute orientations are known
from pre-launch data to <
;
this systematic uncertainty will
dominate except at W band. Indeed, we have made a fairly simplistic
analysis of the released 5-year data which demonstrates consistency of
the Crab polarisation angle between channels at this level. We intend
to supplement the WMAP results with new ground-based measurements,
but this will require ab initio determination of
the
instrumental polarisation angles, since up to now there has been no
scientific motive to calibrate absolute angles of conventional radio
telescopes to better than ![]()
![]()
.
These observations of the Crab nebula will allow a careful check of our nominal position angles for a subset of RCAs. As discussed in Sect. 3.2, there is some reason to believe that the true angles should be very close to nominal, so only highly significant discrepancies would justify actual revision of the angles stored in the LFI instrument model, which are used for calibration and map-making. However, less significant discrepancies might justify increasing the nominal uncertainties. While the Crab is the only suitable target for linking the polarisation angle calibration to ground-based measurements, observations of bright diffuse polarisation in the Galactic plane may allow relative calibration between horns within each LFI band; in particular this may allow us to transfer accurate position angles at 70 GHz to the three horns for which Crab calibration does not work well.
7.4 Zero levels and destriping
Fundamentally differential experiments like Planck
and WMAP are incapable of determining the absolute zero level in total
intensity. This missing monopole (and also the relatively
ill-determined dipole) is unimportant for CMB anisotropy analysis but
is a significant issue in modelling foreground emission (Eriksen et al. 2008).
The equivalent issue for polarisation is quite
subtle. At first sight there is no problem, since the spin-2 harmonic
expansion
used for polarisation contains no monopole or dipole terms. However,
this
does not prevent Q and U maps
from containing spurious monopoles and
dipoles: harmonic analysis converts these into higher-
components in
E and B. Furthermore, 1/f
noise ensures that the
signal
will indeed contain a large, slowly-varying offset. Planck
observes by
spinning around an effectively fixed axis, completing 30-50 revolutions
at each spin axis position. Averaging the data onto the scan circle
therefore strongly suppresses noise except at harmonics of the spin
frequency. The LFI receivers are designed so that the 1/f noise
is below the
white noise for frequencies less than about 2-3 times the spin
frequency; hence
the major impact of 1/f noise is a large spurious
offset on each scan
circle; in addition there is a spurious dipole of the same order as
that
due to white noise. When binned into a map, the offsets contribute to
all multipoles. Due to symmetries of the scanning strategy, the
resulting
map dipole is an order of magnitude below the monopole.
However, unlike the case of total intensity, the spurious
offset in
does not
render the true zero-level of the sky images unmeasurable, because
of the variation of the orientation of
with respect to the sky coordinates along the scan circle. As a simple
example, consider the case
where
and the spin axis has
,
so that scanning is
along ecliptic meridians (Fig. 14). Suppose
that the offsets measured along the scan at longitudes 0
,
180
(red line) correspond
to a spurious polarisation at the north ecliptic pole as shown by the
black double-headed arrow. This spurious polarisation is
parallel-transported along the scan path, hence giving rise to the red
double-headed arrow at the south ecliptic pole. Now consider the scan
at longitudes -
,
135
(green line). If its offsets give the same spurious
polarisation at the NEP, after parallel transport to the SEP the
orientation is given by the green double-headed arrow, which is rotated
by 90
relative to the offset on the red line; that is the signs of Q
and U are reversed.
|
Figure 14:
Illustration of the interaction between offsets on different
scan circles. Scan circles along ecliptic meridians separated by 45 |
| Open with DEXTER | |
Evidently, in this simple case, the offsets can be determined by taking
the difference of the measured (Q,U)
along the two scans at
the two poles, which gives respectively the sum (south pole) and
difference (north pole) of the offsets on the two scan lines. This
particular arrangement is far from optimal: only of order one beamwidth
of data are used to determine the offset on each scan circle;
furthermore
spurious modes consisting of a mixture of monopole and dipole of the
form
| (37) |
cannot be distinguished from real polarisation structure. For Planck's actual scan strategy, scan circle crossings at substantial angles occur over about
The actual determination of the offsets will be made in the course of iterative destriping, for instance using the MADAM algorithm (Ashdown et al. 2007; Keihänen et al. 2010; Kurki-Suonio et al. 2009; Keihänen et al. 2005).
Based on running MADAM on
simulated 70 GHz data, we estimate that the residual Q
and U monopoles and dipoles due to 1/f
noise are at most
about 3 (for
mHz)
or 2 (for
mHz) times as large as expected from random white noise.
The 44 GHz and 30 GHz detectors have a lower sampling
rate, giving
worse statistics to determine the offsets. Therefore the
residual monopoles and dipoles may be about 25% (44 GHz) and
50% (30 GHz) higher relative to white noise than for
70 GHz.
7.5 Gain calibration
7.5.1 Overview
The primary gain calibration of the LFI against the CMB dipole is discussed by Cappellini et al. (2003). For a scan circle radiusIn addition to the CMB dipole, a strong signal is available at each crossing of the Galactic plane. Unfortunately this has a different spectral shape from the CMB and therefore a different ``colour correction'' (see Sect. 5.2). Further, we do not have accurate prior knowledge of the Galactic brightness at LFI frequencies. Therefore the brightest parts of the Galactic plane will be masked and the remainder modelled and subtracted when deriving gain factors. Similarly, as noted by Cappellini et al., the CMB fluctuations themselves can be a significant source of error, especially during low-dipole periods, if no correction for them is made. Fortunately, calibration errors are a second-order effect, so the CMB fluctuations and high-latitude foregrounds can be mapped with sufficient accuracy to correct for their effect on calibration even before final gain values have been derived.
7.5.2 Analysis of simulations
To assess the impact of random errors in the gain calibration on the polarisation maps, we re-analysed the ``Trieste'' simulations made by Ashdown et al. (2009). These were simulated observations by the Planck 30-GHz system, with a fairly realistic scan strategy in a 1-year survey. In the simulation, the spin axis was fixed for 1-h ``pointing periods'' (actual pointing periods will be shorter on average and have variable lengths). At the two periods of dipole minima, the dipole amplitudes were 0.49 and 0.81 mK, so this is not as asymmetric as the likely flight pattern. The annual dipole was not included but would have made very little difference for the assumed scan strategy. The model sky comprised many components, including polarised Galactic foregrounds, but realism was not a high priority; in particular, the Galactic plane is much too highly polarised in the light of WMAP results.
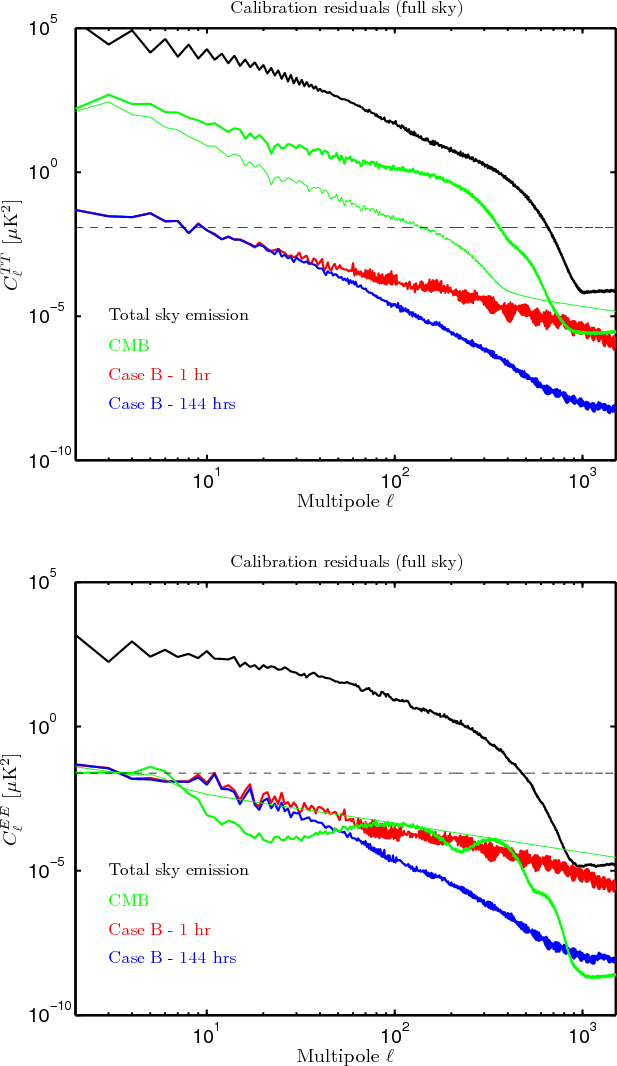
Simulated timelines for foregrounds, CMB, dipole, and noise were prepared separately, facilitating our analysis. We re-scaled the noise to values consistent with those reported by Meinhold et al. (2009), and the calibration procedure was simulated by fitting the dipole+destriped noise to find a gain factor for each pointing period. We refer to this as case B (case A will follow). This does not include the iterative procedure needed to correct for CMB fluctuations and foregrounds. Our error estimates are optimistic, since they do not account for masking of the strong foreground features, in particular the Galactic plane; in general this will affect only a small fraction of each scan circle but it happens to have its largest impact when the dipole signal is weakest, as we see below. Figure 15 shows an example run of estimated gain differences: the increased scatter in March and September is obvious.
|
Figure 15:
Gain error difference
|
| Open with DEXTER | |
We also simulated the impact of ignoring the CMB fluctuations by
fitting
the CMB + dipole + noise to a dipole (case A). As expected the residual
errors were
much larger (
%
vs. 0.3% per hour over the full year), but also as expected,
they are highly correlated between the
main and side arms, since the CMB fluctuations are predominantly
unpolarised;
in fact plots such as Fig. 15 for the two
cases are virtually indistinguishable. This is the term that controls
polconversion (Eq. (9)),
and evidently it is highly
insensitive to errors in modelling the non-dipole emission.
The data for each polarisation of each detector were
multiplied by the appropriate gain factor to simulate random
calibration
errors, and the
and
signal streams were used
to create maps of (I,Q,U),
using the MADAM destriping map-maker
(Keihänen
et al. 2010,2005), as in the original
analysis by Ashdown
et al. (2009).
We also produced and mapped a second set of timelines where the
calibration factors had been averaged for 6 days by simple binning.
Since MADAM
is a linear process it is meaningful to analyse signal-only maps to
isolate
the errors due to miscalibration. Figure 16 shows the
difference between the signal-only maps with and without the residual
gain
errors, for Stokes I and Q.
|
Figure 16: Residual errors due to gain miscalibration in a simulated 1-year survey at 30 GHz. Top: Stokes I with 1-h solution periods for the gains; Middle: Stokes Q; Bottom: Stokes Q using 6-day averaged gains. Stokes U shows a similar pattern. |
| Open with DEXTER | |
As expected for a multiplicative effect, the largest residuals are
along the
Galactic plane. At high Galactic latitudes the systematic variation of
gain precision
is not apparent, because the residuals are proportional to
,
where
I is the local sky signal and is dominated by the
dipole. Since
,
the fractional calibration error, is inversely proportional to the
dipole
signal on the scan circle, the rms value of
does not vary
systematically with ecliptic longitude; instead a strong ecliptic
latitude effect is seen due to the increasing density of scan crossings
in the deep
regions near the poles, mirroring the pattern for white noise.
At low Galactic latitude the situation is different because the strong
Galactic signal is not used for the calibration.
The relatively large gain errors during the two low-dipole periods give
rise to large residuals along the corresponding scan circles,
near ecliptic longitudes 90
from
the dipole direction, which cross the plane at Galactic longitudes of
170
and 350
,
and also cross the bright Orion complex near the anticentre. These
scans cross the plane at a relatively
small angle, so masking the plane will affect a significant fraction of
the
scan length, further degrading the calibration; this awkward geometry
is fixed by the relative orientation of the dipole and the Galaxy.
The amplitudes of the residuals for I and Q
are rather similar, since the Q residuals are
mainly due to polconversion from I and not to
distortion of the true Q signal. The magnitude of
the on-sky
residuals is significantly smaller than the naive estimate of
,
because each pixel contains contributions from several independent
pointing
periods and detectors.
While ideally we would have run a Monte-Carlo series to
characterise
these errors, a single realisation gives a reasonable estimate, given
the 3 million pixels in our map (HEALPix
).
Table 5
characterises the errors at the pixel level by
comparing the residuals (as displayed in Fig. 16) to the
expected white-noise rms in each pixel. Even for 1 h
averaging, the
ratio is almost always much less than unity, rms 3%, with just a few
pixels on the Galactic plane being slightly dominated by gain errors.
Errors at these points are a few tenths of a percent of Stokes I.
Going to 6 days (144 h) averaging does not reduce the rms by
,
but only by a factor of 2-3, since substantial averaging
is already obtained by binning into the sky pixels, as noted above.
These numerical results depend on the chosen pixel size: both the
calibration
residuals and the white noise would be smaller for larger pixels;
however
while the white noise variance is inversely proportional to the number
of samples per pixel, which is proportional to pixel area, for
calibration errors, numerical experiments show that the variance scales
roughly as D-1/2 for 1-h
averaging. (For 6-day averaging
the calibration errors are already correlated on larger scales than
individual
pixels as shown by Fig. 16,
so pixel size has negligible
effect.)
Hence the typical rms values for 1-h calibration in Table 5 should scale
by
.
Since
we expect to use
in the range 256-1024 for LFI maps,
this variation will not alter the conclusion that gain errors are
generally
negligible at the pixel level.
Table 5: Statistics of the ratio of the calibration error residuals (i.e. difference between noiseless maps with and without calibration errors) to the expected white noise variance in each pixel.
The same arguments suggest that gain errors will have their
largest effects
in the
at low multipoles. The simple scaling in the previous paragraph breaks
down when averaging over large regions, because
the calibration residuals decorrelate due to structure in the Stokes Imap
as well as due to variation of the gain errors. Figure 17
shows angular power spectra for temperature and E-mode
polarisation of the gain residuals, for both 1-h and 144-h
solutions. Averaging only has an effect on the residual spectrum at
high
,
because the low-
residuals are driven by
the component of noise fluctuations which are correlated over large
separations
on the sky, and hence over long periods in the time line. Hence
averaging
the solutions has negligible effect at
for
case B (and
at
for case A, where the ``large-scale correlated noise''
is the CMB structure, dominated by the first acoustic peak).
|
Figure 17:
30 GHz angular power spectra of the calibration residuals
compared with the power spectra of the CMB and total sky emission
including foregrounds. Top: temperature;
Bottom: E-mode polarisation. The thick
green line shows the (noiseless) CMB spectrum. The thin green line is
its error (standard deviation) for uniform map weighting, 30% |
| Open with DEXTER | |
On the very largest scales (![]()
10) the rms
calibration residuals slightly exceed the white noise in temperature,
and are very close
to this level in E and B.
This remains true (but less so)
for a WMAP-like Galactic cut. In practice, on these scales the white
noise is smaller than the 1/f residuals which in
turn are likely to
be smaller than residuals from separation of the CMB from
foreground components. Further, cosmological interpretation of the
temperature (but not polarisation)
angular power spectrum at low
is limited by cosmic variance,
which is much larger than both foreground and gain residuals.
Although we have only analysed simulations at one frequency
band, the ratio of gain residual to noise is expected to be essentially
the same at all LFI
bands. Gain residuals are
,
while the rms
is
for one detector (Eq. (23)).
Thus, in the sky maps both gain residuals and white noise scale as
,
and their ratio
fundamentally depends on the ratio of local sky signal to calibration
signal, I/D, which is frequency
independent
in LFI bands because both are dominated by the CMB dipole.
Sect. 5.1
suggests that gain drifts may begin to be significant
on periods of 1 h. Figure 17 shows that if
we calibrate on
this timescale we can reduce the rms calibration errors to well below
the white noise level for
.
Signals below the white noise level
are still detectable by binning
,
and Fig. 17
shows
that in the polarisation spectra, 1-h residuals are close to the
uncertainties
for coarse binning (
),
so we may need to subtract an estimate of the calibration residual
power spectrum to avoid being dominated by this systematic. These will
be generated from monte-carlo analyses, which will automatically take
into account the
expected correlation between gain error residuals and the white noise.
This analysis also shows that gain errors are only important at map
pixel level for the strongest polarisation signals,
namely compact Galactic peaks and the lowest-
diffuse structure. Of course, gain errors can be quantified and
included in the pixel error model.
7.6 Impact of non-ideal beams
CMB map-making conventionally assumes a delta-function beam, and
corrects
for finite-beam effects in the angular power spectrum (
)
using a window function (e.g. Netterfield et al. 2002;
Bond
et al. 1998). Rosset
et al. (2007) analysed the impact of non-ideal
beams on CMB polarisation using a flat-sky approximation observed with
simulated Planck HFI beams at 143 GHz
(which are relatively circular); Ashdown
et al. (2009) studied the same effects
on all-sky data including foregrounds,
using models of the much more
elliptical 30 GHz beams, based on the physical optics
simulations described by
Sandri et al. (2010).
However, Ashdown et al. included only the co-polar patterns. As
discussed above, polconversion is driven by the co-polar beams and so
this effect was well represented, but the
term
depends on the cross-polar pattern (Eq. (12)) and
so was omitted. Because this component rotates the apparent
polarisation
direction on the sky it converts E-mode to B-mode
polarisation.
E-to-Bleakage is also caused
simply by having non-identical beams for Qand U
measurements, even if each beam is perfectly co-polar. As
Fig. 2
shows, Q and U beams for the
LFI differ
significantly in orientation, and Ashdown et al. confirmed that this
caused
substantial distortions in the recovered polarisation spectra in
noiseless
simulations.
As expected from the analysis of Hu
et al. (2003), the distortions are
at multipoles corresponding to the beam scale,
,
and are
especially severe for the extremely faint B-mode
spectrum. However, for the LFI these
are below the white noise level, except for distortions of the
T-E correlation spectrum.
Polarisation distortions due to non-ideal beams also have a substantial
impact around bright polarised sources in the image, such as Galactic
nebulae.
Several procedures have been proposed for correcting these distortions. Rosset et al. (2007) find that, for their relatively symmetric beams, the temperature and E-mode polarisation maps are recovered with little distortion. They therefore use these to predict and correct for the leakage of T and E into the B-mode polarisation.
Ashdown et al.
(2009) describe an extension of window-function methods,
which predicts and corrects the leakage between
temperature, E-mode, and B-mode
in
.
This
methods relies on the statistical isotropy of the polarisation pattern,
while the Rosset et al. approach relies on the polarisation
being dominated
by E-modes;
therefore neither are likely to perform well when applied to data
strongly contaminated by Galactic foreground polarisation. In fact WMAP
shows
that the polarised synchrotron component that dominates at LFI
frequencies
is significantly weaker than
the CMB E-mode on the beam scale, after masking out
the Galactic plane
and other strong features covering
25% of the sky; so these
methods are expected to yield useful results. Nevertheless,
one of Planck's advantages compared to WMAP is
its superior frequency
coverage, which is designed to allow much more accurate foreground
modelling
and subtraction and hence the exploitation of a larger fraction of the
sky
for CMB analysis. Therefore, more effective procedures are desirable to
allow correction of beam asymmetries in regions strongly affected by
foregrounds; of course this is also needed for astrophysical
analysis of foregrounds. Some promise is shown by deconvolution
techniques
such as PReBeaM (Armitage-Caplan
& Wandelt 2009) which aim to recover the
sky convolved with a suitable ``regularising'' beam, i.e. a symmetric
beam comparable in size to the original asymmetric beam. The FICSBell
code of
Hivon and Ponthieu,
mentioned by Ashdown
et al. (2009), obtains a similar effect via map
post-processing rather than incorporation of deconvolution in the
map-making.
A fail-safe approach is reconvolution, in which the data are
interpolated onto the sky grid to yield the sky convolved with the
smallest symmetric beam that contains the actual one. Such techniques
may be useful for constructing accurate foreground
models based on low- and high-frequency channels, which can be applied
as small corrections to conventional maps in the central CMB-dominated
bands.
We do not expect to use deconvolved maps for extraction of CMB power
spectra, since error propagation becomes computationally unfeasible:
for analytic propagation, they correlate the noise between nearby
pixels, vastly increasing the size of the matrices that
need to be inverted; for Monte Carlo analysis (used to account for
residual 1/fnoise in the map), deconvolution
increases the data-to-map processing time by about two
orders of magnitude. (Reconvolution is fast, but sacrifices signal at
high
).
8 Conclusions
We have described the main instrumental parameters that affect the polarisation response of the Planck LFI, as far as they are known at the time of launch. The LFI has the potential to measure the CMB E-mode polarisation power spectrum more accurately than any experiment to date, and will also make high signal-to-noise measurements of the polarisation of the low frequency foreground emission, which is essential for correcting foregrounds in the Planck maps and very likely will also be used to correct maps from future dedicated CMB polarimetry experiments.
In most respects the LFI is an excellent polarimeter with very low systematics. Depolarisation by the optics and by imperfections in the OMTs which separate the orthogonal linear polarisations is almost negligible, and is accurately measured so that it can be corrected with effectively perfect accuracy. Stokes parameters Q and U will be measured with almost equal accuracy at all pixels at 30 and 70 GHz, and with only mild anisotropy at 44 GHz. Relative gain calibration using the CMB dipole is accurate enough that this will be a negligible source of conversion from total to polarised intensity, especially if gains drifts at the 1% level have timescales of months as we suspect; in-flight measurements will quantify such fluctuations and allow us to optimise our gain calibration strategy accordingly.
Some important instrumental parameters have not been definitively measured during the pre-launch campaign and will require on-orbit calibration together with further analysis of the Flight Spare hardware. For example our estimate of the 30 GHz OMT performance between 23 and 27 GHz will be refined based on measurements of the flight spare, and the current bandpass modelling procedure will be checked against improved measurements of the flight spares.
A notable uncertainty is
the effective polarisation angles of the feed horns: while these
are certainly known to the 3
accuracy required for direct observations
of the CMB, in-flight calibration is required to confirm our aspired 0
5 degree accuracy, which would
make the LFI maps
a fundamental resource for foreground correction of future experiments
targeting B-mode polarisation. We have shown that
most LFI feed horns
can be calibrated to this accuracy using the Crab nebula, while global
fits
to the sky polarisation should allow us to transfer this calibration
to the remaining horns.
Some aspects of the data analysis also require further work. Procedures to correct the maps and power spectra from the distortions introduced by non-ideal beams need to be further developed, and will be needed especially at 44 GHz where the off-diagonal components of the beam Mueller matrices can reach several percent. Correction of intensity-to-polarisation conversion due to bandpass errors remains to be demonstrated. Given the uncertainty in the bandpasses it may even be necessary to derive a basic model of the bandpass from the data. These issues are being addressed in end-to-end testing of the analysis pipeline that are currently ongoing.
Appendix A: Integrated beam response
To obtain the appropriate weighting of different frequencies, it suffices to consider a single-mode antenna observing an unpolarised sky, for which the received power is
|
(A.1) |
where A is the effective area of the aperture, Stokes I is measured in intensity units (power per unit frequency per unit solid angle per unit collecting area), and
|
(A.2) |
Following the convention in the GRASP package (Pontoppidan 2005), we define the beam as a dimensionless gain normalised relative to an ideal isotropic antenna
so that
|
(A.4) |
then we have
|
(A.5) |
If the source fills the beam, then
|
(A.6) |
With a top-hat bandpass (g' = 1 over bandwidth
| (A.7) |
Our primary calibration is via the CMB dipole. Considered as a fluctuation against the CMB monopole, its spectrum is the differential of the Planck function,
|
(A.8) |
where
Thus the power received from the dipole is
|
(A.11) |
It is convenient to re-normalise the gain so that
|
(A.12) |
where
To take account of polarisation, first assume an ideal OMT
with zero
cross polarisation, so that
|
(A.13) |
Comparing with Eqs. 11 & 12, we see that, for a single detector (one OMT arm),
where
A non-ideal OMT mixes the response of the two rows of
.
Nevertheless its response can be
put in the form of Eq. (A.14) by
multiplying out the Jones
matrices, evaluating the net response vector
,
and factorising
into a scalar gain and Stokes vector beam
by imposing
the normalisation in Eq. (A.3). However,
the bandpass functions
discussed in the main text do not use this normalisation, but instead
represent the co-polar channel only, i.e.
|
(A.15) |
Appendix B: Effects of the bandwidth on the main beam
Because of the variation of response of the feed horns with frequency
and
the varying ratio of telescope diameter to wavelength, the
main beam shape is expected to be frequency dependent within the
bandwidth of each detector. Here we present main beam
simulations of LFI-27M at frequencies between 27 and
33 GHz; we have also simulated the beam from one RCA in the
other two bands and find a very similar behaviour as frequency varies
within the band. These computations have been carried out in the same
way as the main simulations described in detail by Sandri
et al. (2010). The co-polar
patterns of the feed horn are shown in Fig. B.1, which
also shows two relevant angles: the angle subtended by the lower part
of the
subreflector
,
and the angle beyond which all rays coming from the feed hitting the
subreflector fall in the main spillover region.
Obviously, these two angles depend on the plane considered: in
Fig. B.1
only the E-plane is presented (
in the feed horn coordinate
system, because the feed is Y-polarised).
Figure B.2
reports the corresponding taper at 22
computed in the E-plane, in the H-plane, and in the 45
plane. It is noteworthy that the nominal edge taper for this horn,
(30 dB at 22
,
see Sandri et al. (2010)),
is reached only in the E-plane and that the equalisation of the edge
taper on these three planes is at about 32.5 GHz. In other
words, the maximum pattern symmetry, that corresponds to the minimum
level of cross-polarisation, is reached at this frequency and not at
the central frequency. This is due to the fact that the horn has been
designed taking into account the edge taper requirement on the E-plane
at 30 GHz and no requirement on the pattern equalisation was
imposed.
Table B.1: Main beam characteristics as a function of frequency for the 30 GHz channel, for the Y-polarisation (main arm) of feed horn LFI-27.
|
Figure B.1:
Profiles of the E-plane co-polar pattern of the 30 GHz feed
horn
LFI-27M, at 0.1 GHz intervals between 27 and 33 GHz.
Two relevant angles
are shown: the angle subtended by the lower part of the
subreflector (vertical dotted line at about 49 |
| Open with DEXTER | |
|
Figure B.2:
Feed horn taper at 22 |
| Open with DEXTER | |
A direct consequence of the edge taper variation with frequency is that the mirrors are less illuminated at higher frequency. This effect compensates for the fact that the mirror diameter at higher frequency is greater in terms of wavelength, leading to an almost-constant beamwidth across the band, as shown in Fig. B.3. It is evident from this and subsequent figures that the bandwidth effect on the main beams is not analytically predictable, and instead must be studied via simulations like those presented here. From Fig. B.3 it can be inferred that the beam geometry is hardly changed at least up to -20 dB from the power peak, because the full widths at -3, -10, and -20 dB do not change significantly within the bandwidth. The full patterns at the nominal band edges and averaged over the band are shown in Fig. B.4.
|
Figure B.3: Full width at -3, -10, and -20 dB from the main beam power peak. No significant trend with the frequency is evident from these curves. |
| Open with DEXTER | |
Some relevant main beam characteristics are reported in Table B.1 and shown in
Fig. B.5.
From
these figures it should be noted that: i) the beam directivity
varies
little (total change of about 0.5%) across the band, despite a 10.4%
variation in feed directivity, due to the compensation effect described
above; ii) the cross
polar discrimination factor, XPD, (ratio of peak cross-polar to peak
co-polar power response) is always at least 25 dB,
within the specification; iii) a spread of about 6% is evident
in
the FWHM, following the trend of the edge
taper value; iv) the
spillover initially decreases because the main lobe gets narrower,
then it increases due to the growth of the first sidelobe up to 10 dB
higher, and finally, between 32 and 33 GHz it decreases again
because
the sidelobe gets narrower and the first minimum become more
evident; v) the beam depolarisation
decreases with frequency.
|
Figure B.4: Main beam at 27 GHz (first row), 33 GHz (second row), and averaged main beam over the nominal 27-33 GHz bandpass. (third row). Co-polar pattern is on the left side and cross-polar pattern is on the right side. Colour scale goes from -90 to 0 dB. Contours (dotted) of a fitted bivariate Gaussian are superimposed; the fitted averaged FWHM are 32.09, 33.10, and 32.53 arcmin, respectively. |
| Open with DEXTER | |
|
Figure B.5: Feed horn directivity, main beam directivity, and XPD (top panel), FWHM (central panel), spillover and depolarisation parameter (bottom panel). |
| Open with DEXTER | |
The effective band-averaged beam will be weighted by the bandpass and the brightness spectrum, whereas uniform weights have been used for the patterns analysed here. Weighted-average beams will be used for the final analysis but are not available for this pre-launch analysis since the time-consuming physical-optics simulations required have only been completed for one polarisation of one horn in each band, and only within the nominal passband whereas the actual response is significant over a wider frequency range, as shown by Zonca et al. (2009). The results presented here suffice to show that beamshape variation across the band is a second-order effect, and therefore justifies our separation of bandpass and beam effects on the polarisation in the main text.
AcknowledgementsJ.P.L. thanks Johan Hamaker for a fruitful collaboration (Hamaker & Leahy 2004) which has significantly influenced the presentation in this paper. J.P.L. also thanks the Osservatorio Astronomico di Trieste for hospitality while much of this paper was written. We thank the referee for a perceptive review. The Planck-LFI project is developed by an International Consortium led by Italy and involving Canada, Finland, Germany, Norway, Spain, Switzerland, UK, USA. The Italian contribution to Planck is supported by the Italian Space Agency (ASI). The UK contribution is supported by the Science and Technology Facilities Council (STFC). The Finnish contribution is supported by the Finnish Funding Agency for Technology and Innovation (Tekes) and the Academy of Finland. The Canadian contribution is supported by the Canadian Space Agency. We wish to thank people of the Herschel/Planck Project of ESA, ASI, THALES Alenia Space Industries, and the LFI Consortium that are involved in activities related to optical simulations and the measurement and modelling of the radiometer performance. We acknowledge the use of the Planck sky model, developed by the Component Separation Working Group (WG2) of the Planck Collaboration. We thank the members of the Planck CTP working group for the preparation and validation of the Trieste simulations. Some of the results in this paper have been derived using the HEALPix (Gorski et al. 1999). We acknowledge the use of the Legacy Archive for Microwave Background Data Analysis (LAMBDA). Support for LAMBDA is provided by the NASA Office of Space Science. This research has made use of NASA's Astrophysics Data System. We acknowledge partial support of the NASA LTSA Grant NNG04CG90G.
References
- Armitage-Caplan, C., & Wandelt, B. D. 2009, ApJS, 181, 533 [NASA ADS] [CrossRef] [Google Scholar]
- Ashdown, M. A. J., Baccigalupi, C., Balbi, A., et al. 2007, A&A, 471, 361 [NASA ADS] [CrossRef] [EDP Sciences] [Google Scholar]
- Ashdown, M. A. J., Baccigalupi, C., Bartlett, J. G., et al. 2009, A&A, 493, 753 [NASA ADS] [CrossRef] [EDP Sciences] [Google Scholar]
- Battaglia, P., Francheschet, C., Zonca, A., et al. 2009, JINST, 4, T12014 [NASA ADS] [Google Scholar]
- Berkhuijsen, E. M. 1975, A&A, 40, 311 [NASA ADS] [Google Scholar]
- Bersanelli, M., Mandolesi, N., Butler, R. C., et al. 2010, A&A, 520, A4 [NASA ADS] [CrossRef] [EDP Sciences] [Google Scholar]
- Bietenholz, M. F., & Kronberg, P. P. 1991, ApJ, 368, 231 [NASA ADS] [CrossRef] [Google Scholar]
- Bond, J. R., Jaffe, A. H., & Knox, L. 1998, PRD, 57, 2117 [CrossRef] [Google Scholar]
- Burigana, C., Gruppuso, A., & Finelli, F. 2006, MNRAS, 371, 1570 [NASA ADS] [CrossRef] [Google Scholar]
- Cappellini, B., Maino, D., Albetti, G., et al. 2003, A&A, 409, 375 [NASA ADS] [CrossRef] [EDP Sciences] [Google Scholar]
- D'Arcangelo, O., Figini, L., Simonetto, A., et al. 2009a, JINST, 4, T12007 [NASA ADS] [Google Scholar]
- D'Arcangelo, O., Simonetto, A., Figini, L., et al. 2009b, JINST, 4, T12005 [Google Scholar]
- Davis, R. J., Wilkinson, A., Davies, R. D., et al. 2009, JINST, 4, T12002 [NASA ADS] [Google Scholar]
- Draine, B. T., & Lazarian, A. 1998, ApJ, 494, L19 [NASA ADS] [CrossRef] [Google Scholar]
- Eriksen, H. K., Jewell, J. B., Dickinson, C., et al. 2008, ApJ, 676, 10 [NASA ADS] [CrossRef] [Google Scholar]
- Gorski, K. M., Wandelt, B. D., Hansen, F. K., Hivon, E., & Banday, A. J. 1999, unpublished [arXiv:astro-ph/9905275] [Google Scholar]
- Green, D. A., Tuffs, R. J., & Popescu, C. C. 2004, MNRAS, 355, 1315 [NASA ADS] [CrossRef] [Google Scholar]
- Hamaker, J. P. 2000, A&AS, 143, 515 [NASA ADS] [CrossRef] [EDP Sciences] [Google Scholar]
- Hamaker, J. P., & Bregman, J. D. 1996, A&AS, 117, 161 [NASA ADS] [CrossRef] [EDP Sciences] [Google Scholar]
- Hamaker, J. P., & Leahy, J. P. 2004, A study of CMB differencing polarimetry with particular reference to Planck, Tech. Rep. SCI-A/2003.312/JT, ESA [Google Scholar]
- Hamaker, J. P., Bregman, J. D., & Sault, R. J. 1996, A&AS, 117, 137 [NASA ADS] [CrossRef] [EDP Sciences] [Google Scholar]
- Heeschen, D. S., & Howard, W. E. 1974, in Trans. IAU, Vol. XVB, Proc. 1973 General Assembly, ed. G. Contoupoulos & A. Jappel (Dordrecht: Reidel), 165 [Google Scholar]
- Hinshaw, G., Weiland, J. L., Hill, R. S., et al. 2009, ApJS, 180, 225 [NASA ADS] [CrossRef] [Google Scholar]
- Hu, W., & Dodelson, S. 2002, ARA&A, 40, 171 [NASA ADS] [CrossRef] [Google Scholar]
- Hu, W., Hedman, M. M., & Zaldarriaga, M. 2003, PRD, 67, 043004 [Google Scholar]
- Jarosik, N., Barnes, C., Greason, M. R., et al. 2007, ApJS, 170, 263 [NASA ADS] [CrossRef] [Google Scholar]
- Jones, W. C., Montroy, T. E., Crill, B. P., et al. 2007, A&A, 470, 771 [NASA ADS] [CrossRef] [EDP Sciences] [Google Scholar]
- Keihänen, E., Kurki-Suonio, H., & Poutanen, T. 2005, MNRAS, 360, 390 [NASA ADS] [CrossRef] [Google Scholar]
- Keihänen, E., Keskitalo, R., Kurki-Suonio, H., Poutanen, T., & Sirvio, A.-S. 2010, A&A, 510, 57 [Google Scholar]
- Kogut, A., Dunkley, J., Bennett, C. L., et al. 2007, ApJ, 665, 355 [NASA ADS] [CrossRef] [Google Scholar]
- Kraus, J. D. 1966, Radio Astronomy (New York: McGraw-Hill) [Google Scholar]
- Kurki-Suonio, H., Keihänen, E., Keskitalo, R., et al. 2009, A&A, 506, 1511 [NASA ADS] [CrossRef] [EDP Sciences] [Google Scholar]
- Lamarre, J.-M., Puget, J.-L., Ade, P. A. R., et al. 2010, A&A, 520, A9 [NASA ADS] [CrossRef] [EDP Sciences] [Google Scholar]
- Leahy, J. P., & Foley, K. 2006, Proc.Science, PoS(CMB2006), 043 [Google Scholar]
- Ludwig, A. C. 1973, IEEE Trans.-AP, 21, 116 [Google Scholar]
- Mandolesi, N., Bersanelli, M., Butler, R. C., et al. 2010, A&A, 520, A3 [Google Scholar]
- Meinhold, P., Leonardi, R., Aja, B., et al. 2009, JINST, 4, T12009 [Google Scholar]
- Mennella, A., Bersanelli, M., Seiffert, M., et al. 2003, A&A, 410, 1089 [NASA ADS] [CrossRef] [EDP Sciences] [Google Scholar]
- Mennella, A., Bersanelli, M., Butler, R. C., et al. 2010, A&A, 520, A5 [NASA ADS] [CrossRef] [EDP Sciences] [Google Scholar]
- Morgante, G., Pearson, D., Melot, F., et al. 2009, JINST, 4, T12016 [NASA ADS] [Google Scholar]
- Netterfield, C. B., Ade, P. A. R., Bock, J. J., et al. 2002, ApJ, 571, 604 [NASA ADS] [CrossRef] [Google Scholar]
- O'Dea, D., Challinor, A., & Johnson, B. R. 2007, MNRAS, 376, 1767 [NASA ADS] [CrossRef] [Google Scholar]
- Page, L., Hinshaw, G., Komatsu, E., et al. 2007, ApJS, 170, 335 [NASA ADS] [CrossRef] [Google Scholar]
- Perley, R. A. 1982, AJ, 87, 859 [NASA ADS] [CrossRef] [Google Scholar]
- Pontoppidan, K. (ed.) 2005, GRASP9 Technical Description (Copenhagen: TICRA Engineering Consultants) [Google Scholar]
- Rosset, C., Yurchenko, V. B., Delabrouille, J., et al. 2007, A&A, 464, 405 [NASA ADS] [CrossRef] [EDP Sciences] [Google Scholar]
- Sandri, M., Villa, F., Bersanelli, M., et al. 2010, A&A, 520, A7 [NASA ADS] [CrossRef] [EDP Sciences] [Google Scholar]
- Seiffert, M., Mennella, A., Burigana, C., et al. 2002, A&A, 391, 1185 [NASA ADS] [CrossRef] [EDP Sciences] [Google Scholar]
- Tauber, J. A., Mandolesi, N., Puget, J.-L., et al. 2010a, A&A, 520, A1 [NASA ADS] [CrossRef] [EDP Sciences] [Google Scholar]
- Tauber, J. A., Norgaard-Nielsen, H. U., Ade, P. A. R., et al. 2010b, A&A, 520, A2 [NASA ADS] [CrossRef] [EDP Sciences] [Google Scholar]
- Tinbergen, J. 1996, Astronomical Polarimetry (Cambridge University Press) [Google Scholar]
- Valenziano, L., Cuttaia, F., De Rosa, A., et al. 2009, JINST, 4, T12006 [Google Scholar]
- Villa, F., D'Arcangelo, O., Pecora, M., et al. 2009, JINST, 4, T12004 [NASA ADS] [Google Scholar]
- Zaldarriaga, M. & Seljak, U. 1997, PRD, 55, 1830 [Google Scholar]
- Zonca, A., Franceschet, C., Battaglia, P., et al. 2009, JINST, 4, T12010 [Google Scholar]
Footnotes
- ... mission
- Planck (http://www.esa.int/Planck) is a project of the European Space Agency - ESA - with instruments provided by two scientific Consortia funded by ESA member states (in particular the lead countries: France and Italy) with contributions from NASA (USA), and telescope reflectors provided in a collaboration between ESA and a scientific Consortium led and funded by Denmark.
- ... convention
- As resolved by the IAU (Heeschen & Howard 1974). They specify that Stokes parameters should be defined with respect to equatorial coordinates, which is too limiting in the current context, but we prefer to avoid the confusion caused by reversing the sense of position angle. See also Hamaker & Bregman (1996).
- ... variant
- We use the convention of the GRASP software (Pontoppidan 2005) that the
co-polar component
is parallel to
in the vicinity of the main beam, whereas
Ludwig (1973) had it
parallel to
.
- ... intensity
- This quantity is known by a variety of names, e.g. ``instrumental polarisation'' (Tinbergen 1996); we prefer the unambiguous terminology of Hamaker (2000).
- ...(Hinshaw et al. 2009)
- An alternative approach is to attempt to deconvolve the beam differences; cf. discussion in Sect. 7.6.
- ... spectrum
- We define
as in Meinhold et al. (2009),
not as in Mennella
et al. (2003).
- ...
v1.5
- www.apc.univ-paris7.fr/APC_CS/Recherche/Adamis/PSM/psky-en.php; we used the mamd_dickinson_4comp_pred Galactic model.
- ... 0.99;
- The error model is arranged to avoid
.
- ... simulations
- The major shortcoming is that our simple model omits the variation in sensitivity caused by the slightly different rate of scanning over the Crab on different visits.
- ...

- The usual procedure is to refer all angles to a nominal
value of
33
for 3C 286 (e.g. Perley
1982). This value has been
in use since the mid 1970s, apparently based on an analysis of earlier
absolutely-calibrated data, but no details or uncertainty have been
reported.
- ... values
- The
300
K dipole due
to the satellite's orbital motion around the Sun does not affect this
range as it merely shifts the net dipole along
the Ecliptic without affecting the out-of-plane component which
contributes the residual dipole signal at closest approach.
- ...
antenna
- Hence the beam in dBi is 0.1
.
- ... is
- Here we ignore the contribution of the far sidelobes, see e.g. Burigana et al. (2006).
- ...
subreflector
- In fact, with respect to the feed horn
coordinate system, the lower part of the subreflector is at negative
values, but
the feed horn pattern is symmetric.
- ... depolarisation
- Defined as in Sandri
et al. (2010); in our notation,
.
All Tables
Table 1: Geometric parameters for the LFI focal plane.
Table 2:
Worksheet for estimating the magnitude of polconversion due to bandpass
mismatch in the Planck frequency bands, over the
full sky (``4
'')
and over pixels outside the WMAP KQ85 mask (``Mask'').
Table 3:
Band-averaged cross-polar leakage
and effective rotation
measured for the flight
model OMTs.
Table 4: Key polarisation parameters of the LFI beams.
Table 5: Statistics of the ratio of the calibration error residuals (i.e. difference between noiseless maps with and without calibration errors) to the expected white noise variance in each pixel.
Table B.1: Main beam characteristics as a function of frequency for the 30 GHz channel, for the Y-polarisation (main arm) of feed horn LFI-27.
All Figures
|
Figure 1:
Geometry of spin axis (red arrow directed away from the Sun) and scan
line illustrated on a view of the celestial sphere. The north ecliptic
pole is marked NEP and the vernal point, i.e. the origin of ( |
| Open with DEXTER | |
| In the text | |
|
Figure 2:
Geometry of the LFI beams as projected on the sky. The ellipses
show the half-maximum contour of Gaussian fits to each total intensity
beam, while the crosses show the nominal polarisation orientation
(heavy
lines are the x or side-arm direction). Coordinates
are scan circle
radius |
| Open with DEXTER | |
| In the text | |
|
Figure 3:
Illustration of measurements in the (Q,U)
plane. Each visit to the pixel by each horn measures |
| Open with DEXTER | |
| In the text | |
|
Figure 4:
Plots of effective frequency
|
| Open with DEXTER | |
| In the text | |
|
Figure 5:
Polarisation conversion term due to bandpass mismatch,
|
| Open with DEXTER | |
| In the text | |
|
Figure 6:
Plots of the components of the detector response Stokes vector |
| Open with DEXTER | |
| In the text | |
|
Figure 7:
Images of the beam Mueller matrix for LFI-27 at 30 GHz.
Top row is |
| Open with DEXTER | |
| In the text | |
|
Figure 8:
Images of the beam Mueller matrix at 44 GHz: top: LFI-24,
bottom: LFI-25. The displayed region is 2
|
| Open with DEXTER | |
| In the text | |
|
Figure 9:
Images of the beam Mueller matrix at 70 GHz for LFI-18 (
top) LFI-19 ( middle) and LFI-20 (
bottom). The displayed region is 1
|
| Open with DEXTER | |
| In the text | |
|
Figure 10:
Raw time-ordered side- minus main-arm differenced data (black) taken
during cryogenic testing, plotted over temperature data (red,
normalised, arbitrary units) for a sensor on the 30 GHz horn
LFI-28. In order to show the correlation between the two time series,
the temperature data were shifted forward
by a time lag of 14 s, which had been evaluated by
cross-correlating
the raw and temperature data. This particular test is dominated by
focal plane physical temperature oscillations induced by
the sorption cooler (its 900 s period is clearly visible),
since the
thermal stabilisation system (TSA) was switched off to simulate TSA
failure. These large ( |
| Open with DEXTER | |
| In the text | |
|
Figure 11: Simulated pattern on the sky for the axial ratio of the (Q,U) error ellipse for worst-case geometric assumptions at 30 GHz (top) and 44 GHz (middle). Note that the colour scale for 30 GHz covers only 20% of the range for 44 GHz. Maps are in galactic coordinates. The actual pattern for the WMAP 5-year V band is show at bottom, on the same colour scale as for Planck at 44 GHz. |
| Open with DEXTER | |
| In the text | |
|
Figure 12:
Scanning the spin axis away from the Ecliptic allows us to obtain
significantly misaligned scan circles even for a source like the Crab
nebula that is sited on the Ecliptic. As in Fig. 1, red
arrows and circles show the spin axis and scan circle, in this case for
the two visits to the Crab in each year (the Crab is at the point just
below the Ecliptic
where the two scan circles intersect). The view is centred at ecliptic
coordinates
|
| Open with DEXTER | |
| In the text | |
|
Figure 13:
Estimated error in single-horn position angle measurement of the Crab
nebula as a function of cycloid phase |
| Open with DEXTER | |
| In the text | |
|
Figure 14:
Illustration of the interaction between offsets on different
scan circles. Scan circles along ecliptic meridians separated by 45 |
| Open with DEXTER | |
| In the text | |
|
Figure 15:
Gain error difference
|
| Open with DEXTER | |
| In the text | |
|
Figure 16: Residual errors due to gain miscalibration in a simulated 1-year survey at 30 GHz. Top: Stokes I with 1-h solution periods for the gains; Middle: Stokes Q; Bottom: Stokes Q using 6-day averaged gains. Stokes U shows a similar pattern. |
| Open with DEXTER | |
| In the text | |
|
Figure 17:
30 GHz angular power spectra of the calibration residuals
compared with the power spectra of the CMB and total sky emission
including foregrounds. Top: temperature;
Bottom: E-mode polarisation. The thick
green line shows the (noiseless) CMB spectrum. The thin green line is
its error (standard deviation) for uniform map weighting, 30% |
| Open with DEXTER | |
| In the text | |
|
Figure B.1:
Profiles of the E-plane co-polar pattern of the 30 GHz feed
horn
LFI-27M, at 0.1 GHz intervals between 27 and 33 GHz.
Two relevant angles
are shown: the angle subtended by the lower part of the
subreflector (vertical dotted line at about 49 |
| Open with DEXTER | |
| In the text | |
|
Figure B.2:
Feed horn taper at 22 |
| Open with DEXTER | |
| In the text | |
|
Figure B.3: Full width at -3, -10, and -20 dB from the main beam power peak. No significant trend with the frequency is evident from these curves. |
| Open with DEXTER | |
| In the text | |
|
Figure B.4: Main beam at 27 GHz (first row), 33 GHz (second row), and averaged main beam over the nominal 27-33 GHz bandpass. (third row). Co-polar pattern is on the left side and cross-polar pattern is on the right side. Colour scale goes from -90 to 0 dB. Contours (dotted) of a fitted bivariate Gaussian are superimposed; the fitted averaged FWHM are 32.09, 33.10, and 32.53 arcmin, respectively. |
| Open with DEXTER | |
| In the text | |
|
Figure B.5: Feed horn directivity, main beam directivity, and XPD (top panel), FWHM (central panel), spillover and depolarisation parameter (bottom panel). |
| Open with DEXTER | |
| In the text | |
Copyright ESO 2010
Current usage metrics show cumulative count of Article Views (full-text article views including HTML views, PDF and ePub downloads, according to the available data) and Abstracts Views on Vision4Press platform.
Data correspond to usage on the plateform after 2015. The current usage metrics is available 48-96 hours after online publication and is updated daily on week days.
Initial download of the metrics may take a while.
![\begin{figure}
\par\includegraphics[width=9cm,angle=-90]{12855fg1.eps}
\vspace*{2.5mm}
\end{figure}](/articles/aa/full_html/2010/12/aa12855-09/Timg69.png)
![\begin{figure}
\setlength{\unitlength}{1cm}
\begin{picture}
(9,9)
\put(0,9){\in...
...width=9cm,angle=-90]{12855fg2.eps} }
\end{picture}
\vspace*{2.5mm}
\end{figure}](/articles/aa/full_html/2010/12/aa12855-09/Timg80.png)
![\begin{figure}
\par\setlength{\unitlength}{1cm}
\begin{picture}
(9,9)
\put(-1.8...
...s[width=15cm,angle=0]{12855fg3.eps} }
\end{picture}
\vspace*{2.5mm}
\end{figure}](/articles/aa/full_html/2010/12/aa12855-09/Timg134.png)
![\begin{figure}
\vspace{1mm}
\par\includegraphics[width=9cm,angle=0]{12855fg4a.ep...
...\includegraphics[width=9cm,angle=0]{12855fg4c.eps}
\vspace*{-2.5mm}
\end{figure}](/articles/aa/full_html/2010/12/aa12855-09/Timg201.png)

![\begin{figure}
\par\setlength{\unitlength}{1cm}
\begin{picture}
(18.4,14)
\put(...
...cs[width=7cm,angle=90]{12855fg6d.eps} }
\end{picture}
\vspace*{3mm}
\end{figure}](/articles/aa/full_html/2010/12/aa12855-09/Timg228.png)
![\begin{figure}
\setlength{\unitlength}{1cm}
\begin{picture}
(9,6.8)
%\put(0,0){...
...[width=6.9cm,angle=90]{12855fg7.eps} }
\end{picture}\vspace*{2.5mm}
\end{figure}](/articles/aa/full_html/2010/12/aa12855-09/Timg247.png)
![\begin{figure}
\setlength{\unitlength}{1cm}
\begin{picture}
(9,12.8)
\put(1.4,6...
...ncludegraphics[width=6.9cm,angle=90]{12855fg8b.eps} }
\end{picture}
\end{figure}](/articles/aa/full_html/2010/12/aa12855-09/Timg248.png)
![\begin{figure}
\setlength{\unitlength}{1cm}
\begin{picture}
(9,18.85)
\put(1.4,...
...width=6.9cm,angle=90]{12855fg9c.eps} }
\end{picture}\vspace*{2.5mm}
\end{figure}](/articles/aa/full_html/2010/12/aa12855-09/Timg249.png)
![\begin{figure}
\par\includegraphics[angle=90,width=8cm,clip]{12855fg10.eps}\vspace*{2.5mm}
\end{figure}](/articles/aa/full_html/2010/12/aa12855-09/Timg262.png)
![\begin{figure}
\par\includegraphics[width=5.5cm,angle=90]{12855fg11a.eps}\par\in...
...g11b.eps}\par\includegraphics[width=5.5cm,angle=90]{12855fg11c.eps}
\end{figure}](/articles/aa/full_html/2010/12/aa12855-09/Timg274.png)
![\begin{figure}
\par\includegraphics[width=8cm,angle=-90]{12855fg12a.eps}
\includegraphics[width=8cm,angle=-90]{12855fg12b.eps}\end{figure}](/articles/aa/full_html/2010/12/aa12855-09/Timg281.png)
![\begin{figure}
\setlength{\unitlength}{1cm}
\par\begin{picture}
(8.6,20.7)
\put...
...cludegraphics[width=6.5cm,angle=-90]{12855fg13c.eps} }
\end{picture}\end{figure}](/articles/aa/full_html/2010/12/aa12855-09/Timg291.png)
![\begin{figure}
\par\includegraphics[width=4.6cm,angle=-90]{12855fg14.eps}\end{figure}](/articles/aa/full_html/2010/12/aa12855-09/Timg300.png)
![\begin{figure}
\par\includegraphics[width=9cm,angle=0]{12855fg15.eps}
\end{figure}](/articles/aa/full_html/2010/12/aa12855-09/Timg316.png)
![\begin{figure}
\par\includegraphics[angle=90,width=8.8cm,clip]{12855fg16a.eps}\\...
...\\ [4mm]
\includegraphics[angle=90,width=8.8cm,clip]{12855fg16c.eps}\end{figure}](/articles/aa/full_html/2010/12/aa12855-09/Timg319.png)
![\begin{figure}
\par\includegraphics[width=8.8cm,angle=0]{12855fg17a.eps}\\ [4mm]
\includegraphics[width=8.8cm,angle=0]{12855fg17b.eps}
\vspace*{5mm}
\end{figure}](/articles/aa/full_html/2010/12/aa12855-09/Timg329.png)
![\begin{figure}
\par\includegraphics[angle=90,width=8cm,clip]{12855fgb1.ps}
\vspace*{5mm}
\end{figure}](/articles/aa/full_html/2010/12/aa12855-09/Timg366.png)
![\begin{figure}
\par\setlength{\unitlength}{1cm}
\begin{picture}
(9,6.5)
%\put(0...
...le=90]{12855fgb2.ps} }
%,bb=0 0 558 738
\end{picture}
\vspace*{3mm}
\end{figure}](/articles/aa/full_html/2010/12/aa12855-09/Timg367.png)
![\begin{figure}
\par\setlength{\unitlength}{1cm}
\begin{picture}
(9,6.5)
\put(-0...
...ics[width=7cm,angle=90]{12855fgb3.ps} }
\end{picture}
\vspace*{3mm}
\end{figure}](/articles/aa/full_html/2010/12/aa12855-09/Timg368.png)
![\begin{figure}
\setlength{\unitlength}{1cm}
\begin{picture}
(9,12)
%\put(0,0){\...
...m,bb=85 368 510 740]{12855fgb4f.ps} }
\end{picture}
\vspace*{1.5cm}
\end{figure}](/articles/aa/full_html/2010/12/aa12855-09/Timg370.png)
![\begin{figure}
\par\includegraphics[width=8.5cm,clip]{12855fgb5.ps}
\vspace*{-4mm}
\end{figure}](/articles/aa/full_html/2010/12/aa12855-09/Timg371.png)