| Issue |
A&A
Volume 520, September-October 2010
|
|
|---|---|---|
| Article Number | A31 | |
| Number of page(s) | 16 | |
| Section | Cosmology (including clusters of galaxies) | |
| DOI | https://doi.org/10.1051/0004-6361/200913115 | |
| Published online | 24 September 2010 | |
On the ability of the spectroscopic Sunyaev-Zeldovich effect measurements to determine the temperature structure of galaxy clusters
S. Colafrancesco1,2 - P. Marchegiani2,3
1 - ASI, V.le Liegi 26, 00100 Roma, Italy
2 -
INAF-Osservatorio Astronomico di Roma
via Frascati 33, 00040 Monteporzio, Italy
3 -
Dipartimento di Fisica, Università di Roma La Sapienza, P.le A. Moro 2, Roma, Italy
Received 13 August 2009 / Accepted 14 February 2010
Abstract
Aims. We explore the ability of spatially resolved
spectroscopic measurements of the SZ effect (SZE) to determine the
temperature profile of galaxy clusters. We derive a general formalism
for the thermal SZE in galaxy clusters with a non-uniform
temperature profile that can be applied to both cool-core clusters and
non-cool-core clusters with an isothermal or non-isothermal temperature
structure.
Methods. We develop an inversion technique by means of which the
electron distribution function can be extracted from spectroscopic
SZE observations over a wide frequency range. We study the fitting
procedure to extract the cluster temperature from a set of simulated
spatially resolved spectroscopic SZE observations in different
bands of the spectrum from 100 to 450 GHz.
Results. We present our analysis results for three different
cluster prototypes: A2199 with a low-temperature cool core, Perseus
with a relatively high-temperature cool core, and Ophiuchus with an
isothermal temperature distribution. These results indicate both the
precision of the SZE observations and the optimal frequency bands
required to determine the cluster temperature with similar or better
accuracy than that obtainable from X-ray observations. The precision of
SZE-derived temperature is also discussed for the outer regions of
clusters. Using our method, we also study the possibility of extracting
the parameters characterizing the non-thermal SZE spectrum of the
relativistic plasma contained in the lobes of radio galaxies as well as
the spectrum of relativistic electrons cospatially distributed with the
thermal plasma in clusters that exhibit non-thermal phenomena.
Conclusions. We find that the next generation
SZE experiments, which will have both spectroscopic capabilities
with moderate resolution of a few to tens GHz and imaging
capabilities with spatial resolution of tens of arcsec up to arcmin,
can provide precise temperature distribution measurements over a wide
range of radial distances for galaxy clusters even out to high
redshift.
Key words: cosmology: theory - galaxies: clusters: general
1 Introduction
Galaxy clusters are the largest gravitationally bound container of
diffuse baryons in the universe. These baryons accumulate in the
cluster gravitational potential, which is dominated by cold dark matter
and show, in their hotter phase (i.e. the hot intracluster medium
- hereafter ICM - of temperature
K), a
complex temperature distribution in the cluster atmospheres as
indicated by observations (see, e.g., Arnaud 2005, for a review;
Pratt et al. 2007, for XMM-Newton results; Ehlert & Ulmer 2009,
for Chandra results; Sato et al. 2009, for Suzaku
results) and numerical simulations (see Borgani et al. 2008, for a
review).
Spatially resolved studies of the ICM temperature distribution in
galaxy clusters are crucial for both astrophysical and
cosmological applications since these studies provide information
about the thermodynamic state of the ICM, allowing us to measure the total
mass of these systems by means of the hydrostatic equilibrium equation
(see e.g. Arnaud 2005; Colafrancesco & Giordano 2007) and
to place constraints on the cosmological parameters
by studying the
cluster population evolution.
On the cosmological side, once the gas mass is determined from X-ray observations in the deprojection or fitting analysis (see, e.g., Fabian et al. 1981; Ettori & Fabian 1999) and the total mass is estimated by means of the hydrostatic equilibrium condition, it is possible to derive the cluster gas mass fraction that can be used to constrain the cosmological density parameter, if combined with primordial nucleosynthesis calculations (e.g., White et al. 1993; Ettori et al. 2009). Cosmological applications of the cluster population evolution require precise measurements of the cluster temperature and of the correlation between temperature and other relevant physical quantities, to describe correctly the cluster population (total mass, luminosity, Compton parameter, number counts, redshift distribution, luminosity function). If well calibrated, the slope and evolution of cluster scaling relations, such as gas mass versus temperature (e.g., Colafrancesco & Vittorio 1994; Colafrancesco et al. 1994, 1997; Voit 2000; Finoguenov et al. 2001) and cluster size versus temperature (e.g., Colafrancesco et al. 1997; Mohr et al. 2000; Verde et al. 2001), can also be used to constrain cosmological and structure formation models.
On the astrophysical side, the precise determination of important quantities such as entropy, pressure, and - based on the assumption of hydrostatic equilibrium - the total cluster mass, is dependent on an accurate estimation of the temperature profile. Accurate temperature profiles are fundamental in determining the gas entropy distribution (see Lloyd-Davies et al. 2000, and references therein), which is a powerful tool for exploring the role of non-gravitational processes that could alter the specific thermal energy in the ICM (Kang et al. 2007; Colafrancesco & Giordano 2006, 2007; for a review see Colafrancesco 2008a), assessing the structure of cool cores and their surrounding atmosphere to probe the interplay of non-thermal and thermal particle distributions in clusters (e.g., Colafrancesco et al. 2004; Guo & Ho 2008; Colafrancesco & Marchegiani 2008, and references therein), and assessing the amount of non-thermal (point-like and/or diffuse) emission mechanisms detectable in the hard X-ray domain (see discussion in Colafrancesco & Marchegiani 2009).
The standard methodology for recovering the ICM temperature
distribution uses high resolution spectroscopic X-ray
observations (XMM, Chandra, Suzaku and previously ROSAT, ASCA, and
BeppoSAX).
These observations provide the key measurable characteristics of
the ICM, i.e., the temperature and density of this plasma. Because
of limited photon statistics, the density and temperature are
usually measured in terms of radial profiles (see, e.g., Pratt et al. 2007). However, while the density of the ICM is relatively
easy to measure from the surface brightness profile of a galaxy
cluster, precise temperature determination requires high photon
statistics to build, and fit, a spectrum. Therefore, ICM
temperature profiles are typically determined with considerably
lower spatial resolution than density profiles. The measurement of
radial temperature profiles is complicated by the density squared
dependence of the thermal bremsstrahlung X-ray emissivity,
.
The steep drop
in the X-ray surface brightness with distance from the centre,
combined with the background from cosmic, solar, and instrumental
sources, makes, hence, accurate X-ray measurement of the
temperature distribution at large distances from the cluster
centre a technically challenging task (see discussion in Pratt et al. 2007).
The ICM temperature can alternatively be measured by using the
inverse Compton scattering of CMB photons off thermal electrons
residing in the cluster atmosphere - the Sunyaev-Zel'dovich
effect (SZE; see Sunyaev & Zel'dovich 1980; Birkinshaw 1999;
Colafrancesco 2007, for reviews). This effect provides a CMB
temperature change
that depends on the cluster temperature
- i)
- the minimum in its intensity located at the frequency
where
,
whose value depends
weakly on the electron spectrum (i.e. on
and
)
and
equals
2.26;
- ii)
- the crossover frequency, x0, whose value depends on the
electron pressure/energy density and optical depth
where
and
,
and is found at a
frequency > 3.83 for increasing values of
(the value
is found in the non-relativistic limit, or in the
limit
);
- iii)
- the maximum of its intensity located at the frequency
which depends sensitively on the electron population and its energy (momentum) spectrum (see Dolgov et al. 2001; Colafrancesco et al. 2003, 2009, for the case of electrons with a thermal spectrum; see also Colafrancesco et al. 2003; and Colafrancesco 2004, 2005, 2007, 2008b, for the case of electrons with different spectra).
The linear dependence of the SZE temperature change
on the electronic density
and temperature
(see Eq. (1)) makes it possible - in addition - to enhance the
sensitivity of the SZE measurements in the outer regions of the
cluster while maintaining adequate sensitivity in the
inner parts.
Therefore, SZE observations could provide a more uniform and
spatially extended coverage of the temperature profile in galaxy
clusters than X-ray observations.
Almost nothing is known about cluster temperature profiles
obtained directly from SZE observations. Present-day and planned
SZE observations from both ground-based experiments (multi-band
bolometers and interferometers) or upcoming space-borne experiments
(e.g., OLIMPO and Planck) require complementary X-ray observations
to place tight constraints on the cluster temperature, even though a
somewhat more moderate precision on cluster temperature seems to
be sufficient to achieve a reasonable statistical knowledge about the
CDM power spectrum, in particular
(Juin et al. 2007).
In this context, we emphasize that the use of X-ray
observed quantities in the SZE data analysis is, however, a
delicate procedure, because the SZE-derived temperature is
weighted by the Compton parameter y.
For instance, it is known that
the derived peculiar velocity is systematically shifted by
for this reason (see e.g., Hansen 2004).
While observations of the SZE are becoming increasingly accurate (e.g., De Petris et al. 2002; Battistelli et al. 2003; Halverson et al. 2009; Staniszewski et al. 2009), most analyses of SZ data are still based on the simplifying assumption of isothermality, or a single temperature plasma. Several studies have also considered the ability of future SZ observations to extract the cluster physical parameters (see, e.g., Knox et al. 2004; Aghanim et al. 2005), but always based on the assumption of isothermality.
A desirable solution with the SZE observations is to achieve simultaneous good angular resolution and high sensitivity to deproject the SZE signal properly throughout the entire cluster atmosphere.
We aim to develop an operational procedure to extract the fundamental parameters of the electron populations that produce the SZE, in both thermal and non-thermal plasmas. By applying this procedure, we identify the main instrumental characteristics required to achieve the scientific objectives of the SZE study that we propose to perform.
We discuss a strategy that is more effective in obtaining spatially-resolved temperature measurements based only on SZE observations. This strategy relies on the following data being available: i) spatially resolved spectral measurements of the cluster temperature; ii) measurements of the temperature profile over a wide spatial range to differentiate the cool core region from the outer cluster atmosphere (or regions of different temperature in the overall atmosphere); iii) detailed and independent temperature measurements of wide frequency band coverage and sufficient spectral resolution.
With the same strategy, we also determine whether we can extract the basic parameters of a non-thermal plasma producing a non-thermal SZE that might add to or differ from the thermal SZE produced in a galaxy cluster.
The outline of the paper is as follows. We describe the general theory of the SZE in Sect. 2, and we generalize this theory to the case of clusters with non-uniform T-profiles, such as cool core clusters, in Sect. 3. We describe a fitting procedure for spatially resolved spectroscopic SZE observations in Sect. 4, where we first discuss the case of the thermal SZE in the reference case of the A2199 cluster. The analysis of the non-thermal SZE and the combination of thermal and non-thermal SZE are also discussed, for completeness, in Sect. 5. The non-thermal SZE is important both for the intrinsic study of non-thermal and/or relativistic plasmas in clusters and in determining their role as biases in the study of the thermal plasma (i.e. the ICM). We present in Sect. 6 the application of our study for two specific galaxy clusters: Perseus, which has a cool core, and Ophiuchus, which is approximately isothermal. We discuss our results and summarize our conclusions in the final Sect. 7.
Throughout the paper, we use a flat, vacuum-dominated
cosmological model with
,
,
and H0 = 70 km s-1 Mpc-1.
2 The SZE: theory
To derive a SZE expression that is applicable to a galaxy cluster with spatially varying density and temperature, we need to recall the general SZE formulae.
We use the formalism presented by Wright (1979), and developed subsequently by Birkinshaw (1999), Enßlin & Kaiser (2000), and Colafrancesco et al. (2003).
We note that B
hm & Lavalle (2009) proposed a
covariant formalism for the SZE, claiming, erroneously in the
first version of their study, that the formalism presented in
Wright (1979) and developed by other authors was
incorrect. We verified (both numerically and analytically)
that the two approaches, in the Thomson limit, are fully
equivalent and provide the same results (see Appendix A for
details). In addition to our verification, Nozawa & Kohyama
(2009) also showed analytically that the two approaches are
fully equivalent, pointing out the errors made by B
hm &
Lavalle (2009).
The analytic expression for the upscattered CMB spectrum is
where
with
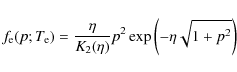
The function P(s) is given by the following expression
|
(7) |
where
is the electron optical depth and
where the symbol
The function
| (11) |
where
Our aim is to invert Eq. (5) and derive the spectral and spatial parameters of the electron distribution from measurements of the SZE only. We derive an analytical solution to this problem, while in Sect. 4 we present a numerical procedure.
The expression for
given by a first order approximation in
is
| (13) |
where
|
(14) |
Thus, by using Eq. (10), we can write
where
|
(16) |
By introducing the definitions
| |
|
(17) | |
| (18) |
the previous Eq. (15) is given by
|
(19) |
whose formal solution is given by
with
|
(21) |
where
3 The SZE for a galaxy cluster with a radial temperature profile
To apply the formalism described in Sect. 2 to a cluster with a spatially varying temperature and density profiles (i.e., a cluster with a cool core or a non-isothermal cluster), we must consider that:
- Eqs. (5)-(9) still hold. In particular, the expression for the optical depth remains the same because it depends only on the gas density profile and not on the cluster temperature;
- the expression for the function P(s), and its series expansion
in terms of powers of
,
remains formally unchanged, because
it determines the probability that a CMB photon experiences a (logarithmic)
change in the frequency
after traversing the
whole cluster;
- the expression for the function P1(s)(i.e. Eq. (10)) must be changed. The expression
given in Eq. (10) assumes that the electron momentum
distribution function
is the same throughout the cluster
atmosphere. This assumption is incorrect for a cluster with a
cool core (or a non-isothermal cluster) since its temperature, and
hence the electron momentum distribution, changes with the cluster
radius.
By describing the thermal electron density as
| (22) |
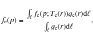
it is possible to derive the average density-weighted momentum distribution along the line of sight
where
and
The function
|
= |
|
|
| = |
|
(26) |
where we use Eq. (25).
We can, therefore, rewrite Eq. (10) for a cluster with a
generic temperature distribution by using the averaged electron
momentum distribution
where
4 Fitting procedure: the thermal SZE
Equation (20) cannot be easily solved by analytical
methods. We therefore describe a numerical
procedure that can derive the cluster
temperature profile from observations of the SZE of
appropriate spatial and spectral resolution.
We consider an instrument that is able to provide
high quality SZE spectra in the frequency range
100-500 GHz obtained with a spatial resolution of
arcmin
or less. We discuss the feasibility of such
spatially-resolved spectral observations in Sect. 7.
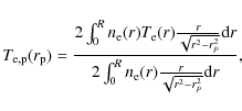
The quantitative analysis that we present in the following refers to the specific case of the cluster A2199 that has a cool core.
We simulate the thermal SZE observation of the cluster A2199 with parameters (density and temperature) taken from the available X-ray observations, and extract the best fit values of the ICM temperature and optical depth from the simulated SZE observations. We consider, for convenience, the first-order approximation to the thermal SZE, and we discuss in Sect. 5 the consequences of using this approximation. The temperature profile obtained from SZE measurements taken at various cluster radii is then deprojected based on the constraint (prior) that the density profile derived from SZE observations is consistent with that inferred from X-ray measurements; we use this procedure, which assumes the X-ray density prior, to ensure a fast enough computing time and allow us to explore the cluster in detail. We note, however, that the density constraint is not necessary, in principle, because the cluster density profile can be obtained, self-consistently, from the optical depth profile measured from SZE observations. This fully consistent procedure requires, however, much longer computing times since the number of free parameters to be fitted to the observations is larger.
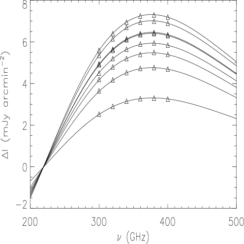
|
Figure 1: The SZE spectrum obtained for the cluster A2199 at different projected radii is shown with the frequency sampling derived, for each curve, with a 0.1% uncertainty. From top to bottom, curves refer to projected radii of 0, 5, 10, 15, 20, 30, 50, and 100 kpc. Note that spectra for 10 and 15 kpc are almost superimposed because beyond this radial distance the IC gas temperature measured by Chandra decreases with increasing radius (Johnstone et al. 2002). |
| Open with DEXTER | |
|
Figure 2: The radial profile of the projected temperature ( top panel) and optical depth ( bottom panel) as derived from the fit to the SZE spectra using data sampled in the frequency range 300-400 GHz with uncertainty of 0.1% (see Fig. 1). |
| Open with DEXTER | |
For the reference case of A2199 that we now discuss,
our analysis included the following steps:
i) we considered X-ray information on A2199 available from Chandra
observations (Johnstone et al. 2002);
ii) using the density and temperature profiles derived from X-ray
observations, we calculated (using the procedure described in
Sect. 3 above) the SZE spectrum at eight different projected radii
from the cluster center, i.e.,
,
5, 10, 15, 20, 30,
50, and 100 kpc, where 1 kpc corresponds to
1.67 arcsec at the
redshift z = 0.03 of A2199;
iii) for each radial bin, we sampled the calculated SZE
spectrum at six different frequencies in the range 300-400 GHz,
which is the most sensitive part of the SZE spectrum to the cluster
temperature, i.e.
300, 320, 340, 360, 380 and 400 GHz (see
Fig. 1); iv) for each radius, we fitted the six frequency SZE data with a
relativistic model of the thermal SZE leaving free two parameters,
i.e.
and
,
and assuming for each experimental data
point an uncertainty of
(we also consider below the
case of 1% data uncertainty, for comparison). For each projected
radius, this fitting procedure yields a value of the
projected temperature and optical depth (see Fig. 2);
v) to deproject the fitted temperature profile, we
assumed a 3-D theoretical temperature profile of the form
(see e.g. Piffaretti et al. 2005). To decrease the number of free parameters in the fit we assumed the ICM density profile
where R is the cluster radius (and it is R=200 kpc for the case of A2199). Assuming the value of
|
Figure 3: The deprojected temperature profile curve (solid) derived from SZE spectral data is compared to the deprojected temperature data obtained from X-ray observations of A2199 (Johnstone et al. 2002). |
| Open with DEXTER | |
The previous fitting procedure was repeated assuming
that the SZE observations sampled from Fig. 1 have an uncertainty of
.
The radial
profile of the projected temperature obtained in this case is
shown in Fig. 4. In this case, the
deprojection of the temperature profile using the template given
in Eq. (28) does not provide an acceptable fit.
We therefore conclude that an uncertainty of order of
in the
SZE data is too large to derive a detailed profile of the ICM
temperature in clusters like A2199.
|
Figure 4: The projected temperature profile obtained from the fit to SZE spectra using data points sampled in the 300-400 GHz range and assuming an uncertainty of 1%. |
| Open with DEXTER | |
The entire fitting procedure was repeated by sampling the SZE
observations in the low-frequency range 100-200 GHz (
,
120, 140, 160, 180, 200 GHz) in which the SZE spectrum is,
however, much less sensitive to the cluster temperature.
In this case, we find that, even assuming uncertainties of 0.1%, it is impossible to reproduce satisfactorily the
radial profile of the projected temperature derived from the
fit by using the template in Eq. (28) (see
Fig. 5). This is because - as already emphasized -
the shape of the SZE spectrum at low frequencies is less sensitive
to the cluster temperature than the shape of the high-frequency
part of the SZE spectrum. We therefore conclude that, to
obtain detailed information about the cluster temperature profile,
one must use high-frequency spectral observations of the SZE in
the range 300-400 GHz. This is crucial when designing the strategy
behind SZE observations with the goal of
deriving strong constraints on the fundamental parameters of the
cluster.
|
Figure 5: The projected temperature radial profile obtained from the fit to the SZE spectral data by using data points sampled in 100-200 GHz range and assuming uncertainties of 0.1%. |
| Open with DEXTER | |
In the frequency range 200-300 GHz, which contains the null of
the thermal SZE, the kinematic and/or the non-thermal SZE might
produce significant additional contributions to the overall SZE.
Therefore, in this frequency range, the analysis that we have
performed in this section should be performed at a later stage,
only after we have estimated the main parameters of the cluster gas,
and
,
by using the SZE measurements in the high-frequency range,
300-400 GHz (see Sect. 5.2), which are much less sensitive to the
biases caused by the superposition of the kinematic and
non-thermal SZE.
5 Fitting procedure: the non-thermal SZE
We simulate the fitting procedure of a non-thermal SZE produced in an extended source such as a cluster radio halo or the lobes of a radio galaxy (see e.g. Colafrancesco 2008) and we consider the effects of the variation in the parameters of the non-thermal electron spectrum on the relative non-thermal SZE.
We first study the spectral shape of the non-thermal SZE as a
function of the electron spectral parameters. We
use an arbitrary normalization in which the amplitude of the SZE
at its minimum is set to be equal to -1, and we vary the
parameters of the electron spectrum. Figure 6 shows
the SZE spectrum for a single power-law spectrum
|
(30) |
(here
|
Figure 6: The non-thermal SZE spectrum, normalized to its minimum amplitude is shown as a function of the minimum momentum p1 of the electron spectrum. We assume here a single power-law spectrum with power-law index s1=3.0. |
| Open with DEXTER | |
We show in Fig. 7 the case of a double
power-law spectrum
where s1=0.1,
|
Figure 7:
The non-thermal SZE spectrum, normalized to its
minimum amplitude is shown as a function of the minimum momentum
p1 of the electron spectrum. We assume here a double power-law spectrum with
s1=0.1, s=3.0, and
|
| Open with DEXTER | |
|
Figure 8: The non-thermal SZE spectrum, normalized to its minimum amplitude is shown as a function of the spectral index s1 of the electron spectrum. We assume here a single power-law spectrum with p1=1. Curves are for s1= 3 (solid), 2.5 (dashed), and 3.5 (dot-dashed). |
| Open with DEXTER | |
Figure 8 shows the changes in the SZE spectrum when
we consider a single power-law with p1=1 as a function of the
spectral index s1: the shape of the SZE
spectrum is more sensitive to the shape of the electron spectrum
at frequency
GHz.
Figure 9 shows the variation in the SZE spectrum as
a function of the spectral index s2 for a double power-law
spectrum: the dependence on the electron spectrum
index is quite weak for the whole frequency range considered.
|
Figure 9:
The non-thermal SZE spectrum, normalized to its
minimum amplitude is shown as a function of the spectral index s2 of the electron spectrum.
We assume here a double power-law spectrum with p1=1, s1=0.1 and
|
| Open with DEXTER | |
After illustrating the dependence of the SZE spectrum on the electron spectrum parameters, we discuss the procedures by which we can recover the physical parameters of the non-thermal electron spectrum from the SZE observations. We consider here two cases: i) a pure non-thermal electron population with a power-law spectrum (a situation applicable to radio galaxy lobes, see e.g. Colafrancesco 2008b); ii) a combination of thermal plus non-thermal electron population with a double power-law spectrum (a situation applicable to galaxy clusters with non-thermal phenomena, see e.g. Colafrancesco et al. 2003).
5.1 The case of a single power-law spectrum
We describe how to derive the parameters of an electron population with a single power-law spectrum, assuming that this is the population principally responsible for the SZE production.
Following the procedure previously outlined for the thermal
SZE in Sect. 4, we sampled the calculated non-thermal SZE
produced at different projected radii and at six different
frequencies in the range 300-400 GHz, where, as previously
noticed, the shape of the SZE is most sensitive to the
physical parameters of the electron spectrum.
The non-thermal emission region was assumed, for simplicity,
to have spherical symmetry, a radius of 50 kpc, and an
electron spectrum
where we assume s1=3.0, p1=3, k0=10-2 cm-3, and a radial distribution of the electron population given by
with
In the fitting procedure, we fixed the spectral
index of the electron spectrum s1, because it can be derived
from radio observations, and we fit the simulated observations
with two free parameters: the optical depth
and the minimum
momentum p1. We note that we did not need to assume the parameter s1derived from radio data, because, with
adequate frequency coverage, it can be derived from
the SZE data alone; this assumption is made for the sole purpose
of reducing the numerical computation time.
|
Figure 10: The non-thermal SZE spectrum evaluated at various projected radii and frequency sampling (see text for details) with data uncertainty of 0.1%. Curves are, from bottom to top, for projected radii of 0, 5, 10, 15, 20, 30, 40 kpc. |
| Open with DEXTER | |
|
Figure 11: The radial profile of the optical depth as obtained from the fit to the SZE spectra b using data sampled in the range 300-400 GHz with uncertainty of 0.1% (see Fig. 10). |
| Open with DEXTER | |
The SZE intensity at
different radii and the relative sampling are shown in
Fig. 10.
The behaviour of the optical depth at different projected radii,
as derived by the fitting procedure, is shown in Fig. 11. Our analysis recovers the input value
(see Eq. (32)) at all considered
projected radii.
To deproject the optical depth radial distribution and
derive the radial profile of the electron density, it is sufficient
to fit the optical depth profile with the density profile given in Eq. (33) and integrate along the line of sight. The
deprojection procedure yields
cm-3,
kpc, and
,
which
are consistent, within the errors, with the input values that we
used in the simulations.
We emphasize that the previous analysis of the SZE spectral measurements allowed us to derive directly the density profile and the spectral shape of the electron distribution in the radio galaxy lobes. Therefore, the combination of SZE spectral measurements and the measurement of the low-frequency radio emission allows us to break the degeneracy affecting synchrotron emission between the electron density and the magnetic field and eventually yield a precise measure of the magnetic field in radio galaxy lobes (see also Colafrancesco 2008b).
5.2 The case of thermal plus non-thermal populations
We consider a combination of a thermal electron distribution
that reproduces the A2199 cluster data and an additional non-thermal
electron spectrum with a double power-law spectrum, as in
Eq. (31), with parameters s1=0.1,
s2=3.0, p1=1, and
.
For the radial (thermal and non-thermal) components, we consider the
density profile given in Eq. (33) with parameters
kpc
and
.
These parameters accurately reproduce the density profile of A2199
obtained from X-ray observations (see discussion in Sect.4).
A non-thermal electron spectrum similar to a double power law is
expected in galaxy clusters because the non-thermal electrons of
relatively low energy lose energy by means of Coulomb interactions
with the thermal IC gas, and these energy losses
flatten the electron spectrum at low (
150 MeV)
energies (see, e.g., Colafrancesco & Marchegiani 2008, 2009, for a
discussion).
We do not follow a strategy identical to that described in
previous sections, in that we do not perform a fit to the sampled
points because this procedure would involve too many free
parameters (i.e., those of both the thermal and the non-thermal
electron populations). We instead focus on the spectral regions
where the non-thermal SZE is expected to be more relevant and
therefore can be measured. For this purpose, we compare the
non-thermal SZE spectrum with both the thermal SZE spectrum,
calculated both at first order in
and with second order
corrections (see Sect. 2 and Colafrancesco et al. 2003, for more
details), and the spectrum of a possible SZ kinematic effect. The
spectral regions where the non-thermal SZE could be most reliably
estimated are i) the frequency range around the minimum of the SZE
(at
GHz), because all amplitudes are basically
proportional to the optical depth of the relative electronic
population; and ii) the frequency range around the crossover
frequency of the thermal SZE (at
GHz), because the
thermal SZE is by definition null at this frequency, leaving hence
visible the (negative in sign) non-thermal SZE.
We note that an upper limit to the non-thermal electron density
can be derived, after fixing their spectral shape, by requiring
that the non-thermal pressure does not exceed the thermal one
(see discussion in Colafrancesco et al. 2003).
Figure 12 shows the ratio of the non-thermal
SZE to the thermal SZE in the case
at the
cluster center: this case can be considered as an upper limit to
the contribution of the non-thermal component to the total SZE.
Figure 13 shows the spectrum of the thermal
and thermal plus non-thermal SZE in the frequency ranges 100-200 GHz and 300-400 GHz.
The ratio of the non-thermal to the thermal SZE is large only in
the region around
GHz, where the thermal SZE has its
crossover and where, consequently, the total SZE is dominated by
the non-thermal component. For
GHz, the non-thermal SZE
is ![]()
of the thermal one, while for
GHz, the
ratio becomes very low, of order of
or even
less.
Two conclusions can be derived from these results:
1) in the frequency range 300-400 GHz, which is optimal for deriving
precise information about the thermal SZE, the non-thermal component
does not provide a contribution that jeopardizes the precision of
the measurements;
2) at lower frequencies, around 200 GHz, the contribution of the
non-thermal component is more relevant but, to measure
this component, we must differentiate it from the thermal one.
A possible observational means of separating the non-thermal
effect from the thermal one consists of measuring the thermal
SZE in the frequency range 300-400 GHz and deriving the IC gas
physical parameters, as shown in Sect. 4. Then, once the thermal SZE
parameters are fixed, it is possible to measure the SZE in the
frequency range 100-200 GHz and derive the parameters of the
non-thermal population that, in this frequency range, produce a
contribution to the total SZE of order of ![]()
(see Figs. 12 and 13): such a SZE
amplitude is measurable if measurements have an uncertainty no
greater than ![]()
.
|
Figure 12:
The frequency dependence of the ratio of the non-thermal SZE
(we assume a double power-law spectrum with
s1=0.1, s2=3.0, p1=1, and
|
| Open with DEXTER | |
|
Figure 13:
The thermal (solid curve) and thermal plus non-thermal
(dashed curve) SZE evaluated at the center of A2199. The non-thermal electron
population has a double power-law spectrum with parameters
s1=0.1, s2=3.0, p1=1, and
|
| Open with DEXTER | |
To precisely determine the cluster parameters, we must
take into account the contribution of the thermal SZE evaluated at
second order in
,
which can be calculated in detail once the
main parameters of the IC gas are known (see Colafrancesco et al.
2003, for details). The modifications induced by the second order
effect, compared to both the non-thermal SZE and the
first-order thermal SZE, are shown in Fig. 14.
The frequency range 300-400 GHz is the optimal
frequency window for extracting the thermal SZE parameters, and its
second-order correction to the thermal SZE is less than 30% of
the non-thermal SZE and less than 0.1% of the first-order
thermal SZE. Hence, we can conclude that the total SZE can be
adequately approximated, in this frequency range, only by the
first-order thermal SZE. In the frequency range
100-200 GHz, where the non-thermal effect can be measured, the
second order correction to the thermal effect is ![]()
of the
non-thermal effect, so that the second order correction can also be
neglected for this purpose.
|
Figure 14:
Upper panel: the frequency dependence of
the absolute value of the ratio of
the second order correction to the thermal SZE at the center of
A2199 to the non-thermal SZE of an electron population that has a
double power-law spectrum with parameters
s1=0.1, s2=3.0, p1=1, and
|
| Open with DEXTER | |
We also consider now the possible contribution of a kinematic SZE,
whose amplitude is maximal at frequencies close to the crossover
frequency of the thermal SZE, i.e. at
GHz. Figure 15 shows the ratio of the kinematical to the
non-thermal SZE (upper panel) and the ratio of the kinematical to
the thermal SZE (lower panel) for a receding cluster with peculiar
velocity of 1000 km s-1. In the frequency range 300-400 GHz,
the result is that the kinematical contribution is a small fraction
(![]()
)
of the non-thermal SZE, and less than 0.1% of
the thermal one. Therefore, the kinematical SZE can also be
neglected in this frequency range.
Figure 15 also shows that in the range 100-200 GHz the kinematical SZE is less than 10% of the non-thermal SZE.
However, if the non-thermal electron population were to have a pressure
,
then the non-thermal and kinematical SZE
would be comparable (based on the assumption of
km s-1); in this case, however, these signals would be
indistinguishable from the thermal one (for reference see Figs. 12 and 13 upper panel, in
which we show the case
).
|
Figure 15:
Upper panel: the frequency dependence of
the absolute value of the
ratio of the kinematic SZE for a value of the peculiar
velocity of
|
| Open with DEXTER | |
Our results can be summarized as follows:
- i)
- in the frequency range 300-400 GHz, the first order thermal SZE
is a good approximation of the total SZE (all the corrections are

).
- ii)
- in the frequency range 100-200 GHz, if the non-thermal contribution is strong, it dominates over the kinematic one. If, instead, the two SZE contributions are comparable, then they cannot be easily differentiated from the thermal one. Hence, if deviations from expected thermal SZE are measured in this frequency range, they should be of non-thermal origin;
- iii)
- at
GHz (i.e. the crossover frequency of
thermal SZE) alone, the kinematic SZE, the non-thermal SZE and the second
order thermal correction are important with respect to the first
order thermal effect. To differentiate between the three different
contributions, it is important to place constraints on the thermal
and the non-thermal parameters by performing precise observations
in frequency ranges 300-400 and 100-200 GHz, respectively.
6 Applications to specific clusters: Perseus and Ophiuchus
We present our studies of two nearby and extended clusters: Perseus, which has a cool core, and Ophiuchus, which is approximately isothermal. As discussed previously, the optimal strategy for extracting the physical parameters of the cluster is to consider the frequency range 300-400 GHz; in this range, we can safely consider only the first order thermal SZE in our analysis, because higher-order corrections are negligible.
6.1 The Perseus cluster
The Perseus cluster is at a redshift z=0.0179 or a distance of 77.7 Mpc, at which 1 arcmin corresponds to 21.8 kpc. Therefore, a study of the spatially resolved SZE allows us to achieve good spatial sampling of the temperature profile, superior to that of the cluster A2199 previously discussed. In the following, we repeat our analysis for this cluster.
Churazov et al. (2003) derived an analytical approximation to the radial profile of the IC gas density and temperature that reproduces the cluster data for r>10 kpc, while at shorter distances the central dominating galaxy NGC 1275 causes the IC gas radial density profile to be more uncertain. For the sake of illustration, we use the analytical fitting formulae given by Churazov et al. (2003) and estrapolate them to the cluster center, ignoring, in this way, the presence of the central galaxy.
|
Figure 16: The thermal SZE spectra of the Perseus cluster evaluated at different projected radii of 0, 20, 50, 75, 100, 150, and 200 kpc ( from top to bottom) are shown in the frequency range 200-500 GHz. For each curve, the SZE sampling in the frequency range 300-450 GHz has an uncertainty of 1%. |
| Open with DEXTER | |
|
Figure 17: The radial profile of the projected temperature, derived from the fit to the SZE spectra in Perseus in the frequency range 300-440 GHz with uncertainties of 1% (see Fig. 16), is shown as a function of the projected radius (in arcmin). |
| Open with DEXTER | |
|
Figure 18:
The deprojected temperature radial profile in Perseus derived from the
fit to the X-ray data by Chrurazov et al. (2003) (solid curve) is
compared to the fit to the SZE simulated data (dashed curve) shown
in Fig. 17. For the SZE temperature
profile, we use the radial profile given by Eq. (28), with
|
| Open with DEXTER | |
|
Figure 19: As Fig. 17 but with uncertainties assumed at the level of 0.1% of the sampled SZE data points (see Fig. 16). |
| Open with DEXTER | |
We hence simulated to first order the thermal SZE expected
for Perseus at seven projected radii from the cluster center: 0,
20, 50, 75, 100, 150, and 200 kpc (corresponding to angular sizes
of 0, 0.9, 2.3, 3.4, 4.7, 6.9, and 9.2 arcmin). We then
sampled each one of the SZE spectra at these radii for eight
different frequencies in the 300-450 GHz range: 300, 320, 340,
360, 380, 400, 420, and 440 GHz (see Fig. 16). We extended here the frequency
coverage of the SZE spectra to improve our sampling of the spectral
region of the SZE where relativistic effects are relevant. For
each projected radius we fitted, using the gas temperature
and optical depth as free parameters, the SZE simulated signal by
using the expression of the first-order thermal SZE and assuming
an error of 1% in the experimental data.
The results of the fit to the projected temperature are shown in
Fig. 17.
The deprojection procedure of the best-fit radial temperature
profile is performed by using Eq. (28), defining
keV (the best-fit projected temperature at 200 kpc), and by using as prior constraints the information about the
electron radial profile provided by X-ray observations (see
Sect. 4). For an experimental uncertainty of 1%, such procedure
yields values
keV,
kpc,
,
where
for 4 d.o.f.
Figure 18 compares the
deprojected temperature profile found with our method from SZE
observations with the best-fit deprojected temperature profile
derived by Churazov et al. (2003) obtained from X-ray data. The
two curves are quite similar except for the inner region, where the
IC gas is cooler and the sensitivity of the SZE spectrum to low
temperatures (because of relativistic corrections) is
lower.
We also verified that by assuming an uncertainty of 0.1% in the
experimental data, the best-fit values do not change, but the
relative errors are reduced considerably (see Fig. 19).
6.2 The Ophiuchus cluster
To first approximation, the Ophiuchus cluster is an isothermal
cluster with
keV (Watanabe et al. 2001).
Since Ophiuchus is quite a hot cluster, relativistic
effects in the SZE spectrum are expected to be more prominent,
allowing us to obtain a more robust estimate of both the cluster gas
temperature and density.
The SZE signal produced in Ophiuchus, calculated as described in
Sect. 2, was sampled at six frequencies between 300 and
400 GHz and at seven different radii, 0, 35, 70, 120, 200, 300,
and 500 kpc (see Fig. 20), assuming experimental
uncertainties of 1%. The minimum radius at which we sampled the
radial profiles was chosen by taking into account that at the
Ophiuchus distance (z=0.028), 1 arcmin corresponds to
34 kpc.
|
Figure 20: The thermal SZE spectrum for the Ophiuchus cluster is shown at various projected radii of 0, 35, 70, 120, 200, 300 and 500 kpc ( from top to bottom). The assumed uncertainty in the SZE data points is 1%. |
| Open with DEXTER | |
|
Figure 21: The radial profile of the projected temperature ( upper panel) and of the IC gas density ( lower panel) as derived from the fit to the SZE spectra for Ophiuchus shown as a function of the projected radius (in arcmin). We use SZE data points in the frequency range 300-400 GHz with uncertainties of 1% (see Fig. 20). |
| Open with DEXTER | |
Figure 21 shows the radial profiles of the
projected temperature and optical depth of the IC gas obtained
from the fit to SZE data. These results clearly indicate that
the cluster temperature is constant with radius, within the
errors, while the radial density profile can be derived from the
optical depth radial profile by using the model
We therefore note that in a cluster with constant temperature profile, deprojection can be performed using only optical depth results without assuming any prior constraint obtained from X-ray data. Hence, the thermal gas parameters derived from SZE and X-ray data can be directly compared.
The values derived from X-ray measurements are
cm-3,
kpc, and
(Johnston et al. 1981; Watanabe et al. 2001). The
values that we derive from the fit to the simulated SZE signals are
cm-3,
kpc, and
.
The comparison between the best-fit profile
to X-ray data and that to the SZE data is shown in
Fig. 22. We can see that the density profile
derived from SZE measurements is very similar to that obtained
from X-ray observations.
|
Figure 22: The IC gas density profile of Ophiuchus derived from X-ray observations (solid curve) compared with that derived from the optical depth radial profile shown in Fig. 21 (dashed line) obtained from SZE simulated observations (see text for details). |
| Open with DEXTER | |
7 Discussion and conclusions
We have derived a general formalism to describe the thermal SZE in galaxy clusters with a non-uniform temperature profile, which can be applied to both cool-core clusters and non-cool core cluster with isothermal or non-isothermal temperature structures.
To extract the temperature profile information from spatially-resolved, spectroscopic SZE observations, we have developed an inversion technique by which the electron distribution function can be extracted using a SZE signal with a wide frequency range coverage. We have presented extensive results of the fitting procedure used to extract the cluster gas temperature from a set of simulated spatially resolved spectroscopic SZE observations in different bands of the spectrum, from 100 to 450 GHz, and we discuss the optimal experimental and theoretical strategy.
Our analysis of three different cluster prototypes (A2199 with a low-temperature cool core, Perseus with a relatively high-temperature cool core, and Ophiuchus with an isothermal temperature distribution) inferred the required precision of the SZE observations and the optimal frequency bands to determine the cluster gas temperature with an accuracy similar to or better than that obtainable from X-ray observations. The precision level of SZE-derived temperature was also discussed for the outer regions of clusters, which are particularly relevant to accurate mass determination of galaxy clusters. We also investigated how to extract from our method the parameters characterizing the non-thermal SZE spectrum of the relativistic plasma contained in various astrophysical environments, such as the lobes of radio galaxies and the relativistic electrons cospatially distributed with the thermal plasma in galaxy clusters with non-thermal phenomena (e.g., radio halos and/or hard X-ray excesses).
Based on our results, we conclude that the method we present here is the only method, so far, for SZE observations that is able to extract the crucial parameters of the cluster atmospheres (i.e. their temperature, density and additional non-thermal components) using only a single observational technique, i.e. spatially resolved spectroscopic SZE observations. These SZE observations are becoming available with the advent of new, but challenging, experimental techniques.
To achieve a wide spectral range (i.e. the
100-500 GHz
range discussed in our analysis) with imaging capabilities, a
Fourier Transform spectrometer would be an optimal experimental
solution. Even though FT spectrometers already operate on
Herschel(-Spire), specific technical solutions for space-borne projects
using Martin-Puplett architecture (Martin & Puplett 1970) have
been presented (see, e.g., DeBernardis et al. 2010).
It has been shown in fact that these experimental solutions allow
a clean differentiation of the spectra coming from two independent
inputs covering two contiguous areas of the telescope focal plane,
so that the measured spectrum is the difference in the spectra of
the target source and an offset reference field (see, e.g.,
DeBernardis et al. 2010). For this differential configuration,
even small SZE signals can be extracted from a strong mode
background generated, e.g., by the CMB itself, and the intrinsic
emission from the telescope (either radiatively cooled to
80 K, or actively cooled to a few K), in addition to other
signals from the Earth and other astronomical foreground sources.
Fourier Transform spectrometer experiments have the crucial advantage (with respect to dispersion spectrometer experiments) of being imaging instruments, an essential requirement for the analysis we have presented in this paper. With this choice, hence, a large detector array can be arranged in the focal plane of a sub-mm telescope, thus increasing the mapping speed.
To limit the radiative background (and the corresponding fluctuations) of the detectors, and match the detector size to the diffraction-limited angular resolution (which improves with frequency), the total spectral range of interest can be divided into different frequency bands. The frequency ranges of these bands must then be optimized to achieve optimal performance when studying the SZE.
The bands resulting from the SZE study optimization are B1 = 100-200 GHz, B2 = 200-300 GHz, and B3 = 300-450 GHz. An additional fourth band, B4 = 600-800 GHz, could be useful in controlling the spectral behaviour of the foreground emission.
The low-to-medium resolution configuration (i.e., a 10 to 20 GHz resolution, but constant over a large frequency band) for the spectrometer envisaged here is completely suitable to study the smooth features of the continuum SZE spectra. We note that the different spectral resolutions (from 20 to 1 GHz) achievable by Fourier Transform spectrometer enable a wide range of astrophysical sources to be studied.
With a 3 m diameter dish, the corresponding angular resolution, which is limited by diffraction at the telescope entrance aperture, of the previous three bands used to measure the SZE are approximately 4.5, 2.25, and 1.5 arcmin FWHM, respectively. With a 12 m diameter dish, the angular resolution can be reduced to approximately 1.06, 0.56 and 0.38 arcmin FWHM, respectively.
For an instrument field of view (FOV) of
arcmin2 (resulting in two contiguous FOVs in the sky in the
differential imaging spectrometer strategy) filled with
diffraction limited detectors, the resulting number of detectors
for each of the above frequency bands are approximately
(D/4.5)2 [
(D/1.06)2],
(D/2.25)2 [
(D/0.56)2], and
(D/1.5)2 [
(D/0.38)2] for the 3 m (12 m) diameter dish,
respectively.
These optimal spectroscopic capabilities must be coupled to
high-sensitivity detectors to fully exploit the large
amount of information enclosed in the SZE signal.
The photon background depends on the cooling of the whole system:
it is dominated by the warm telescope (
80 K) for a passive
cooling, but can be strongly reduced by using active cooling
that could bring the telescope to a few K.
The achievable photon noise limited NEP of each of the detectors
can be in the range
10-17
to
10-19
for a passive or active
cooling, respectively, therefore allowing full exploitation of
even the smallest SZE signals.
To summarize, the analysis of the SZE signals that we have
presented in this paper requires angular resolution of order of
arcmin (or less), a spectral resolution of order of
10 GHz, and a sensitivity of order of
0.1 to 1% of the
predicted SZE signals, which are achievable for integration
times of minutes to hours with an experimental set up
similar to the one envisaged here.
Other methods for extracting the cluster temperature profile by using
SZE observations have been presented (Holder & Loeb 2004), but
they use a combination of the thermal SZE (which measures
the electron pressure distribution) and radio observations of
the highly polarized scattered radiation coming from active
galaxies associated with the cluster (which depends on the cluster
electron density distribution). Holder & Loeb pointed out that
current instruments should allow us to reach accuracies
in our measurements of the
mass-weighted cluster temperature profiles of order of
1 keV, but based on the assumption that the central radio source is
stable over several million years. However, variable or beamed
sources (such as radio galaxies or jets/lobes of AGNs associated with
the cluster) will leave observable signatures in the scattered
emission.
Therefore, this method could allow, in principle (e.g. using
K
sensitivity observations of the polarized emission), the measurement of the
age of the central source by finding an edge to the polarized
emission.
In this context, we note that combining this method with the independent temperature measurements from SZE spectral studies (that we discuss here) would allow us to measure the time evolution of the central radio source.
In conclusion, our study shows that SZE experiments with spectroscopic capabilities, such as those using Fourier Trasform techniques with imaging capabilities, can measure precise temperature distribution over large radial distances for galaxy clusters out to high redshift. This will allow SZE observations of clusters to be used to improve our understanding of the physics of cluster atmospheres, to reconstruct their total mass content and, eventually, to use clusters of galaxies as reliable astrophysical and cosmological probes.
Appendix A: Comparing our results to the covariant formalism derivation of the SZE
We compare the SZE calculated according to the formalism of
Wright (1979; W79) with that calculated by the
derivation of B
hm & Lavalle (2009; BL09). For the second derivation,
we refer to their Eqs. (18)-(22), derived in the Thomson limit,
which are therefore directly comparable to those derived by W79.
According to BL09, the correct expression of the SZE in the
relativistic covariant formulation, is
The averages over the angles of the two contributions are given by the expressions
|
(A.2) |
where
Here, the function
where
To quantitatively compare the two approaches, we considered
an electron population with a double power-law spectrum
where
Figure A.1 plots the SZE spectrum over a
wide frequency range,
from x=10 (
GHz) to x=1015 (
GeV)
calculated to first order for
according to W79
(continuous curve), and that calculated according to BL09 (dashed
line). As can be clearly recognized, the two spectra are
indistinguishable over the entire frequency range.
|
Figure A.1:
The SZE spectrum calculated following the method of W79
(solid line) and the method of BL09 (dashed line).
The horizontal axis shows the adimensional frequency
|
| Open with DEXTER | |
Figure A.2 shows a zoomed view of the SZE spectra in the microwave region (x=0 - 20). In this region, the results obtained by the two formalisms are also indistinguishable.
|
Figure A.2: Same as Fig. A.1 but with a zoom in the microwave frequency range at which the SZE telescope operate. In this low-frequency range, there is also no difference between the two approaches. |
| Open with DEXTER | |
Figure A.3 compares the ICS
emission (against the CMB photons) along the line of sight
calculated in the approach of BL09 and in the standard approach
(see e.g. Colafrancesco et al. 2005; see also Longair 1993) using
also the Klein-Nishina cross-section, and assuming an electron
spectrum as in Eq. (A.5), with a density and
spatial distribution such that
.
The two different calculations provide quite similar results,
apart for the frequency range
x > 1015, at which the
Klein-Nishina cross-section has a non-negligible effect (it
indeed reduces the Compton scattering efficiency at high
energies, see e.g. Fargion & Salis 1998).
|
Figure A.3:
The comparison of the ICS emission
evaluated following the standard computational approach with the
inclusion of the Klein-Nishina cross-section (solid line)
and that evaluated following the method of BL09
in the Thomson approximation (dashed line). No difference appears between the two
approaches up to a frequency
|
| Open with DEXTER | |
Based on these results, we can conclude that:
- i)
- For the SZE spectrum in the microwave-mm region, the formalism of W79 can also be used in the case of relativistic electrons since it provides the same results as the covariant formalisms of BL09. In addition, the W79 formalism, which uses a simple expression, requires a much shorter computing time w.r.t. the BL09 formalism.
- ii)
- When calculating the ICS emission at high frequencies, the standard formalism is completely adequate because there is no difference w.r.t. the covariant formalism results. In addition, the standard formalism requires a much shorter computing time and allows also the Klein-Nishina cross-section effect to be used without introducing additional complications in the numerical computation, as occurs - in contrast - in Eq. (46) of BL09.
To summarize, the W79 and the covariant formalisms that have been developed to calculate the SZE are fully equivalent, in contrast to previous erroneous claims (see BL09), and the significant advantage of the standard calculations based on the W79 approach is their far shorter computing times.
References
- Abramowitz, M., & Stegun, I. A. 1965, Handbook of Mathematical Functions with Formulas, Graphs and Mathematical Tables (N.Y.: Dover Book) [Google Scholar]
- Aghanim, N., Hansen, S. H., & Lagache, G. 2005, A&A, 439, 901 [NASA ADS] [CrossRef] [EDP Sciences] [Google Scholar]
- Arnaud, M. 2005, in Background Microwave Radiation and Intracluster Cosmology, edited by F. Melchiorri, & Y. Rephaeli, Proc. Int. School Phys. ``Enrico Fermi'', It. Phys. Soc. Ser., 77 [Google Scholar]
- Battistelli, E. S., De Petris, M., Lamagna, L., et al. 2003, ApJ, 598, L75 [NASA ADS] [CrossRef] [Google Scholar]
- Birkinshaw, M. 1999, PhR, 310, 97 [NASA ADS] [Google Scholar]
- B▯hm, C., & Lavalle, J. 2009, PhRvD, 79, 3505 [Google Scholar]
- Borgani, S., Diaferio, A., Dolag, K., & Schindler, S. 2008, SSRv, 134, 269 [NASA ADS] [CrossRef] [Google Scholar]
- Churazov, E., Forman, W., Jones, C., & Böhringer, H. 2003, ApJ, 590, 225 [NASA ADS] [CrossRef] [Google Scholar]
- Colafrancesco, S. 2004, A&A, 422, L23 [NASA ADS] [CrossRef] [EDP Sciences] [Google Scholar]
- Colafrancesco, S. 2005, A&A, 435, L9 [NASA ADS] [CrossRef] [EDP Sciences] [Google Scholar]
- Colafrancesco, S. 2007, New Astron. Rev., 51, 394 [NASA ADS] [CrossRef] [Google Scholar]
- Colafrancesco, S. 2008a, ChJAS, 8, 61 [NASA ADS] [Google Scholar]
- Colafrancesco, S. 2008b, MNRAS, 385, 2041 [NASA ADS] [CrossRef] [Google Scholar]
- Colafrancesco, S., & Vittorio, N. 1994, ApJ, 422, 443 [NASA ADS] [CrossRef] [Google Scholar]
- Colafrancesco, S., & Giordano, F. 2006, A&A, 454, L131 [NASA ADS] [CrossRef] [EDP Sciences] [Google Scholar]
- Colafrancesco, S., & Giordano, F. 2007, A&A, 466, 421 [NASA ADS] [CrossRef] [EDP Sciences] [Google Scholar]
- Colafrancesco, S., & Marchegiani, P. 2008, A&A, 484, 51 [NASA ADS] [CrossRef] [EDP Sciences] [Google Scholar]
- Colafrancesco, S., & Marchegiani, P. 2009, A&A, 502, 711 [Google Scholar]
- Colafrancesco, S., Mazzotta, P., Rephaeli, Y., & Vittorio, N. 1994, ApJ, 433, 454 [NASA ADS] [CrossRef] [Google Scholar]
- Colafrancesco, S., Mazzotta, P., & Vittorio, N. 1997, ApJ, 488, 566 [NASA ADS] [CrossRef] [Google Scholar]
- Colafrancesco, S., Marchegiani, P., & Palladino, E. 2003, A&A, 397, 27 [NASA ADS] [CrossRef] [EDP Sciences] [Google Scholar]
- Colafrancesco, S., Dar, A., & De Rújula, A. 2004, A&A, 413, 441 [NASA ADS] [CrossRef] [EDP Sciences] [Google Scholar]
- Colafrancesco, S., Marchegiani, P., & Perola, G. C. 2005, A&A, 443, 1 [NASA ADS] [CrossRef] [EDP Sciences] [Google Scholar]
- Colafrancesco, S., Prokhorov, D., & Dogiel, V. 2009, A&A, 494, 1 [NASA ADS] [CrossRef] [EDP Sciences] [Google Scholar]
- De Bernardis, P., Bagliani, D., Bardi, A., et al. 2010, in Proceedings of the 12th Marcel Grossman Meeting, in press [arXiv:1002.0867] [Google Scholar]
- De Petris, M., D'Alba, L., Lamagna, L., et al. 2002, ApJ, 574, L119 [NASA ADS] [CrossRef] [Google Scholar]
- Dolgov, A. D., Hansen, S. H., Pastor, S., & Semikoz, D. V. 2001, ApJ, 554, 74 [NASA ADS] [CrossRef] [Google Scholar]
- Ehlert, S., & Ulmer, M. P. 2009, A&A, 503, 35 [NASA ADS] [CrossRef] [EDP Sciences] [Google Scholar]
- Enßlin, T. A., & Kaiser, C. R. 2000, A&A, 360, 417 [NASA ADS] [Google Scholar]
- Ettori, S., & Fabian, A. C. 1999, MNRAS, 305, 834 [NASA ADS] [CrossRef] [Google Scholar]
- Ettori, S., Morandi, A., Tozzi, P., et al. 2009, A&A, 501, 61 [NASA ADS] [CrossRef] [EDP Sciences] [Google Scholar]
- Fabian, A. C., Hu, E. M., Cowie, L. L., & Grindlay, J. 1981, ApJ, 248, 47 [NASA ADS] [CrossRef] [Google Scholar]
- Fargion, D., & Salis, A. 1998, SvPhU, 41, 823 [NASA ADS] [Google Scholar]
- Finoguenov, A., Reiprich, T. H., & Böhringer, H. 2001, A&A, 368, 749 [NASA ADS] [CrossRef] [EDP Sciences] [Google Scholar]
- Guo, F., & Oh, S. P. 2008, MNRAS, 384, 251 [NASA ADS] [CrossRef] [Google Scholar]
- Halverson, N. W., Lanting, T., Ade, P. A. R., et al. 2009, ApJ, 701, 42 [NASA ADS] [CrossRef] [Google Scholar]
- Hansen, S. H. 2004, MNRAS, 351, L5 [NASA ADS] [CrossRef] [Google Scholar]
- Holder, G. P., & Loeb, A. 2004, ApJ, 602, 659 [NASA ADS] [CrossRef] [Google Scholar]
- Johnston, M. D., Bradt, H. V., Doxsey, R. E., et al. 1981, ApJ, 245, 799 [NASA ADS] [CrossRef] [Google Scholar]
- Johnstone, R. M., Allen, S. W., Fabian, A. C., & Sanders, J. S. 2002, MNRAS, 336, 299 [NASA ADS] [CrossRef] [Google Scholar]
- Juin, J. B., Yvon, D., Réfrégier, A., & Yèche, C. 2007, A&A, 465, 57 [NASA ADS] [CrossRef] [EDP Sciences] [Google Scholar]
- Kang, H., Ryu, D., Cen, R., & Ostriker, J. P. 2007, ApJ, 669, 729 [NASA ADS] [CrossRef] [Google Scholar]
- Knox, L., Holder, G. P., & Church, S. E. 2004, ApJ, 612, 96 [NASA ADS] [CrossRef] [Google Scholar]
- Lloyd-Davies, E. J., Ponman, T. J., & Cannon, D. B. 2000, MNRAS, 315, 689 [NASA ADS] [CrossRef] [Google Scholar]
- Longair, M. 1993, High Energy Astrophysics (Cambridge University Press) [Google Scholar]
- Martin, D., & Puplett, E. 1970, Infrared Phys., 10, 105109 [NASA ADS] [CrossRef] [Google Scholar]
- Mohr, J. J., Reese, E. D., Ellingson, E., Lewis, A. D., & Evrard, A. E. 2000, ApJ, 544, 109 [NASA ADS] [CrossRef] [Google Scholar]
- Nozawa, S., & Kohyama, Y. 2009, PhRvD, 79, 3005 [Google Scholar]
- Piffaretti, R., Jetzer, Ph., Kaastra, J. S., & Tamura, T. 2005, A&A, 433, 101 [NASA ADS] [CrossRef] [EDP Sciences] [Google Scholar]
- Pratt, G. W., Böhringer, H., Croston, J. H., et al. 2007, A&A, 461, 71 [NASA ADS] [CrossRef] [EDP Sciences] [Google Scholar]
- Sato, K., Matsushita, K., & Gastaldello, F. 2009, PASJ, 61, S365 [NASA ADS] [Google Scholar]
- Staniszewski, Z., Ade, P. A. R., Aird, K. A., et al. 2009, ApJ, 701, 32 [CrossRef] [Google Scholar]
- Sunyaev, R. A., & Zel'dovich, Ia. B. 1980, ARA&A, 18, 537 [NASA ADS] [CrossRef] [Google Scholar]
- Verde, L., Kamionkowski, M., Mohr, J. J., & Benson, A. J. 2001, MNRAS, 321, L7 [NASA ADS] [CrossRef] [Google Scholar]
- Voit, G. M. 2000, ApJ, 543, 113 [NASA ADS] [CrossRef] [Google Scholar]
- Watanabe, M., Yamashita, K., Furuzawa, A., Kunieda, H., & Tawara, Y. 2001, PASJ, 53 605 [NASA ADS] [Google Scholar]
- Wright, E. L. 1979, ApJ, 232, 348 [NASA ADS] [CrossRef] [Google Scholar]
- White, S. D. M., Navarro, J. F., Evrard, A. E., & Frenk, C. S. 1993, Nature, 366, 429 [NASA ADS] [CrossRef] [Google Scholar]
All Figures
|
Figure 1: The SZE spectrum obtained for the cluster A2199 at different projected radii is shown with the frequency sampling derived, for each curve, with a 0.1% uncertainty. From top to bottom, curves refer to projected radii of 0, 5, 10, 15, 20, 30, 50, and 100 kpc. Note that spectra for 10 and 15 kpc are almost superimposed because beyond this radial distance the IC gas temperature measured by Chandra decreases with increasing radius (Johnstone et al. 2002). |
| Open with DEXTER | |
| In the text | |
|
Figure 2: The radial profile of the projected temperature ( top panel) and optical depth ( bottom panel) as derived from the fit to the SZE spectra using data sampled in the frequency range 300-400 GHz with uncertainty of 0.1% (see Fig. 1). |
| Open with DEXTER | |
| In the text | |
|
Figure 3: The deprojected temperature profile curve (solid) derived from SZE spectral data is compared to the deprojected temperature data obtained from X-ray observations of A2199 (Johnstone et al. 2002). |
| Open with DEXTER | |
| In the text | |
|
Figure 4: The projected temperature profile obtained from the fit to SZE spectra using data points sampled in the 300-400 GHz range and assuming an uncertainty of 1%. |
| Open with DEXTER | |
| In the text | |
|
Figure 5: The projected temperature radial profile obtained from the fit to the SZE spectral data by using data points sampled in 100-200 GHz range and assuming uncertainties of 0.1%. |
| Open with DEXTER | |
| In the text | |
|
Figure 6: The non-thermal SZE spectrum, normalized to its minimum amplitude is shown as a function of the minimum momentum p1 of the electron spectrum. We assume here a single power-law spectrum with power-law index s1=3.0. |
| Open with DEXTER | |
| In the text | |
|
Figure 7:
The non-thermal SZE spectrum, normalized to its
minimum amplitude is shown as a function of the minimum momentum
p1 of the electron spectrum. We assume here a double power-law spectrum with
s1=0.1, s=3.0, and
|
| Open with DEXTER | |
| In the text | |
|
Figure 8: The non-thermal SZE spectrum, normalized to its minimum amplitude is shown as a function of the spectral index s1 of the electron spectrum. We assume here a single power-law spectrum with p1=1. Curves are for s1= 3 (solid), 2.5 (dashed), and 3.5 (dot-dashed). |
| Open with DEXTER | |
| In the text | |
|
Figure 9:
The non-thermal SZE spectrum, normalized to its
minimum amplitude is shown as a function of the spectral index s2 of the electron spectrum.
We assume here a double power-law spectrum with p1=1, s1=0.1 and
|
| Open with DEXTER | |
| In the text | |
|
Figure 10: The non-thermal SZE spectrum evaluated at various projected radii and frequency sampling (see text for details) with data uncertainty of 0.1%. Curves are, from bottom to top, for projected radii of 0, 5, 10, 15, 20, 30, 40 kpc. |
| Open with DEXTER | |
| In the text | |
|
Figure 11: The radial profile of the optical depth as obtained from the fit to the SZE spectra b using data sampled in the range 300-400 GHz with uncertainty of 0.1% (see Fig. 10). |
| Open with DEXTER | |
| In the text | |
|
Figure 12:
The frequency dependence of the ratio of the non-thermal SZE
(we assume a double power-law spectrum with
s1=0.1, s2=3.0, p1=1, and
|
| Open with DEXTER | |
| In the text | |
|
Figure 13:
The thermal (solid curve) and thermal plus non-thermal
(dashed curve) SZE evaluated at the center of A2199. The non-thermal electron
population has a double power-law spectrum with parameters
s1=0.1, s2=3.0, p1=1, and
|
| Open with DEXTER | |
| In the text | |
|
Figure 14:
Upper panel: the frequency dependence of
the absolute value of the ratio of
the second order correction to the thermal SZE at the center of
A2199 to the non-thermal SZE of an electron population that has a
double power-law spectrum with parameters
s1=0.1, s2=3.0, p1=1, and
|
| Open with DEXTER | |
| In the text | |
|
Figure 15:
Upper panel: the frequency dependence of
the absolute value of the
ratio of the kinematic SZE for a value of the peculiar
velocity of
|
| Open with DEXTER | |
| In the text | |
|
Figure 16: The thermal SZE spectra of the Perseus cluster evaluated at different projected radii of 0, 20, 50, 75, 100, 150, and 200 kpc ( from top to bottom) are shown in the frequency range 200-500 GHz. For each curve, the SZE sampling in the frequency range 300-450 GHz has an uncertainty of 1%. |
| Open with DEXTER | |
| In the text | |
|
Figure 17: The radial profile of the projected temperature, derived from the fit to the SZE spectra in Perseus in the frequency range 300-440 GHz with uncertainties of 1% (see Fig. 16), is shown as a function of the projected radius (in arcmin). |
| Open with DEXTER | |
| In the text | |
|
Figure 18:
The deprojected temperature radial profile in Perseus derived from the
fit to the X-ray data by Chrurazov et al. (2003) (solid curve) is
compared to the fit to the SZE simulated data (dashed curve) shown
in Fig. 17. For the SZE temperature
profile, we use the radial profile given by Eq. (28), with
|
| Open with DEXTER | |
| In the text | |
|
Figure 19: As Fig. 17 but with uncertainties assumed at the level of 0.1% of the sampled SZE data points (see Fig. 16). |
| Open with DEXTER | |
| In the text | |
|
Figure 20: The thermal SZE spectrum for the Ophiuchus cluster is shown at various projected radii of 0, 35, 70, 120, 200, 300 and 500 kpc ( from top to bottom). The assumed uncertainty in the SZE data points is 1%. |
| Open with DEXTER | |
| In the text | |
|
Figure 21: The radial profile of the projected temperature ( upper panel) and of the IC gas density ( lower panel) as derived from the fit to the SZE spectra for Ophiuchus shown as a function of the projected radius (in arcmin). We use SZE data points in the frequency range 300-400 GHz with uncertainties of 1% (see Fig. 20). |
| Open with DEXTER | |
| In the text | |
|
Figure 22: The IC gas density profile of Ophiuchus derived from X-ray observations (solid curve) compared with that derived from the optical depth radial profile shown in Fig. 21 (dashed line) obtained from SZE simulated observations (see text for details). |
| Open with DEXTER | |
| In the text | |
|
Figure A.1:
The SZE spectrum calculated following the method of W79
(solid line) and the method of BL09 (dashed line).
The horizontal axis shows the adimensional frequency
|
| Open with DEXTER | |
| In the text | |
|
Figure A.2: Same as Fig. A.1 but with a zoom in the microwave frequency range at which the SZE telescope operate. In this low-frequency range, there is also no difference between the two approaches. |
| Open with DEXTER | |
| In the text | |
|
Figure A.3:
The comparison of the ICS emission
evaluated following the standard computational approach with the
inclusion of the Klein-Nishina cross-section (solid line)
and that evaluated following the method of BL09
in the Thomson approximation (dashed line). No difference appears between the two
approaches up to a frequency
|
| Open with DEXTER | |
| In the text | |
Copyright ESO 2010
Current usage metrics show cumulative count of Article Views (full-text article views including HTML views, PDF and ePub downloads, according to the available data) and Abstracts Views on Vision4Press platform.
Data correspond to usage on the plateform after 2015. The current usage metrics is available 48-96 hours after online publication and is updated daily on week days.
Initial download of the metrics may take a while.
![\begin{figure}
\par\includegraphics[height=7.cm,width=7.cm,angle=0.0,clip]{fig1.ps}
\end{figure}](/articles/aa/full_html/2010/12/aa13115-09/Timg90.png)
![\begin{figure}
\par\hspace*{3mm}\includegraphics[height=6.8cm,width=6.8cm,angle=...
...\includegraphics[height=7.2cm,width=7.2cm,angle=0.0,clip]{fig3.ps}
\end{figure}](/articles/aa/full_html/2010/12/aa13115-09/Timg91.png)
![\begin{figure}
\par\includegraphics[height=7.cm,width=7.cm,angle=0.0,clip]{fig4.ps}\par
\end{figure}](/articles/aa/full_html/2010/12/aa13115-09/Timg106.png)
![\begin{figure}
\par\includegraphics[height=7.cm,width=7.cm,angle=0.0,clip]{fig5.ps}
\end{figure}](/articles/aa/full_html/2010/12/aa13115-09/Timg108.png)
![\begin{figure}
\par\includegraphics[height=7.cm,width=7.cm,angle=0.0,clip]{fig6.ps}
\end{figure}](/articles/aa/full_html/2010/12/aa13115-09/Timg110.png)
![\begin{figure}
\par\includegraphics[height=7.cm,width=7.cm,angle=0.0,clip]{fig7.ps}
\end{figure}](/articles/aa/full_html/2010/12/aa13115-09/Timg115.png)
![\begin{figure}
\par\includegraphics[height=7.cm,width=7.cm,angle=0.0,clip]{fig8.ps}
\end{figure}](/articles/aa/full_html/2010/12/aa13115-09/Timg118.png)
![\begin{figure}
\par\includegraphics[height=7.cm,width=7.cm,angle=0.0,clip]{fig9.ps}
\end{figure}](/articles/aa/full_html/2010/12/aa13115-09/Timg119.png)
![\begin{figure}
\par\includegraphics[height=7.cm,width=7.cm,angle=0.0,clip]{fig10}
\end{figure}](/articles/aa/full_html/2010/12/aa13115-09/Timg121.png)
![\begin{figure}
\par\includegraphics[height=7.cm,width=7.cm,angle=0.0,clip]{fig11.ps}
\end{figure}](/articles/aa/full_html/2010/12/aa13115-09/Timg126.png)
![\begin{figure}
\par\includegraphics[height=7.cm,width=7.cm,angle=0.0,clip]{fig12.ps}
\end{figure}](/articles/aa/full_html/2010/12/aa13115-09/Timg127.png)
![\begin{figure}
\par\includegraphics[height=7.cm,width=7.cm,angle=0.0,clip]{fig13.ps}
\end{figure}](/articles/aa/full_html/2010/12/aa13115-09/Timg140.png)
![\begin{figure}
\par\includegraphics[height=7.2cm,width=7.2cm,angle=0.0,clip]{fig...
...}\includegraphics[height=7.cm,width=7.cm,angle=0.0,clip]{fig15.ps}
\end{figure}](/articles/aa/full_html/2010/12/aa13115-09/Timg141.png)
![\begin{figure}
\par\hspace*{2mm}\includegraphics[height=7.cm,width=7.cm,angle=0....
...includegraphics[height=7.2cm,width=7.2cm,angle=0.0,clip]{fig17.ps}
\end{figure}](/articles/aa/full_html/2010/12/aa13115-09/Timg143.png)
![\begin{figure}
\par\hspace*{2mm}\includegraphics[height=7.cm,width=7.cm,angle=0....
...includegraphics[height=7.2cm,width=7.2cm,angle=0.0,clip]{fig19.ps}
\end{figure}](/articles/aa/full_html/2010/12/aa13115-09/Timg147.png)
![\begin{figure}
\par\includegraphics[height=7.cm,width=7.cm,angle=0.0,clip]{fig20.ps}
\end{figure}](/articles/aa/full_html/2010/12/aa13115-09/Timg149.png)
![\begin{figure}
\par\includegraphics[height=7.cm,width=7.cm,angle=0.0,clip]{fig21.ps}
\end{figure}](/articles/aa/full_html/2010/12/aa13115-09/Timg150.png)
![\begin{figure}
\par\includegraphics[height=7.cm,width=7.cm,angle=0.0,clip]{fig22.ps}
\end{figure}](/articles/aa/full_html/2010/12/aa13115-09/Timg151.png)
![\begin{figure}
\par\includegraphics[height=7.cm,width=7.cm,angle=0.0,clip]{fig23.ps}
\end{figure}](/articles/aa/full_html/2010/12/aa13115-09/Timg152.png)
![\begin{figure}
\par\includegraphics[height=7.cm,width=7.cm,angle=0.0,clip]{fig24.ps}
\end{figure}](/articles/aa/full_html/2010/12/aa13115-09/Timg158.png)
![\begin{figure}
\par\hspace*{2mm}\includegraphics[height=7.cm,width=7.cm,angle=0....
...includegraphics[height=7.2cm,width=7.2cm,angle=0.0,clip]{fig26.ps}
\end{figure}](/articles/aa/full_html/2010/12/aa13115-09/Timg159.png)
![\begin{figure}
\par\includegraphics[height=7.cm,width=7.cm,angle=0.0,clip]{fig27.ps} \vspace*{-2mm}
\end{figure}](/articles/aa/full_html/2010/12/aa13115-09/Timg167.png)
![\begin{figure}
\par\includegraphics[height=7.cm,width=7.cm,angle=0.0,clip]{fig28.ps}
\end{figure}](/articles/aa/full_html/2010/12/aa13115-09/Timg192.png)
![\begin{figure}
\par\includegraphics[height=7.cm,width=7.cm,angle=0.0,clip]{fig29.ps}
\end{figure}](/articles/aa/full_html/2010/12/aa13115-09/Timg193.png)
![\begin{figure}
\par\includegraphics[height=7.cm,width=7.cm,angle=0.0,clip]{fig30.ps}
\end{figure}](/articles/aa/full_html/2010/12/aa13115-09/Timg194.png)