| Issue |
A&A
Volume 520, September-October 2010
|
|
|---|---|---|
| Article Number | A15 | |
| Number of page(s) | 63 | |
| Section | Stellar structure and evolution | |
| DOI | https://doi.org/10.1051/0004-6361/200913644 | |
| Published online | 22 September 2010 | |
RACE-OC project:
Rotation and variability of young stellar associations within 100 pc
,![[*]](/icons/foot_motif.png)
S. Messina1 - S. Desidera2 - M. Turatto1 - A. C. Lanzafame1,3 - E. F. Guinan4
1 - INAF - Catania Astrophysical Observatory, via S. Sofia 78, 95127 Catania, Italy
2 - INAF - Padova Astronomical Observatory, vicolo dell'Osservatorio 5, 35122 Padova, Italy
3 - University of Catania, Dept. of Physics and Astronomy, via S. Sofia 78, 95127 Catania, Italy
4 - Dept. of Astronomy and Astrophysics, Villanova University, Villanova, 19085 PA, USA
Received 11 November 2009 / Accepted 14 April 2010
Abstract
Context. Examining the angular momentum of stars and its
interplay with their magnetic fields represent a promising way to probe
the stellar internal structure and evolution of low-mass stars.
Aims. We attempt to determine the rotational and
magnetic-related activity properties of stars at different stages of
evolution.We focused our attention primarily on members of clusters and
young stellar associations of known ages. In this study, our targets
are 6 young loose stellar associations within 100 pc and with
ages in the range 8-70 Myr: TW Hydrae (
8 Myr),
Pictoris (
10 Myr), Tucana/Horologium, Columba, Carina (
30 Myr), and AB Doradus (
70 Myr). Additional rotational data for
Persei and the Pleiades from the literature are also considered.
Methods. Rotational periods of stars exhibiting rotational
modulation due to photospheric magnetic activity (i.e., starspots) were
determined by applying the Lomb-Scargle periodogram technique to
photometric time-series data obtained by the All Sky Automated Survey
(ASAS). The magnetic activity level was derived from the amplitude of
the V lightcurves. The statistical significance of the rotational
evolution at different ages was inferred by applying a two-sided
Kolmogorov-Smirnov test to subsequent age-bins.
Results. We detected the rotational modulation and measured the
rotation periods of 93 stars for the first time, and confirmed the
periods of 41 stars already known from the literature. For an
additional 10 stars, we revised the period determinations by other
authors. The sample was augmented with periods of 21
additional stars retrieved from the literature. In this way, for
the first time we were able to determine the largest set of rotation
periods at ages of
8,
10 and
30 Myr, as well as increase by 150% the number of known periodic members of AB Dor.
Conclusions. The analysis of the rotation periods in young
stellar associations, supplemented by Orion Nebula Cluster (ONC) and
NGC 2264 data from the literature, has allowed us to find that in
the 0.6-1.2
range the most significant variations in the rotation period
distribution are the spin-up between 9 and 30 Myr and the
spin-down between 70 and 110 Myr. Variations of between 30 and
70 Myr are rather doubtful, despite the median period indicating a
significant spin-up. The photospheric activity level is found to be
correlated with rotation at ages greater than
70 Myr and to show some additional age dependence besides that related to rotation and mass.
Key words: stars: activity - stars: late-type - stars: rotation - starspots - open clusters and associations: general - stars: pre-main sequence
1 Introduction
Rotation is a basic stellar property that undergoes dramatic changes during the stellar lifetime. These changes depend on both the evolution of the internal structure - e.g., stellar radius contraction during pre main sequence (PMS) and its expansion during post main sequence (post MS) - and on the presence and evolution of intense magnetic fields (Kawaler 1988; MacGregor & Brenner 1991; Krishnamurthi et al. 1997). Stellar magnetic fields play a fundamental role in the rotational history of late-type stars. During the PMS T-Tauri phase, they are responsible for the star-disk coupling that keeps the star's rotation rate slow, in spite of the gravitational contraction (see, e.g., Scholz et al. 2007). During the MS and Post MS, they are responsible for the angular momentum loss by means of magnetized stellar winds, as well as the redistribution of angular momentum by means of coupling processes between the internal radiative zone and the external convection zone (e.g., Barnes 2003). Thus, evolution of angular momentum and magnetic activity offer complementary diagnostics to study the mechanisms by which rotation and magnetic fields influence each other.
Our knowledge of the rotation properties at different stellar ages has improved thanks to a number of valuable projects of either decennial long-term monitoring of very young open clusters (see, e.g., Herbst & Mundt 2005; Herbst et al. 2007) or seasonal monitoring of intermediate-age open clusters (e.g., MONITOR, Hodgkin et al. 2006; EXPLORE/OC Extrasolar Planet Occultation Research, von Braun et al. 2005). In contrast to field stars, stars in open clusters form samples that are complete in mass and homogeneous in environmental conditions, initial chemical composition, age, and interstellar reddening. These stellar samples allow us to accurately investigate the dependence on age and metallicity of different stellar properties and their mutual relationship.
However, much still needs to be done since the number of studied open clusters, as well as the number of periodic variables discovered in most clusters, have not been large enough to fully constrain the various models proposed to describe the mechanisms driving the angular momentum evolution. In particular, the sequence of ages at which the angular momentum evolution has been studied still contains significant gaps and the sample of available periodic cluster members for a number of clusters is not as complete as necessary. Furthermore, at most ages we have only one representative cluster, which does not allow us to investigate, e.g., the dependence on either metallicity or initial environmental conditions.
RACE-OC, which stands for Rotation and ACtivity Evolution in Open Clusters, is a long-term project designed to study the evolution of the rotational properties and the magnetic activity of late-type members of stellar open clusters (Messina 2007; Messina et al. 2008). The RACE-OC targets are in stellar associations and open clusters with ages in the range from about 1 to about 600 Myr, for which no rotation and activity investigations have been carried out so far. The highest priority was given to the open clusters that fill the gaps in the relationships between age, activity, and rotation. Nonetheless, we also included clusters already extensively studied such as the very young Orion Nebula Cluster (Parihar et al. 2009). The motivation behind this is to increase the sample of periodic rotational variables and to explore the long-term magnetic activity, e.g., to search for activity cycles and surface differential rotation (SDR), by making repeated observations of given clusters over several years.
Table 1: Name, abbreviation, age, and mean distance of the nearby associations under study (Torres et al. 2008), together with the number of known members; late-type (later than F) members selected for period search; total number of periodic members; periodic members discovered from ASAS photometry; periodic members with period adopted from the literature; new periods determined from this study (and periods revised by us with respect to earlier literature values).
In the present study, we considered stellar associations at distances smaller than 100 pc and ages younger than about 100 Myr. While very few open clusters are within 100 pc, a number of loose associations of nearby young stars have been successfully identified (Zuckermann & Song 2004; Torres et al. 2008). Like open clusters, the physical association among the members allows a more robust age determination to be made than for isolated field stars. Furthermore, the brightness and the proximity to the Sun make it possible to carry out several complementary observations of individual objects that allow us to put the rotational properties of these stars in a broader astrophysical context. These observations include, e.g., high-resolution spectroscopy, trigonometric parallaxes, census of visual and spectroscopic binaries, IR excess, and searches for planets.A knowledge of the rotational properties of very young stars, as a function of age and spectral type (=mass), is important for a number of issues. First, some high-precision radial velocity studies of these targets are ongoing (Setiawan et al. 2008; Günther & Esposito 2007), in spite of the challenge represented by the activity-induced radial velocity jitter. Since this jitter is caused by the occurrence of active regions on stellar surface, an independent determination of rotational period is useful for differentiating radial velocity variations caused by rotational modulation from those caused by Keplerian motion (e.g., Lanza 2010a). Second, an accurate knowledge of the rotational properties of parent stars can illuminate how the star's angular momentum and planet formation influence each other. The planet formation may significantly alter the rotational history of the parent stars and, conversely, ``anomalous'' rotation may be indicative of planet formation processes (Pont 2009; Lanza 2010b). Third, the knowledge of the rotation periods of young stars allows us to investigate the effect of rotation on the lithium depletion (da Silva et al. 2009) and to establish a connection between rotation and lithium on a firmer basis than when using the projected rotational velocity to estimate rotation. Finally, a comparison between the rotational properties of single stars and stars in binary systems can provide some insight into the effect of binarity on the early stages of the rotational evolution.
The nearby loose young stellar associations that we selected are TW Hydrae,
Pictoris, Tucana/Horologium,
Columba, Carina, and AB Doradus. All apart from the last have an age between
8 and
30 Myr,
which was quite unexplored by earlier rotational studies. To date no
rotation period distribution was known in the age range from
4 Myr (NGC 2264; Lamm et al. 2004) to
40 Myr (IC 4665; Scholz et al. 2009).
This is an important age range in the rotational history of low-mass stars, when circumstellar disks dissipate and stars are free to increase their rotation speed while contracting toward the zero age main sequence (ZAMS). This is also the age range of planet formation. Observations and theoretical studies of our planetary system (see Zuckerman & Song 2004 and references therein) indicate that giant planets form in less than 10 Myr and Earth-like planets in less than 30 Myr. Thus, the study of these stars allows us to shed light on the formation and early evolution of planetary systems. Nearby young stars are indeed the prime targets of searches for planets with the direct imaging technique, as planets are brighter at young ages (Burrows et al. 1997). Several surveys that have been performed with the highest quality state-of-art adaptive optics or space instruments have already observed a number of members of young associations (e.g., Chauvin et al. 2009; Nielsen & Close 2010). Efforts in this direction recently led to the first planet discoveries (e.g., Marois et al. 2008) and there are exciting perspectives for the use of future more sensitive instruments that will be come available within a few years (e.g., Beuzit et al. 2008).
In Sect. 2, we present the young loose associations considered in the present study. In Sect. 3, we describe the photometric data on which this study is based. In Sect. 4, we present the rotation period search. The rotation period distributions and a discussion in the context of angular momentum evolution are given in Sects. 5 and 6. Section 7 presents our conclusions.
2 The sample
The sample of our investigation is taken from the compilations of Zuckerman & Song (2004) and Torres et al. (2008), which include an updated analysis of the membership of nearby associations younger than 100 Myr.
We selected the following associations that have mean distances smaller
than 100 pc: TW Hydrae,
Pictoris, Tucana/Horologium,
Columba, Carina
, and AB Doradus. These associations are reported with ages in the range from
8 to
70 Myr.
The Torres et al. (2008) list of members is significantly more extended than the previous ones, thanks to the availability of the SACY (Search for Associations Containing Young stars) database of observation of young stars (Torres et al. 2006). Only a very small number of objects have discrepant membership with respect to previous investigations (Zuckermann & Song 2004).
Our initial target list included nearly 300 stars.
As the SACY sample was originally selected from bright ROSAT sources,
a large majority of the targets is represented by late-type stars and is
then suitable for the photometric search of rotational modulations.
We excluded only a fraction (
30%) of stars with spectral types earlier than F9,
since they are not expected to show any rotationally-induced variability due to
their shallow convective zones. We note that a few members, although of unknown spectral type,
were included in the search sample because their B-V colours were consistent with a late spectral type. We excluded stars fainter than
,
as the photometric errors of ASAS data, on which our study is based,
are too large for these stars to allow a meaningful analysis.
After applying these selection criteria, we are left with
204 stars. The list of our target associations, together with age,
mean distance, and number of known late-type members is reported in
Table 1.
Stars in young stellar associations have been studied extensively especially when studying the formation of planetary systems. As a result, a significant fraction of the targets have accurate spectroscopic characterisations. The search for planetary companions using direct imaging or radial velocities has also lead to a quite complete census of the binarity and to investigations of circumstellar gaseous or dusty disks. We used these resources to investigate trends and correlations between the rotational periods and other properties.
Most of the spectroscopic observations (spectral types, projected
rotational velocity
)
are from SACY database
(Torres et al. 2006). Information about the binarity of the targets was taken from Torres et al. (2006, 2008), and Bonavita et al. (2010, in prep.). Additional bibliography
for individual targets is given in Appendix A.
|
Figure 1: Representative example of light curves in our sample. V-band data time series in the left panels and phased light curve in the right panels together with the sinusoidal fit to the rotation period (thick solid line). Different symbols and colours help identify measurements collected in different time intervals. |
| Open with DEXTER | |
3 Data
3.1 The ASAS photometry
The All Sky Automated Survey (ASAS) is the major source of photometric
observations on which the present analysis is based. The ASAS project
started in 1997 with the goal of photometrically monitoring millions of
stars brighter than 14 mag in the V band and distributed all over the sky at declinations
,
to investigate any kind of
photometric variability (Pojmanski 1997, 2002).
At present, ASAS is carried out by two observing stations. One is based
at Las Campanas Observatory, Chile (since 1997). It consists of two
wide-field telescopes, equipped with F200/2.8 Minolta telephoto lenses
and 2K
2K AP-10 CCD Apogee cameras, covering
deg of the sky through the V and I filters.
The other station (the Northern Station) is at Haleakala, Hawaii, Maui (since 2006), and is equipped with two wide-field Nikon
F200/2.0 APO-G-10 telephoto lenses observing simultaneously in the standard
V and I filters. Data acquisition and processing is fully automated. The data reduction pipeline used to process ASAS
data is described in detail by Pojmanski (1997). The linear scale at focal plane is 16 arcsec/pixel. The FWHM
of stellar images is 1.3-1.8 pixels. Aperture photometry is used
to extract stellar magnitudes through 5 apertures (ranging from 1
to 3 pixels in radius, which corresponds to 16 to 48 arcsec).
Smaller apertures provide higher accuracy for brighter stars, whereas
larger apertures do for the fainter stars.
In the following analysis, we selected the magnitudes time series of
each target by selecting the aperture giving the highest photometric
precision.
Because of the low spatial resolution, a check for any star close to
the target star is crucial, especially for fainter stars for which
larger apertures (up to a 48 arcsec radius) are used to extract
the stellar magnitudes.
All cases in which nearby stars are not spatially resolved are
discussed in Appendix A.
The astrometric calibration is currently based on the ACT catalog
(Astrographic Catalog 2000 + Tycho, Urban et al. 1998) and achieves an accuracy of around 3 arcsec.
Calibration to the standard system is based on the Tycho photometry (Perryman et al. 1997) and is accurate at about the 0.05-mag level. The default exposure time is 2 min in the I, and 3 min in the V filter. The systems routinely secure from 160 to 200 frames per night in V and from 230 to 300 frames per night in I. At this rate, the telescopes can carry out photometry of the available sky in two filters in about 2 days.
3.2 Data from the literature
A few stars in our sample are not in the ASAS database, being located at declination
.
We checked the bibliographical sources of all targets using ADS
(Astrophysical Data System) to see whether previous determinations of
rotation period existed. A number of stars had their rotation period
determined by the ASAS survey and, therefore, were found listed in the
ASAS Catalogue of Variable Stars (ACVS). Nonetheless, we also performed
our period search for these stars and, in a number of cases (10),
we found a different measurement of the rotation period. These cases
are individually discussed.
In Tables A.1-A.6
,
we list the following information taken from the literature and used to
discuss the results of our period search: target name; coordinates; V magnitude; B-V and V-I colours; MV
absolute magnitude; distance; projected equatorial velocity; computed
stellar mass and radius; spectral type; and notes on membership.
4 Photometry rotation period search
We have used the Lomb-Scargle periodogram method to search for significant periodicities related to the stellar rotation in the data time series. In the following subsections, we briefly describe our procedure to determine the rotation period of our targets.
4.1 Time series sectioning
Since our analysis is focused on solar and late-type stars, we
expect to detect the stellar rotation period by analysing
the flux modulation induced by surface inhomogeneities unevenly
distributed along the stellar
longitude. These surface inhomogeneities can be either cool or hot
spots arising from magnetic activity, which is particularly efficient
in stars with rapid rotation (P
< 10-20 days) and deep outer convection zone
(spectral types from G to M). The observed variability is
dominated by phenomena that are manifested on different timescales
(see, e.g., Messina et al. 2004). The shortest timescale, of the order of seconds to
minutes, is related to micro-flaring activity. Its stochastic nature
increases the level of intrinsic noise in the observed flux time series.
The variability on timescales from several hours to days is
mostly related to the star's rotation. The variability on
longer timescales, from months to years, is related to the growth and
decay of active regions (ARGD) as well as the presence of starspot
cycles, which may be similar to the
11 yr sunspot cycle.
Long-term monitoring of field stars (see, e.g., Messina & Guinan 2003)
shows that, because of ARGD and surface differential rotation, both the
lightcurve amplitude and shape change on typical timescales of about
2-3 months, or even less for the most rapid rotators (
day).
These changes, if not taken into account,
can introduce aliases and lead to incorrect results. Therefore, a
reasonable approach to the period search is to divide the complete data
time series of each target (which is typically about 8 yr in our
case) into consecutive intervals not exceeding 2 months and to
carry out the period search in each interval separately. Following this
approach, we obtained on average 10-15 intervals per target
suitable for the period search.
Notwithstanding the 2-3 month timescale of lightcurve variation, Fourier analysis of long timespan series with sufficiently dense measurements can lead to a period determination with much higher confidence level and precision than the analysis of sectioned timeseries (e.g., Parihar et al. 2009). Here we anticipate that, without dividing the data into sections, we successfully detected the significant rotation periods in about 85% of our periodic targets.
In Fig. 1, we plot some representative example light curves and the sinusoidal fit to the rotation period. There are stars such as TWA 2 and HIP 17695, whose amplitudes and phase of minima remain constant in time. Other stars, such as TYC 7587 0925 1 and BD -16 351, exhibit constant phases of minima but variable amplitudes. In these cases, a Fourier analysis of the complete time series without creating sections resulted in very precise rotation period determinations. On the other hand, stars such as TYC 8852 0264 1 have light-curve phases of minima that change in less than two months. In these cases, an accurate period determination requires timeseries sectioning.
4.2 Lomb-Scargle periodogram
The Lomb-Scargle technique (Press et al. 1992; Scargle 1982; Horne & Baliunas 1986) was developed to search for
significant periodicities in unevenly sampled data. The algorithm calculates the normalized power
)
for a given angular frequency
.
The
highest peaks in the calculated power spectrum (periodogram)
correspond to the candidate periodicities in the analyzed time series
data. To determine the significance level of any candidate
periodic signal, the height of the corresponding power peak is associated
with a false alarm probability (FAP), which is the probability that a
peak of given height is caused simply by statistical variations, i.e., to
Gaussian noise. This method assumes that each observed data point is
independent of the others. However, this is not strictly true for
our time series data consisting of data that are generally
collected with a time sampling of timescale much shorter than those of both the
periodic or the irregular intrinsic variabilities we
search for (Pd
= 0.1-30). This correlation can have a significant impact on the period
determination as has been highlighted by, e.g., Herbst &
Wittenmyer (1996), Stassun et al. (1999), Rebull (2001), Lamm et al. (2004). We decided to determine the FAP
in a slightly different way than Scargle (1982) and Horne & Baliunas (1986), as discussed in the next subsection,
to overcome this problem.
|
Figure 2: Top panel: stellar V-magnitudes versus (vs.) time of TYC 9390 0322 1. Second panel from top: rotation periods vs. time detected with a confidence level over 99%. Third panels (left): periodogram with evidence of 4 peaks with confidence level larger than 99%. Large bullets represent the peaks related to beat periods. Third panels (right): window function with evidence of a peak at about 1 day related to the data sampling. The vertical dotted line indicates that the P=1.858 d period is not affected by the window function peak. Bottom panel: example light curve with data collected from HJD 2444367 to 2444644 and phased with the P=1.858 d rotation period. The solid line is a sinusoidal fit. |
| Open with DEXTER | |
4.3 False alarm probability
Following the approach outlined by Herbst et al. (2002),
Monte Carlo simulations are used to determine the relationship between
the normalized power and the FAP. In particular, after dividing the
data time series of each target into a number of intervals, the
data of each interval were randomized by scrambling the day numbers of
the Julian Day (JD) while keeping photometric
magnitudes and the decimal part of the JD unchanged. This method
preserves the same time sampling as in the original data set within the
same night. We then applied a periodogram analysis to about 1000
``randomized'' data time series for each time interval and retained the
highest power peak of each computed periodogram. The FAP related to a
given power
is taken as the fraction of
randomised light curves that have the highest power peak exceeding
,
which, in turn, is the probability that a peak of this height
is simply caused by statistical variations, i.e., white noise.
As the rotation period, we selected that
corresponding to the highest power peak detected in the periodogram and with confidence level larger than 99% (
), as computed from the aforementioned simulations. The same procedure was repeated for each time interval and all targets.
4.4 Alias detection
To identify the true periodicities in the periodogram, it is crucial to take into account that a few peaks, even those of high power with high confidence levels, may be aliases arising from both the data sampling and the length of the time interval during which the observations are collected. In this respect, an inspection of the spectral window function helps us to identify which peaks in the periodogram may be aliases.
In Fig. 2, we plot,
as an example, the ASAS photometric data time series of one of our
targets (TYC 9390 0322 1). The V-band magnitudes together with their uncertainties are
plotted versus the Heliocentric Julian Day (HJD) on the top panel.
The periodogram in the middle left panel has 4 peaks of significant
power exceeding the 99% confidence level (solid horizontal line), but
only one is related to the stellar rotation. If we look at the window
function in the middle right panel, we find a major peak at about 1d,
which is related to the observation timing of about 1 day imposed
by the rotation of the Earth and the fixed longitude of the observation
site.
This inspection allows us to identify the 1-d peak in the
periodogram (indicated by a vertical dotted line) as an alias.
This peak is generally present in the periodogram of all the targets,
the observation timing being similar for all the ASAS targets. The
highest peak at P=1.858 days is actually one related
to the stellar rotation period, whereas the remaining two peaks (marked
by bullets) arise from the convolution between the power spectrum and
the window function. These alias periods are beat periods (B)
between the star's rotation period (P) and the data sampling and obey
the relation
|
(1) |
A way of checking whether secondary peaks are beat periods is to perform a prewhitening of the data time series by fitting and removing a sinusoid of the star's rotation period from the data. After removing the primary frequency from the data time series and recomputing the periodogram, all the other peaks disappear, confirming that they are beat frequencies.
4.5 Uncertainty in the rotation periods
We followed the method used by Lamm et al. (2004) to compute the errors associated with the period determinations. The uncertainty in the period can be written as
|
(2) |
where
4.6 Data precision
The precision of the ASAS photometry of the target stars that we analyse is in the range 0.02-0.03 mag, as shown in Fig. 3. We recall, as discussed in Sect. 3.1, that we use for each star the optimal aperture for extracting the magnitude time series, which changes from star to star according to its magnitude. Therefore, we compare precisions determined from different apertures in Fig. 3. This is why we do not observe the typical trend of decreasing accuracy with fainter stars in the magnitude range that we analyse. Each star's precision is computed by averaging the uncertainty associated with the data points of the complete time series. We also plot the amplitudes of the light curves of our targets. We see that all stars for which we could determine the rotation period have a light curve amplitude at least a factor 2.5 larger than the corresponding photometric accuracy. This circumstance permits the period search to detect high power peaks in the periodogram with large confidence level and, consequently, to determine reliable rotation periods. We found that the greatest photometric accuracy for our targets was achieved by extracting the magnitude with apertures from 15 to 30 arcsec. Using the ADS and SIMBAD databases, we checked whether our target stars had nearby stars within the aperture radius whose flux contribution may affect our analysis. These cases are indicated in Appendix A, which is dedicated to the discussion of individual cases.
|
Figure 3: Photometric precision and peak-to-peak variability amplitude vs. V-band magnitude of target stars. |
| Open with DEXTER | |
5 Results
We determined the rotation periods of 144 of the selected 204 stars. We determined the rotation periods for the first time for 93 of them. We confirmed the period determined by other authors for 41 stars and revised the periods for 10 stars. Rotation periods of an additional 21 stars were retrieved from the literature. We found non-periodic variability in 33 stars. The remaining 6 stars in the sample have neither ASAS data nor periods reported in the literature. A summary for each association is reported in Table 1.
|
Figure 4: Our rotation periods as a function of the periods derived from either ACVS or the literature. Straight solid lines represent the loci where our periods are equal to, or are a factor of either 0.5 or 2 longer than the literature values. The curved lines represent the loci of beat periods, according to Eq. (1). |
| Open with DEXTER | |
A comparison of our results with previous measurements of rotation period was possible for 51 stars (Fig. 4). We confirm the results reported in the literature in 41 cases. Our periods differ in 10 cases from the periods reported in either the ACVS (in 9 cases) or the literature (only the case of HIP 9892; Koen & Eyer 2002). A close inspection of our periodograms showed that in all 9 cases of disagreement with respect to ACVS, no power peak exists at all at the period value reported in the ACVS (see online Figs. A.1-A.22). Moreover, when we compute the rotation phases using the ACVS period, in all, but the case of HIP 12545, we obtain unconvincing light curves, that is of high phase dispersion and without any evident modulation. In contrast, our rotation periods were detected with a confidence level greater than 99% in both at least 8-10 time intervals into which we divided the complete time-series (i.e. in over 60% of the time intervals) and the periodogram computed without data sectioning. The same holds for HIP 9892, whose periodogram does not exhibit any peak at the period reported by Koen & Eyer (2002). We note that in 6 cases (TYC 8852 0264 1, TYC 8497 0995 1, TYC 7026 0325 1, TYC 7584 1630 1, TYC 8160 0958 1, and HIP 9892) the period is twice our value, which may be caused by two major spot groups located at opposite stellar hemispheres. However, the light curves in this circumstance should be double-peaked when they are phased with the long period, and this is not observed. In another 2 cases (TYC 7617 0549 1 and TYC 5907 1244 1), the ACVS period is consistent with a beat period, according to Eq. (1). Finally, it is possible to reconcile the discrepant results with neither beat periods nor spot groups at opposite hemispheres in just 2 cases (HIP 12545 and HIP 76768).
We note that our rotation period determinations include
10 stars in the TWA and 5 in the Tuc/Hor associations
(flagged with an a apex in Tables 3 and 5) that were eliminated by Torres et al. (2008)
from the high-probability member list, and two other stars,
HIP 84586 and V4046 Sgr, that are tidally locked binaries. These
stars are expected to have a different rotational history than single
stars, because of higher rotation rates caused by tidal
synchronization. All of these 17 stars will not be considered in the
following analysis on the rotation period distribution. The results of
our period search are summarised in Tables 3-8. To prevent ourselves from overestimating the maximum V-band light-curve amplitude (
),
we considered the difference between the median values of the upper and
lower 15% data points of the timeseries section with the largest
amplitude (see, e.g., Herbst et al. 2002).
In the following analysis, we do not use the brightest observed magnitude
,
but instead the V magnitudes (corrected for duplicity in the case of binary systems) taken from Torres et al. (2008), and reported in the online Tables A.1-A.6.
The rotation periods, together with uncertainty and normalized power,
determined in the individual time-series sections, are listed in the
online Table A.7.
The light curves of all stars for which the ASAS photometry allowed us to determine the rotation period are plotted in the online Figs. A.1-A.22.
In Appendix A, we report in some detail on the nature (binarity and spectral classification) of individual targets and their rotation periods when these were found to disagree with previous determinations.
|
Figure 5:
|
| Open with DEXTER | |
5.1 V sin i vs. equatorial velocity
About 75% of the periodic variables in our sample have known projected
equatorial velocities (
). We also derived stellar radii by comparing
the position of each target in the colour-magnitude diagram with the Baraffe
et al. (1998) evolutionary tracks (see Sect. 6.1). When rotation period,
,
and stellar radius are known, it is possible to compare the equatorial
velocity
and
to check the consistency between the two
and derive the stellar inclination.
In Fig. 5, we compare
and
,
by delineating the loci of
,
corresponding to equator-on orientation, and
,
corresponding to a randomly orientated rotation axis distribution. The major
uncertainty in the equatorial velocity originates in the radius estimate. The
reported
uncertainties are on average 10%. Only 7 stars
(flagged with an apex c in Tables 3-8 and plotted with circled symbols in Fig. 5) have inconsistent
/
(i.e.,
much larger than unity).
Four of seven stars (TYC 9344 0293 1,
TYC 9529 0340 1,
TYC 7100 2112 1, and
TYC 8586 2431 1)
have only one measurement of
,
whereas they have well established rotation periods.
It is important to carry out additional spectroscopic measurements to check the correctness
of the
value of these stars. Three other stars
(TYC 8852 0264 1,
TYC 7059 1111 1, and
TYC 7598 1488 1) each have
2-3 independent
measurements, which are similar within the errors.
These also have well established rotation periods that are confirmed by
literature values.
The discrepancy in the case of TYC 7598 1488 1
may arise from an incorrect value of parallax. Cutispoto (1998b) indeed reports a photometric parallax larger than the one reported by Torres et al. (2008)
which produces a larger stellar radius and would partly solve the disagreement between
and
.
In the other two cases, the discrepancy however requires further investigation.
We checked whether the results of the following analysis of the rotation period distribution vary
if the seven stars with inconsistent
/
are either considered or not. One of these stars is in all cases
excluded from the following analysis because it is a rejected member of
Pictoris. The average value of
for each association are reported in Table 2. This is obviously based on the periodic variable sample that excludes members with inconsistent
/
.
In Table 2, r
represents the correlation coefficient from the linear Pearson
statistics, whereas the labels a and b indicate the significance level
of the correlation coefficient. The significance level represents the
probability of observing a value of the correlation coefficient larger
than r for a random sample with the same number of observations and degrees of freedom.
Taken at face values, mean inclinations are inconsistent with the value expected for a completely randomly orientated rotational axis distribution. However, an investigation of the preferential orientations of the rotational axis in young associations must take into account several observational biases and is beyond the scope of this paper.
Table 2:
Summary of results of the comparison between
and equatorial velocity.
Table 3: TW Hydrae association.
Table 4:
As in Table 3 for the
Pictoris association.
Table 5: As in Table 3 for the Tucana/Horologium association.
Table 6: As in Table 3 for the Columba association.
Table 7: As in Table 3 for the Carina association.
Table 8: As in Table 3 for the AB Doradus moving group.
|
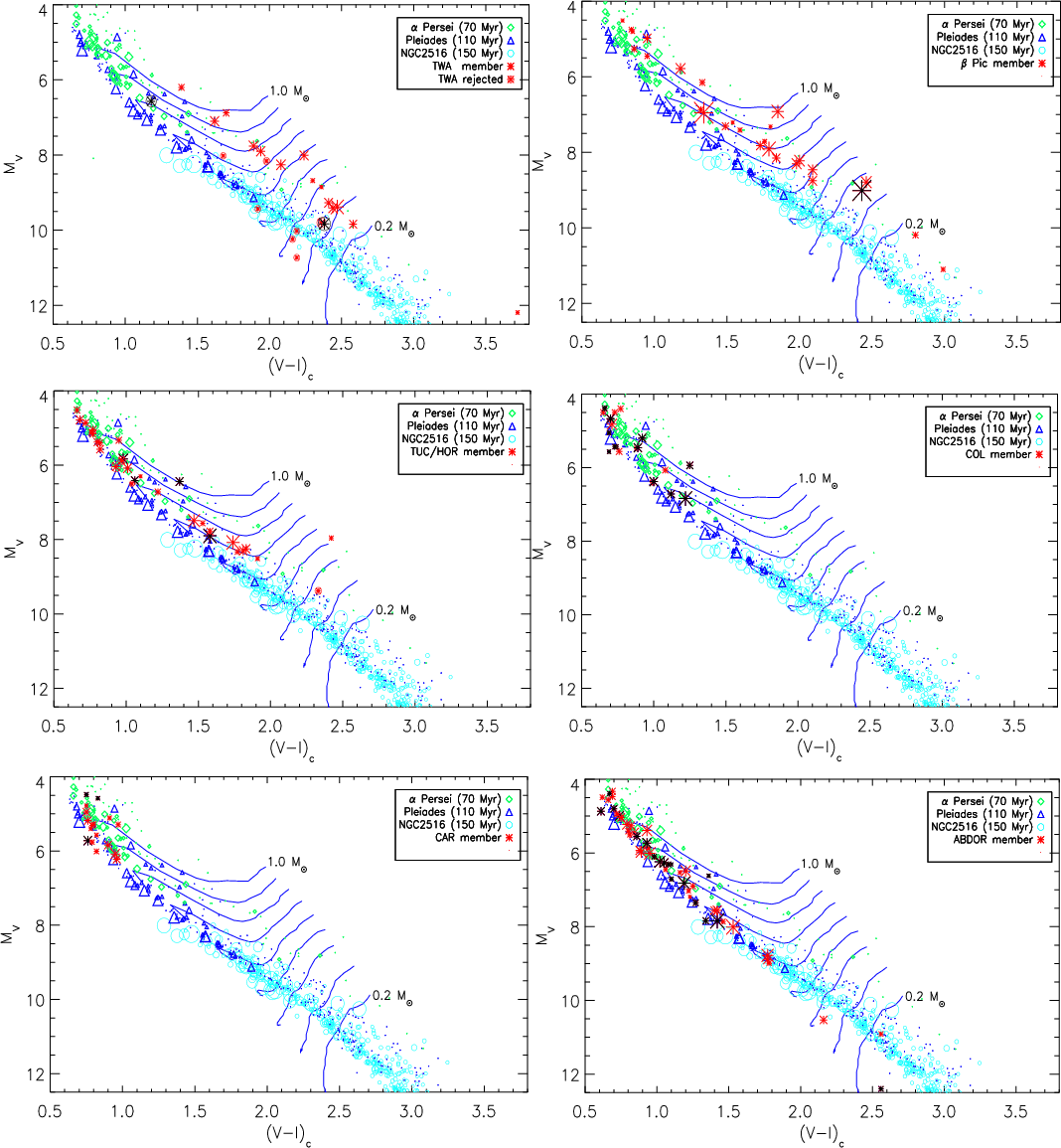
Figure 6: Colour-magnitude diagrams of the six associations under analysis with overplotted PMS tracks (solid lines) from Baraffe et al. (1998). Different symbols indicate stars belonging to different association/clusters; the symbol size is proportional to the rotation period. Dots represent cluster stars with unknown rotation period. Black symbols represent stars whose V - I colour is derived from B -V. |
| Open with DEXTER | |
6 Rotation period evolution
6.1 Color-magnitude diagrams
We use the
vs. V-I CMD and a set of low-mass PMS evolutionary tracks
to derive masses and radii and check the evolutionary stages of our targets (see Fig. 6). Evolutionary tracks (mass range from 0.2 to 1.0
at steps of 0.1) are taken from Baraffe et al. (1998)
(initial metallicity [M/H] = 0.0, initial helium mass fraction Y=0.275, initial mixing length parameter H
).
The V-I colours of a few stars, with the exception of the
Pictoris members, have never been measured.
To overcome this limitation and position all the stars in the same CMD, we derived empirical relations between V-I and
B-V using all the stars belonging to the same association and for which both colours are measured. In Fig. 7, we provide an example of the polynomial fit used to obtain V-I colours from B-V in the case of Tucana/Horologium. In Table 9, we list the polynomial coefficients that we determined for each association. The average error in the derived V-I colours is about 0.05 mag.
Figure 6 also includes those targets of the TW Hya and Tuc/Hor associations that were rejected by Torres et al. (2008) from the high-probability member list. Although considered in our period search, their rotation periods are not included in the following rotation period distribution analysis.
There are four stars that deviate significantly from the sequence traced by the other members. In Tucana/Horologium, this is the case for TYC 5908 230 1 whose spectral type is unknown and whose V-I colour is derived from B-V. In Columba, it is the case for BD-16351, whose V-I colour is derived from B-V. In AB Dor, it is the case for HIP 17695 and TYC 7084 0794 1. Their rotational properties, however, do not deviate from the average of their respective associations.
To more clearly visualize the evolutionary and the rotational
stage of our targets, we considered three additional well studied open
clusters
of known age:
Persei (70 Myr), Pleiades (110 Myr), and NGC 2516
(150 Myr).
The more evolved clusters (with respect to our targets) allow us to
identify in the CMD the position of the ZAMS in the mass range of our
association members.
The early-type (more massive) members of all three clusters have
already reached the ZAMS, whereas the late-type (low mass) members
continue to approach it. The list of confirmed members of the
Persei and Pleiades open clusters is compiled from the WEBDA database.
The (
colours and Johnson V magnitudes are from Stauffer et al. (1985, 1989) for
Persei, and from Stauffer (1982a, 1982b, 1984) and Prosser et al. (1991) for the Pleiades. The rotation periods are taken from the compilation by Messina et al. (2003, and references therein). The V-I colours, originally given in the Kron system, have been transformed into the Cousin system by using the Bessel (1979) colour-colour relations. Color excess
E(B-V) = 0.10 and distance modulus (
m-M) = 6.60 for the
Persei and
E(B-V) = 0.04 and (
m-M) = 5.60 for the Pleiades (O'Dell et al. 1994)
have been used to position the cluster members in the CMD. Photometry,
rotation periods, the colour excess, and the distance modulus of
NGC 2516 members are all taken from Irwin et al. (2009).
6.2 Rotation period distribution
A major goal of this paper is to search for statistically relevant differences in the rotation rate of stars in young stellar associations that can be ascribed to angular momentum evolution.
The main influence of stellar mass on the angular momentum evolution is to
determine the timescale of contraction towards the ZAMS and, below
approximately 1.2
,
the amount of angular momentum stored in the
radiative core (see, e.g., Allain 1998; Bouvier 2008; Keppens et al. 1995).
To limit the range of possible variations, a binning in mass of our
sample is therefore desirable. The paucity of stars available and the
uncertainties in mass, however, allow only a rather broad mass binning. In
the following analysis, we consider stars in the range 0.8-1.2
and compare the results with a larger sample in the range 0.6-1.2
.
In the former case, we limit the range of the angular momentum
evolution timescales and maintain a sufficient number of stars for the
statistical analysis; in the latter, we increase the number of stars at
the expense of mixing quite different evolution timescales.
Either the colour or spectral type can be used as an indicator of mass. The relationship
colour or spectral type vs. mass changes, however, with the age of the
stellar system, particularly in the PMS phase, and the MS relationship
cannot be applied to PMS stars. Without age discrimination, PMS stars of
similar colours or spectral types can belong to quite different mass ranges, especially between
0.7 and 1
where the evolutionary tracks turn abruptly towards higher temperatures before settling on the ZAMS (see
Fig. 6). To take the PMS evolution into account, we derived stellar
masses and radii by comparing the position in the CMD with the Baraffe
(1998) isochrones. The uncertainties in the estimated mass and radius originate mostly in the uncertainties in: a) V-I colour (especially for the lowest stellar masses); b) V magnitude
(subject to variations up to a few tenths of magnitude due to the
magnetic activity); c) parallax; and d) metallicity. We estimated the
cumulative uncertainty to be approximately 0.1
in
mass and 0.05
in radius, which is acceptable for the purposes of
our analysis. The derived masses and radii are listed in the online Tables A.1-A.6. The mass histogram of the complete sample of periodic variables is reported in Fig. 8. About 91% of our targets have masses between 0.6 and 1.2
,
60% being between 0.8 and 1.2
.
The uncertainties in age and the paucity of stars in each association
also impose a rather broad binning in age. To maintain statistical
significance, almost coeval associations are placed in the same age
bin. In this way, we consider TW Hya and
Pictoris, which have estimated ages of
8
and
10 Myr, in the same age bin; Tucana/Horologium, Carina, and Columba
members are considered coeval stars with an estimated age of
30 Myr.
The age of AB Dor is estimated to be approximately 70 Myr by Torres et al.
(2008), which is therefore coeval with the
Persei cluster. We found, however, that the period distribution vs. V-I is more similar to the Pleiades than
Persei (see Fig. 9 and discussion below), and we therefore assign AB Dor to the 110 Myr age bin together with the Pleiades.
In Fig. 9, we compare the distribution of rotation periods of AB Dor with that of
Persei (top panel) and the Pleiades (bottom panel). Adopting the Barnes (2003) classification scheme, we can easily identify three different groups of stars in Fig. 9.
The rotation upper boundary forms a sequence, populated by stars that
are subject to the long timescale spin-down controlled by the stellar
wind magnetic breaking. The dashed line represents the expected
theoretical period distribution according to Eqs. (1) and (2)
of Barnes (2003). This group of
stars exhibits an almost one-to-one correspondence between rotation
period and colour, which is definitively reached by the age of
500-600 Myr as shown by members of the Hyades (Radick et al. 1987) and Coma Berenices (Collier Cameron et al. 2009) open clusters. Very rapid rotators (
d) form a different sequence; the dotted line in Fig. 9 represents their expected theoretical period distribution computed using Eq. (15) of Barnes (2003). A third intermediate group is populated, according to the Barnes (2003)
scheme, by stars that are moving from being very fast rotators to the
slow rotators sequence. The identification of these sequences is rather
difficult in the period vs. V - I distribution of the younger association shown in Fig. 10, for TW Hya and
Pictoris (top panel) and for Tucana/Horologium, Carina, and Columba
(bottom panel). In this case, stars continue to contract towards the
ZAMS and either remain magnetically locked to their circumstellar disk
or have just left this phase.
From the comparison of the rotational period vs. V-I distribution of AB Dor with those of
Persei and the Pleiades shown in Fig. 9, we notice that the population of very fast rotators in
Persei in the colour range
0.5 < V-I < 1.0 is
missing among both AB Dor and Pleiades members. This population is
expected to have migrated from the very rapid rotator to the slow
rotator sequence between the ages of 70 and 110 Myr. The AB Dor
mean and median rotation periods are also much closer to those of the
Pleiades than
Persei. A two-sided two-dimensional Kolmogorov-Smirnov test
confirms that the AB Dor rotation period distribution is more similar to the
Pleiades than
Persei, the KS probability that the periods are
drawn from the same distribution being much lower for AB Dor/
Persei (0.5%) than for AB Dor/Pleiades (43%). Furthermore, looking at
the AB Dor CMD (Fig. 6), we see that the
Persei members are
generally redder, which is consistent with a younger age than AB
Dor. This is also consistent with the works of Luhman et al. (2005) and
Ortega et al. (2007), which suggest that AB Dor and the
Pleiades have a common origin.
Among slow rotators, we note two outliers, the
Persei member
AP 121 and the Pleiades member HII 2341, whose rotation period is well
above the upper boundary. We suggest that the rotation periods of these two
targets, taken from the literature, is incorrect and we do not include them
in the final sample for which we derive rotation period histograms and distributions.
To place our analysis in the context of earlier stellar angular
momentum evolution, we considered also rotational periods for members
of the Orion Nebula Cluster (ONC,
1 Myr) and NGC 2264 (
4 Myr). Rotation periods of ONC members were taken from Herbst et al. (2002), and of NGC 2264 members from both Rebull et al. (2002) and Lamm et al. (2004). Age-binned rotation period histograms of the full dataset are shown in Fig. 11.
Figure 12 shows the rotation period evolution from ONC to AB Dor (plus Pleiades) for stars with mass between 0.6 and 1.2
(left panel) and for the restricted sample with mass between 0.8 and 1.2
(right panel). Both the mean and median period
decrease slowly but systematically with age from ONC to
Persei,
apart from the mean period from ONC to NGC 2264 in the 0.6-1.2
sample, which is essentially constant. Given the paucity of the data
and because the distributions are not Gaussian, we investigated the
significance of these
variations by performing a two-sided KS test of consecutive samples in
age.
We expect that, if the variation in the mean and median are
significant, the KS probability that the period realisations in two
consecutive time bins are drawn from the same distribution will be low.
To avoid the ambiguities that arise from the colour evolution at an
early stage, we only apply the one-dimensional two-sided KS test to the
restricted mass range 0.8-1.2
and compare the results with those obtained in the extended 0.6-1.2
range.
Table 9: Polynomial fit coefficients to derive V-I from B-V colour, for stars with no V-I observations.
|
Figure 7: Empirical relation to derive V-I from B-V colours for the Tucana/Horologium members lacking V-I measurements. |
| Open with DEXTER | |
|
Figure 8: Histogram of masses for the complete sample of periodic stars inferred by comparison with Baraffe et al. (1998) evolutionary tracks. |
| Open with DEXTER | |
|
Figure 9:
Rotation period distribution of AB Dor members as compared to |
| Open with DEXTER | |
|
Figure 10:
Rotation period distribution of TWA and |
| Open with DEXTER | |
In Table 10, we list, for each age bin and for both the
(0.6-1.2)
and (0.8-1.2)
ranges, the mean and median rotation period, the number of stars used
in the test, and the two-sided KS probability that the realisations at
consecutive sample ages are drawn from the same
distribution.
Considering the 0.8-1.2
range first, we see that the moderate
rotation spin-up from
1 to
9 Myr
is also associated with a KS probability of 70% for the 1-4 Myr
and 63% for the 4-9 Myr age bins. The KS probability decreases to
17% for the 9-30 Myr age bins and increases again to 45% for the
30-70 Myr age bins. The KS probability then
decreases for the 70-110 Myr age bins, where we also see an
unambiguous
rotation spin-down. The most significant variations are then the
spin-up between 9
and 30 Myr and the spin-down between 70 and 110 Myr. Between
1 and 9 Myr, the
moderate spin-up is poorly supported by the KS test. The KS test on the
spin-up between 30 and 70 Myr does not allow us to draw definitive
conclusions. For the 0.8-1.2
range, the analysis is therefore consistent with
a considerable disk-locking before 9 Myr, followed by a moderate
but
unambiguous spin-up from 9 to 30 Myr, consistent with stellar
contraction
towards the ZAMS. Variations between 30 and 70 Myr are rather
doubtful,
despite the median indicating a significant spin-up. The mean rotation
period does not indicate any spin-up at all and the KS-probability does
not support a
strong difference in the period distribution at these two age bins.
This
situation may be due to the heterogeneity of the sample: all stars with
masses above 1
are expected to complete their contraction
toward the ZAMS at ages earlier than about 30 Myr, but stars with
lower mass will end the contraction towards the ZAMS later (around
50 Myr for a star of 0.8
).
The unambiguous spin-down from 70 to 110 Myr is consistent with,
starting from the 70 Myr age bin, all stars in the 0.8-1.2
mass range having entered the MS phase and therefore the angular momentum evolution being dominated by wind-braking.
The same considerations can be applied to the extended (0.6-1.2)
range, despite all KS-probabilities being lower than in the (0.8-1.2)
range. At ages earlier than 9 Myr, evidence of a moderate spin-up
is rather poor, the two-sided test giving a probability of about 60%
that the distributions in the 1-4 Myr and the 4-9 age bins are the
same. The spin-up from 9 to 30 Myr remains unambiguous, with a
probability
of only 9% that the period distributions in these two age bins are the
same. The moderate spin-up from 30 to 70 Myr is somewhat more
significant,
which is probably due to a higher number of stars ending their
contraction towards the ZAMS at ages later than 30 Myr
(85 Myr for a star of 0.6
). The spin-down between 70 and 110 Myr also remains
unambiguous, the KS-probability for these two bins being only 11%.
The most recent work on rotation and activity in PMS stars was carried out by Scholz et al. (2007) using data of four associations in the age range from
4 to
30 Myr (
Chamaleontis, TW Hya,
Pictoris, and Tucana/Horologium). It is based on
measurements and the stellar mass is inferred from the spectral type in
a way different from our comparison with evolutionary tracks. Their
study shows a monotonic increase of
(decrease of rotation period) until an age of about 30 Myr, which is the oldest age considered in their analysis.
Despite some differences with respect to the Scholz et al. (2007) analysis, we mainly confirm their results, but on a firmer basis thanks to the use of rotation periods instead of
values and of a more numerous sample of associations and members.
|
Figure 11:
Histograms of the rotation period distribution at the ages considered in the present study in the mass range
|
| Open with DEXTER | |
|
Figure 12: Rotation period evolution vs. time in the 0.6-1.2 ( left panel) and in the 0.8-1.2 ( right panel) solar mass ranges. Small dots represent the individual rotation period measurements. Bullets connected by solid lines are the median periods, whereas asterisks connected by dotted lines are mean periods. Short horizontal lines represent the 25th and 75th percentiles of rotation period. |
| Open with DEXTER | |
6.3 Rotation-photospheric activity connection
The periodic light modulations exhibited by our stars are caused by
temperature inhomogeneities (i.e., starspots) on the stellar
photosphere. Possibly in a way similar to the Sun, these
inhomogeneities originate from photospheric magnetic fields whose total
filling factor and distribution depend on the properties
of the dynamo mechanism operating in the stellar interior.
The amplitude of the light curve provides a lower limit to the amount
of magnetic fields asymmetrically distributed along the stellar
longitude,
which is in turn proportional to the total magnetic field filling
factor. As shown by Messina et al. (2001, 2003),
the upper bound to the light curve amplitude distribution is observed
to decrease with increasing rotation period, when the dynamo becomes
less efficient. In Fig. 13, we plot the maximum V-band
peak-to-peak light curve amplitude vs. rotation period of stars in the
associations being analysed. These values represent the largest
amplitude ever measured in all time sections in which the complete data
time series of each target was divided, as explained in Sect. 4.1.
Bullets represent stars with masses
,
whereas open triangles indicate stars with masses
.
Circled symbols are stars whose measured
values are inconsistent with the equatorial velocity
.
In four of six associations, the upper bounds to the light curve
amplitude distributions do not show any evident correlation with the
rotation period. The only two exceptions are
Pic
and AB Dor associations, whose upper light-curve amplitude
bound decreases with increasing rotation period. To improve our
statistics, we combined data from coeval clusters as well as data from
Persei and Pleiades clusters,
as earlier performed for the rotation period distributions. In Fig. 14, we note that the maximum light curve amplitude upper bound (solid line)
begins to clearly correlate with the rotation periods starting from an age of
70 Myr.
Therefore, the photospheric activity behaviour of the young members of
loose associations older than 70 Myr seem to be similar to those
observed in older stars where an
-
dynamo operates. Unfortunately, we have no data of very low mass (VLM)
stars in our associations with which to study differences in magnetic
activity with respect to higher-mass stars. Low-mass dM stars have a
deep convection zone and stars with masses <0.3
(i.e. later that dM3/4) are expected to be fully convective and may generate magnetic fields via a turbulent
dynamo.
We note that there is evidence of a dependence of the light curve
amplitude also on age. Considering stars of similar mass and rotation
period, the light amplitudes are observed to be largest in the youngest
associations TW Hya and
Pic, where the variability is dominated by hot/cool spots and
disk-accretion phenomena. The amplitudes are then observed to decrease
until an age of
30 Myr,
where we expect that the variability arises chiefly from cool spots.
The light curve amplitudes are then observed to increase again reaching
a maximum level at
110 Myr, which remains constant until an age of
230 Myr, as shown by a similar study of the members of the intermediate age open cluster M 11 (Messina et al. 2010)
After this age, stars appear to exhibit periodic light modulations of smaller amplitudes (see, e.g., Messina et al. 2010; Hartman et al. 2009; Radick et al. 1987).
In other words, stars of similar rotation, mass, and internal
structure but different ages, produce on average different light curve
amplitudes and, consequently, either different amount of magnetic
fields or different surface distributions of magnetic fields.
Understanding which unknown, yet age-dependent, parameters play a role
in the activity level remains a challenge.
Table 10: List of target associations/clusters, age, number of stars used to make the statistics, median and mean rotation period, and significance level that consecutive period distributions are drawn from the same distribution.
7 Conclusions
|
Figure 13:
V-band peak-to-peak light curve amplitude vs. rotation period. Circled symbols are stars whose |
| Open with DEXTER | |
| Figure 14: Similar to Fig. 13 but with data of coeval stars plotted together. Solid lines mark the upper bound of the amplitude distribution, which decreases with rotation period. |
|
| Open with DEXTER | |
We have analysed the rotational properties of late-type members of six young associations within 100 pc and of age in the range 8-110 Myr. Our period search was based on photometric time series taken from the ASAS catalog. Our analysis has allowed us to obtain the following results:
- We have newly discovered the rotation period of 93 stars, confirmed the period already known from the literature for 41 stars, revised the period of 10 stars, and finally retrieved from the literature the period of 21 additional stars. After excluding all the stars rejected by Torres et al. (2008) from the high-probability member list, our final sample consists of 150 periodic confirmed members.
- We have determined for the first time the rotation periods of a number of confirmed members in
Pictoris (10 stars), Tucana/Horologium (17 stars), Columba (15 stars), and Carina (16 stars),
as well as increased the number of known periodic members of AB Doradus (+150%) and TWA (+15%).
- A two-dimensional two-sided Kolmogorov-Smirnov test applied to period-colour distributions allowed us to confirm that the AB Dor association is older than 70 Myr (as reported by Torres et al. 2008) and most likely coeval with the Pleiades cluster, i.e., 110 Myr old.
-
Comparing the
values from the literature with the calculated equatorial velocity
,
where P and R
are the rotation period and stellar radius, respectively,
we found that the average inclination of the stellar rotation axis in
each association is generally higher than expected for a random
distribution of stellar axes. - About 91% of our stars have masses in the
range. We have been able to determine in this mass range the rotation
period distributions and derive their median and mean rotation period.
These values are the first available at ages of 8, 10, and 30 Myr
in this mass range.
- In the 0.8-1.2
range,
we found the most significant variations in the rotation period
distribution to be the spin-up between 9
and 30 Myr and the spin-down between 70 and 110 Myr. Two
sided KS tests confirm the significance of these variations.
Between 1 and 9 Myr, the existence of a
moderate spin-up is poorly supported by the KS test. The KS test on the
spin-up between 30 and 70 Myr does not allow us to draw definitive
conclusions.
Our analysis is therefore consistent with
a considerable disk-locking before 9 Myr, followed by a moderate
but
unambiguous spin-up from 9 to 30 Myr, consistent with stellar
contraction
towards the ZAMS. Any variations between 30 and 70 Myr are rather
uncertain,
despite the median being indicative of significant spin-up. The
unambiguous spin-down from 70 to 110 Myr is consistent
with, starting from the 70 Myr age bin, all stars in the
0.8-1.2
mass range having entered the MS phase and therefore the angular momentum evolution being dominated by wind-braking.
The same considerations can be applied to the extended (0.6-1.2)
range, despite all KS-probabilities being lower than in the (0.8-1.2)
range. The moderate spin-up from 30 to 70 Myr is somewhat more
significant, which is most likely caused by a higher number of stars
ending their contraction towards the ZAMS at ages later than
30 Myr.
- We found that the photospheric magnetic activity, described by the upper bound of the light curve amplitude distribution, correlates with the rotation period starting from an age of about 70 Myr. Moreover, the activity levels of stars of similar mass and rotation appear to depend on age. This dependence is strongest at ages younger than 10 Myr, where hot spots and accretion processes are dominant. The light curve amplitude is then observed to reach a minimum level at an age of 30 Myr, when only dynamo-generated cool spots are expected to dominate the variability. The level of spot activity then increases again reaching its maximum level at the age of Pleiades. This behaviour suggests that an age-dependent parameter exists, which, apart from rotation and mass, also plays a role in driving the level of photospheric magnetic activity.
This work was supported by the Italian Ministero dell'Università, dell'Istruzione e della Ricerca (MIUR) and the Istituto Nazionale di Astrofisica (INAF). The extensive use of the SIMBAD and ADS databases operated by the CDS center, Strasbourg, France, is gratefully acknowledged. The Authors would like to thank Dr. G. Pojmanski for the extensive use we made of the ASAS database. The Authors would like to thank the referee for helpful comments.
Appendix A: Individual stars
A.1 TW Hydrae
TW Hya: the most extensive study of the variability of TW Hya was carried out by Rucinsky et al. (2008).
It is based on the MOST satellite high-precision photometry and the
contemporaneous ASAS photometry.
Their analysis detects a number of periodicities probably arising from
different mechanisms either operating in the photosphere (starspot
activity) or related to accretion processes from its disk (veiling,
accretion). The highest power peak detected in our periodograms is at P=6.86 d, which is probably not related to rotation. In the present study, we adopted the
light curve amplitude and the P=2.80 d period
determined by Lawson & Crause (2005), which is in good agreement with earlier determinations by Koen & Eyer (2002)
and by Alencar & Bathala (2002).
TWA 2: is a visual binary whose components are separated by 0.55 arcsec and differ by
mag.
TWA 3AB: is a visual binary whose components are separated by 1.5 arcsec, differ by
mag,
and are not resolved by ASAS system. We were able to determine the
rotation period of neither the A nor the B component.
TWA 4: is a quadruple system formed by two pairs of SB at 0.8 arcsec and with
.
TWA 4A is a SB1 with
d (Torres et al. 1995). TWA 4B is a SB2 with
d (Torres et al. 1995), and
Aa, Ba, and Bb have similar brightnesses. One of the components is a classical T Tauri star (CTTS).
Our periodogram analysis identified a high confidence level rotation period of P=14.29 d
in 9 of the 14 analysed time intervals into which we divided the
complete magnitude series. This period differs from the rotation period
P=2.521 d
reported by Koen & Eyer (2002) and derived from the Hipparcos photometry. Since in both cases the system components are not resolved
and have similar brightnesses, they may both be responsible for the observed photometric variability.
Assuming that P=2.521 d is the correct period of TWA4A, which is consistent with
km s-1 and the derived stellar radius, the P=14.29 d
period may be attributed to TWA4B, which may have dominated the
observed variability during the ASAS observations.
TWA 5: is a triple system consisting of a binary with period 5.94 yr (Konopacky 2007),
(JHK)
plus a brown dwarf at 2 arcsec (Lowrance et al. 1999). Our analysis shows the highest power peak at P = 0.776 d, which is in good agreement with the value of P=0.77 d reported in the ACVS.
TWA 6: we adopt the rotation period from the literature (Lawson & Crause 2005),
since the available ASAS photometry did not provide any periodicity.
TWA 6 was not included in the high-probability member list of
Torres et al. (2008). The
is taken from Skelly et al. (2008).
TWA 7: we found a rotation period in good agreement with the literature value (Lawson & Crause 2005).
TWA 8AB: is a visual binary whose components have a separation of 13.2 arcsec, a magnitude difference
,
and are not resolved by the ASAS system. Our rotation period agrees with that reported by Lawson & Crause (2005)
for the brighter component TWA8A. For TWA 8B, we adopt the rotation period of Lawson & Crause (2005).
TWA 9AB: is a visual binary whose components have a separation of 5.8 arcsec and
.
For the brighter component TWA9A, our period agrees with that reported by Lawson & Crause (2005), whereas it disagrees
with the P=0.83 d
in the ACVS. The ASAS photometry could not resolve the fainter TWA9B
component whose rotation period is taken from Lawson & Crause (2005). The
of both components are taken from Scholz et al. (2007).
TWA 10: and TWA 12: our rotation periods agree with those reported by Lawson & Crause (2005). TWA 12 was not included in the high-probability member list by Torres et al. (2008).
TWA 13AB: is a visual binary whose components are separated by 5.1 arcsec and have
.
The ASAS system does not resolve the components of the binary. However,
the observed variability is most likely due to both components. Our
analysis indeed detected two rotation periods: P = 5.56 d, which is in agreement with the determination by Lawson & Crause (2005), and P=5.35 d, which is also in good
agreement with the rotation period that Lawson & Crause (2005) report for TWA 13B.
TWA 14: our analysis did not reveal any significant periodicity. We adopt the rotation period determined by Lawson & Crause (2005). It was not included in the high-probability member list by Torres et al. (2008).
TWA 15AB: is a visual binary rejected as member of the TW Hya group by Torres et al. (2008). Since our analysis did not measure the rotation period, we adopt the rotation periods from Lawson & Crause (2005). The
are from Scholz et al. (2007).
TWA 16: is a binary with components separated by 0.7 arcsec. Its membership to the TW Hya group according to Torres et al. (2008) has to be confirmed yet.
TWA 17: our analysis did not reveal any significant periodicity. We adopt the rotation period of Lawson & Crause (2005) and the
of Reid (2003). It was not included in the high-probability member list of Torres et al. (2008).
TWA 18: our analysis did not reveal any significant periodicity. We adopt the P=1.11 d period and light curve amplitude of Lawson & Krause (2005). The
is from Scholz et al. (2007). It was not included in the high-probability member list by Torres et al. (2008).
TWA 19AB: is a visual binary with a separation between the components of 37 arcsec and
.
It was rejected as a member by Torres et al. (2008).
The ASAS photometry is probably contaminated by the light contribution
of the fainter component. We could not determine any periodicity.
TWA 20: we could not determine any significant periodicity.
TWA 21: and TWA 24 were rejected as members by Torres et al. (2008).
TWA 23: were not included in the high-probability member list by Torres et al. (2008) due to a lack of complete kinematic data.
A.2
Pictoris
TYC 1186 706 1: this star was identified as a
Pic member by Lepine & Simon (2009).
Our period is in good agreement with the literature value (Norton et al. 2007).
HIP 12545: is classified as SB1 by Torres et al. (2008). The period
P = 0.5569d reported in the ACVS is not confirmed by our period analysis (see the periodogram in Fig. A.3). The
km s-1 is from Scholz et al. (2007).
GJ 3305: is a close binary (Kasper et al. 2007) and has a probable additional
wide companion (51 Eri=HIP 21547, F0V; Feigelson et al. 2006) at an angular distance of 66 arcsec.
Our analysis did not reveal any significant periodicity. In our analysis, we adopted the period
P=6.1 d of Feigelson et al. (2006).
The
is from Scholz et al. (2007).
HIP 23200: our period is in good agreement with both the literature (Alekseev 1996) and the ACVS values.
The
is from Favata et al. (1995).
HIP 23418: is a triple system consisting of both a SB2 binary (the primary is a M3V) with orbital period
d and
eccentricity e=0.323, and a visual companion with
at an angular distance of
0.7-1.0 arcsec (Delfosse et al. 1999). The
is from Scholz et al. (2007).
BD-21 1074: is a triple system consisting of a M2V (V=10.29) star and a binary companion at a separation of 23 arcsec
(M3, V=11.61). We detected a periodicity of P=13.3 d in 4 of the 14 time intervals as well as when the whole time series was analysed.
Unfortunately, no
value is at present available to check the consistency between
and equatorial velocity.
HIP 76629: is a triple system consisting of a binary system (the primary is a K0V) and a fainter visual component
(at a separation of 10.0 arcsec and
).
The RV trend by Gunther & Esposito (2007)
and the Hipparcos acceleration imply the presence of an additional
closer companion that has a period of several years. Our rotation
period agrees with the period found by Cutispoto (1998a).
TWA 22: was an unconfirmed member of TWA according to Torres et al. (2008) because of incomplete kinematic information.
The revised kinematic data by Teixeira et al. (2009) indicate its membership to
Pic moving group, which we adopt here.
HIP 84586: is an SB2 system (G5 IV + K0 IV) with an additional visual companion HD 155555C, 5.6 mag fainter in V at 33 arcsec. Our rotation period is in agreement with the literature values, e.g., by Cutispoto (1998b), Pasquini et al. (1991), Strassmeier & Rice (2000) and with the orbital period. The system is tidally-locked.
TYC 8742 2065 1: is classified as SB2 (the primary is a K0IV) by Torres et al. (2006). It has a very close optical
companion (Torres et al. 2008) of similar brightness (
). We detected two periodicities of P = 2.61 d and P
= 1.61 d of comparable power in almost each of about half of the
selected time intervals, which
probably represent the rotation period of either the SB2 or the optical
companion, respectively. We are unable
to assign to the SB2 system the corresponding rotation period. However,
because of the relatively small difference, an incorrect assignment
would not cause a significant difference in the results of the rotation
period distribution analysis.
HIP 88399: has a brighter F6V companion at a distance of 6.5 arcsec, which falls within the aperture radius used to extract the ASAS photometry.
V4046 Sgr: is an SB2 (the primary is a K5) tidally-locked binary
accreting object (CTTS). Our rotation period agrees with the P = 2.42 d found by Quast et al. (2000). The
is from Quast et al. (2000).
UCAC2 18035440: GSC7396-0759 is a probable comoving system at 169 arcsec (Torres et al. 2008). We note in its periodogram numerous peaks at confidence levels higher than 99%. However, we were unable to identify which peak is related to stellar rotation.
TYC 9077 2489 1: is a triple system consisting of a binary (the primary is a K5Ve) with a separation of 0.18 arcsec (=5.2 AU)
and
(Chauvin et al. 2009), and a wide companion (HIP 92024, A7V) at a 70 arcsec distance. This distance is
sufficiently large to allow the ASAS system to observe the only close visual binary system.
HIP 92680: our rotation period agrees with the period reported by Innis et al. (2007).
TYC 6878 0195 1: is reported by Torres et al. (2006) as a visual binary system (the brighter component is a K4Ve)
whose components have separations of 1.10 arcsec and
.
HIP 102141: is a binary system formed by two very similar M dwarfs (
)
at a separation of about 3 arcsec. Our analysis did not identify any rotation period.
HIP 102409: our rotation period is in good agreement with literature values of, e.g., Hebb et al. (2007) and Rodonò et al. (1986).
TYC 6349 0200 1: is reported by Neuhauser et al. (2003) as a visual binary (the brighter star is a K6Ve) with separations of 2.2 arcsec and
.
TYC 2211 1309 1: this star was discovered to be a
Pic member by Lepine & Simon (2009).
Our period is in good agreement with the literature value (Norton et al. 2007).
HIP 112312: its companion TX PsA is sufficiently distant (36 arcsec) not to contribute to the observed variability.
HIP 11437: is at declination +30 and no ASAS photometry exists. The rotation period is taken from Norton et al. (2007).
It has a companion at an angular distance of 22 arcsec and
.
The
is from Cutispoto et al. (2000).
HIP 10679: has a nearby F5V companion (HIP 10680) at a distance of 13.8 arcsec.
A.3 Tucana/Horologium
HIP 490: the
is from Cutispoto et al. (2002).
HIP 1910: is a binary system, its components having a separation of 0.7 arcsec and
.
HIP 2729: our analysis did not find any significant periodicity. We adopt the P=0.37 d rotation period found by Koen & Eyer (2002) using the Hipparcos photometry.
TYC 8852 0264 1: our analysis revealed a rotation period P=4.8 d
which we detected with high confidence level in 8 of 11 time intervals
and is about half the value reported in the ACVS. The latter has no
power peak in our periodogram. Nonetheless, the 4.8 d period,
together with computed stellar radius, infer an equatorial velocity
that is inconsistent with the three independent measurements of
that agree within errors (
km s-1 Scholz et al. 2007;
km s-1, Torres et al.
2006; 32 km s-1 De La Reza & Pinzon 2004). In any case, the star is not included when determining the rotation period distribution
because it was rejected as a member of Tuc/Hor by Torres et al. (2008).
HIP 6485: our rotation period agrees with the period found by Koen & Eyer (2002) using the Hipparcos photometry.
HIP 9141: is a binary system, its components having a separation of 0.15 arcsec, and
= 0.1 (Biller et al. 2007).
The
is from Nordstrom et al. (2004).
HIP 9892: is a SB1 system with long period but no other orbital elements determined (Gunther & Esposito 2007). Our rotation period is about half the period from the literature P=4.3215 d (Koen & Eyer 2002). As shown in the online Fig. A.7, the latter period is not present at all in our periodogram.
TYC 8489 1155 1: is the wide companion of the F7V star HIP 9902. The components are sufficiently separated to be resolved by the ASAS photometry. However, we could not determine the rotation period.
TYC 8497 0995 1: our analysis revealed a rotation period of P=7.38 d, which is about half the period reported in the ACVS. The latter period is not present in our periodogram as shown in the online Fig. A.8
AF Hor and TYC 8491 0656 1: are M2V and K6V stars, respectively, separated by about 22 arcsec. They are too close to be resolved by the ASAS photometry. Our analysis revealed a period of P=1.275 d, which probably represents the rotation period of the brighter star (TYC 8491 0656 1) dominating the observed variability.
TYC 7026 0325 1: in the ACVS is reported to have a rotation period of P=2.2613 d. However, our analysis revealed the P=8.48 d to be the only significant periodicity.
TYC 8060 1673 1: the
is from Viana Almeida et al. (2009).
HIP 16853: is a binary system with an astrometric orbit (P=200 d).
HIP 21632: we adopt the rotation period from Koen & Eyer (2002), since the analysis of ASAS photometry did not identify any significant periodicity.
TYC 5907 1244 1: is classified as SB2 by Torres et al. (2008). However, neither its orbital elements nor spectral type are known. In the ACVS, this star is reported with a rotation period of P=1.10473 d, whereas our analysis infers that the P=5.21 d is the most significant periodicity.
TYC 7600 0516 1 : was rejected as a member of Tuc/Hor association by Torres et al. (2008). Our period is in good agreement with the P=2.47 d reported by Cutispoto et al. (1999).
TYC 7065 0879 1: is a close visual binary with very similar components according to Torres et al. (2006). It is rejected as a member of Tuc/Hor association by Torres et al. (2008).
HIP 105404: is the only eclipsing binary star in our sample. It is a triple system composed of a very short-period eclipsing binary and a long-period SB (P=3 y, Guenther et al. 2007). Since the Lomb-Scargle periodogram is most suitable for identifying single sinusoidal flux variations, it fails to detect the correct orbital period. However, using as a first guess the rotation period available from the literature and the phase dispersion minimization the ASAS extended time series has allowed us to improve the estimation of the orbital period. It is rejected as a member of the Tuc/Hor association by Torres et al. (2008).
TYC 9344 0293 1: is a binary system whose components have a separation of 0.2 arcsec (Torres et al. 2008). The rotation period, which we detected with high confidence level in 8 of 12 time intervals, when combined
with the stellar radius, infers an equatorial velocity inconsistent with the only available measurements of
km s-1 (Torres et al. 2006). We may conclude that the vsini value was overestimated due to line blending, since the binary components
have a very small separation.
TYC 9529 0340 1: we have information about neither its spectral type nor its binarity. The
P=2.31 d rotation period, which we detected with high
confidence level in 11 of 13 time intervals, and its computed
stellar radius provide an equatorial velocity inconsistent with the
only available measurement of
km s-1 (Torres et al. 2006).
HIP 116748AB: is a binary system whose components have a separation of 5.3 arcsec and
.
A.4 Columba
TYC 8047 0232 1: has a brown dwarf companion at 3.2 arcsec (Chauvin et al. 2003).
HIP 16413: is a binary system whose components have a separation of 0.90 arcsec and
.
TYC 5882 1169 1: although previously classified as a member of the Tuc/Hor association, it is proposed by Torres et al. (2008) as high-probability member of Columba association. The
is from Scholz et al. (2007).
TYC 6457 2731 1: the
is from Viana Almeida et al. (2009).
TYC 7584 1630 1: the rotation period that we found is half the value reported in the ACVS, which is absent in our periodogram (see online Fig. A.11).
TYC 8077 0657 1: is a binary system whose components have a separation of 21.3 arcsec and
(Torres et al. 2006). The ASAS photometry does not resolve this star from UCAC2 11686780.
HIP 25709: is classified as SB2 by Torres et al. (2008), but no orbital elements were derived.
TYC 7617 0549 1: in the ACVS is reported with a rotation period of P=1.3038 d. However, in the periodogram no significant power peak is evident other than that at P=4.1395 d.
TYC 7100 2112 1: the rotation period, which we detected with a high confidence level in 11 of 15 time intervals, when combined
with the stellar radius, provides an equatorial velocity inconsistent with the only available measurements of
km s-1 (Torres et al. 2006).
AG Lep: the rotation period is retrieved from the literature (Messina et al. 2001), no ASAS photometry being available.
The
is from Cutispoto et al. (1999).
A.5 Carina
HIP 30034: is a member of Tuc/Hor according to Zuckerman & Song (2004). In the present study, it is considered to be a member of Carina according to Torres et al. (2008). It has a brown dwarf companion at wide separation (Chauvin et al. 2005).
HIP 32235: and HIP 33737 are members of Tuc/Hor according to Zuckerman & Song (2004). In the present study, they are assumed to be members of Carina according to Torres et al. (2008).
TYC 8559 1016 1: is a visual binary whose components have a separation of 5.8 arcsec and
(Torres et al. 2006).
TYC 8929 0927 1: we find two peaks of comparable power and very high confidence level. However, only the P=0.73 d period combined with the computed stellar radius gives an equatorial velocity consistent with the measured
.
TYC 8569 3597 1: is a SB2, with orbital period
d (Torres et al. 2008).
TYC 8160 0958 1: the rotation period that we found is half the period reported in the ACVS, which is absent in our periodogram.
TYC 8586 2431 1: the rotation period, which we
detected with high confidence level in 9 of 14 time intervals,
when combined with the stellar radius computed from PMS tracks, gives
an equatorial velocity inconsistent with the only available
measurements of
km s-1 (Torres et al. 2006).
The luminosity class IV assigned to this star may indicate that
the star has already left the MS and its radius has already started
increasing. However, a stellar radius larger than about 6
would reconcile
and
.
A.6 AB Doradus
HIP 5191: is a visual binary whose components are separated by 23 arcsec.
TYC 8042 1050 1: is a visual binary whose components are separated by 21.7 arcsec.
HIP 10272: is a binary whose components are separated by 1.8 arcsec and have
.
HIP 13027: is a binary whose components are separated by 3.6 arcsec and with
.
HIP 14809: and HIP 14807 represent a binary whose components are separated by 33.2 arcsec and with
.
HIP 22738AB: is a binary whose components are separated by 7.8 arcsec and have
.
The ASAS system could not resolve the components.
HIP 25647: is a quadruple system (very low mass star at about 1 AU + close pair of M dwarfs at 9 arcsec).
Our rotation period agrees with periods from the literature, e.g., Cutispoto & Rodonò (1988). The
is from Wichmann et al. (2003).
TYC 7059 1111 1: our period is in good agreement with the literature value (Cutispoto et al. 2003).
However, the derived
is inconsistent with two independent measurements of
,
which agree within errors (
km s-1, Torres et al. 2006; 40 km s-1, Tagliaferri et al. 1994).
HIP 26373-HIP 26369: is a binary system whose components are separated by 18.3 arcsec and with
.
Our rotation period agrees with that from Cutispoto et al. (1999). The ASAS photometry does not resolve the component of this K0+K6 system.
HIP 27727: is a possible binary system, which has yet to be confirmed. Our rotation period agrees with the period from the literature (Strassmeier et al. 1997).
TYC 7598 1488 1: our period is in good agreement with the literature value reported by Cutispoto et al. (2001).
However, when it is combined with the stellar radius, the derived
equatorial velocity is inconsistent with two independent measurements
(Torres et al. 2006; Tagliaferri et al. 1994), which give the same value of
(55 km s-1). A larger stellar radius of about 3-4
,
reported by Cutispoto (1998b) and based on a photometric distance d > 86 pc, would partly solve the disagreement of
with
.
HIP 30314: is a binary whose components are separated by 16.2 arcsec.
HIP 31711: is a binary whose components are separated by 0.8 arcsec and for which
.
Since our periodogram exhibits several peaks of similar power, we adopt the period from Cutispoto et al. (1999), which gives a reasonably smooth light curve.
TYC 1355 214 1: our rotation period agrees with that determined by Norton et al. (2007).
HIP 36108: is a binary whose components are separated by 1.20 arcsec and with
.
HIP 36349: is a binary whose components are separated by 0.3 arcsec and with
.
Our period agrees with the period P=1.642 d of Koen & Eyer (2002) derived from the Hipparcos photometry.
HIP 76768: is a binary whose components are separated by 0.9 arcsec and with
.
Our period P = 3.70 d differs from the period P = 0.336 d reported in the ACVS, which is absent in our periodogram.
The latter period, if correct, and
km s-1
would imply a pole-on orientation of the rotation axis.
BD-13 4687: the
km s-1 is from da Silva et al. (2009).
HIP 93375: is a binary whose components are separated by 11.2 arcsec (Torres et al. 2008). The
is from Nordstrom et al. (2004).
HIP 94235: the
is from Nordstrom et al. (2004).
TYC 1090-0543: our analysis gives a rotation period in agreement with the period P=2.2374 d found by Norton et al. (2007).
HIP 106231: our period analysis inferred the most significant periodicity to be P=0.42312, which agrees with the known LO Peg rotation period from both ACVS and the literature (e.g., Jeffries et al. 1994). The
is from Barnes et al. ( 2005).
HIP 113597: is a binary whose components are separated by 1.8 arcsec and with
.
HIP 114530: is a binary whose components are separated by 19.6 arcsec and with
.
PW And: the rotation period is taken from the literature (Strassmeier & Rice 2006), no ASAS photometry being
available. The
is from Strassmeier & Rice (2006).
HIP 26401: is a binary whose components are separated by 3.9 arcsec and with
.
HIP 63742: is an astrometric (Hipparcos) and spectroscopic (Gunther & Esposito 2007) binary.
We adopt the rotation period from Gaidos et al. (2000), no ASAS photometry being available. The
is from Zuckerman et al. (2004).
HIP 86346: is a triple system whose brightest component has a close companion at 0.2 arcsec (Hortmuth et al. 2007) and a companion at 19.1 arcsec. We adopt the rotation period from Henry et al. (1995),
no ASAS photometry being available. Both B-V and V-I colours are taken from Weis (1993). The
is from Zuckerman et al. (2004).
HIP 114066: we adopt the rotation period of Koen & Eyer (2002), no ASAS photometry being available. The
is from Zuckerman et al. (2004).
HIP 16563: is a binary whose components are separated by 9.5 arcsec and have
.
We adopt the rotation period of Messina (1998), no ASAS photometry being available.
HIP 12635-12638: is a binary whose components are separated by 14.6 arcsec and for which
.
HIP 110526AB is a binary whose components are separated by 1.8 arcsec and for which
.
References
- Alekseev, I. Y. 1996, Astron. Rep., 40, 74 [NASA ADS] [Google Scholar]
- Alencar, S. H. P., & Bathala, C. 2002, ApJ, 571, 378 [NASA ADS] [CrossRef] [Google Scholar]
- Allain, S. 1998, A&A, 333, 629 [NASA ADS] [Google Scholar]
- Baraffe, I., Chabrier, G., Allard, F., & Hauschildt, P. 1998, A&A, 337, 403 [NASA ADS] [Google Scholar]
- Barnes, S. 2003, ApJ, 586, 464 [NASA ADS] [CrossRef] [Google Scholar]
- Barnes, J. R., Collier Cameron, A., Lister, T. A., Pointer, G. R., & Still, M. D. 2005, MNRAS, 356, 1501 [NASA ADS] [CrossRef] [Google Scholar]
- Bessel, M. S. 1979, PASP, 91, 589 [NASA ADS] [CrossRef] [Google Scholar]
- Beuzit, J.-L., Feldt, M., Dohlen, K., et al. 2008, Ground-based and Airborne Instrumentation for Astronomy II, ed. I. S. McLean, & M. M. Casali, Proc. SPIE, 7014, 701418 [Google Scholar]
- Biller, B. A., Close, L. M., Masciadri, E., et al. 2007, ApJS, 173, 143 [NASA ADS] [CrossRef] [Google Scholar]
- Bouvier, J. 2008, A&A, 489, 53 [Google Scholar]
- Burrows, A., Marley, M., Hubbard, W. B., et al. 1997, ApJ, 491, 856 [NASA ADS] [CrossRef] [Google Scholar]
- Chauvin, G., Thomson, M., Dumas, C., et al. 2003, A&A, 404, 157 [NASA ADS] [CrossRef] [EDP Sciences] [Google Scholar]
- Chauvin, G., Lagrange, A.-M., Zuckerman, B., et al. 2005, A&A, 438, 29 [Google Scholar]
- Chauvin, G., Lagrange, A.-M., Bonavita, M., et al. 2009, A&A, 2010, 509, 52 [Google Scholar]
- Collier Cameron, A., Davidson, V. A., Hebb, L., et al. 2009, MNRAS, 400, 451 [NASA ADS] [CrossRef] [Google Scholar]
- Cutispoto, G. 1998a, A&AS 127, 207 [NASA ADS] [CrossRef] [EDP Sciences] [Google Scholar]
- Cutispoto, G. 1998b, A&AS 131, 321 [NASA ADS] [CrossRef] [EDP Sciences] [Google Scholar]
- Cutispoto, G., & Rodonò, M. 1988, IBVS, 3232 [Google Scholar]
- Cutispoto, G., Pastori, L., Tagliaferri, G., Messina, S., & Pallavicini, R. 1999, A&AS, 138, 87 [Google Scholar]
- Cutispoto, G., Pastori, L., Guerrero, A., et al. 2000 A&A, 364, 205 [Google Scholar]
- Cutispoto, G., Messina, S., & Rodonò, M. 2001, A&A, 367, 910 [NASA ADS] [CrossRef] [EDP Sciences] [Google Scholar]
- Cutispoto, G., Pastori, L., Pasquini, L., et al. 2002 A&A, 384, 491 [Google Scholar]
- Cutispoto, G., Messina, S., & Rodonò, M. 2003, A&A, 400, 659 [NASA ADS] [CrossRef] [EDP Sciences] [Google Scholar]
- da Silva, L., Torres, C. A. O., de la Reza, R. et al. 2009, A&A, 508, 833 [NASA ADS] [CrossRef] [EDP Sciences] [Google Scholar]
- De La Reza, R., & Pinzon, G. 2004, AJ, 128, 1812 [NASA ADS] [CrossRef] [Google Scholar]
- Delfosse, X., Forveille, T., Beuzit, J.-L., et al. 1999, A&A, 344, 897 [NASA ADS] [Google Scholar]
- Favata, F., Barbera, M., Micela, G., & Sciortino, S. 1995, A&A, 295, 147 [NASA ADS] [Google Scholar]
- Feigelson, E. D., Lawson, W. A., Stark, M., Townsley, L., & Garmire, G. P. 2006, AJ, 131, 1730 [NASA ADS] [CrossRef] [Google Scholar]
- Gaidos, E. J., Henry, G. W., & Henry, S. M. 2000, AJ, 120, 1006 [NASA ADS] [CrossRef] [Google Scholar]
- Guenther, E. W., & Esposito, M. 2007 [arXiv:0701293] [Google Scholar]
- Guenther, E. W., Esposito, M., Mundt, R., et al. 2007, A&A, 467, 1147 [NASA ADS] [CrossRef] [EDP Sciences] [Google Scholar]
- Jeffries, R. D., Byrne, P. B., Doyle, J. G., et al. 1994, MNRAS, 270, 153 [NASA ADS] [CrossRef] [Google Scholar]
- Hartman, J. D., Gaudi, B. S., Pinsonneault, M. H., et al. 2009, ApJ, 691,342 [NASA ADS] [CrossRef] [Google Scholar]
- Hebb, L., Petro, L., Ford, H. C., et al. 2007, MNRAS, 379, 63 [NASA ADS] [CrossRef] [Google Scholar]
- Henry, G. W., Fekel, F. C., Hall, D. S. 1995, AJ, 110, 2926 [NASA ADS] [CrossRef] [Google Scholar]
- Herbst, W., & Mundt, R. 2005, ApJ, 633, 967 [NASA ADS] [CrossRef] [Google Scholar]
- Herbst, W., & Wittenmyer, R. 1996, BA&AS, 28, 1338 [Google Scholar]
- Herbst, W., Bailer-Jones, C. A. L., Mundt, R., Meisenheimer, K., & Wackermann, R. 2002, A&A, 396, 513 [NASA ADS] [CrossRef] [EDP Sciences] [Google Scholar]
- Herbst, W., Eislöffel, J., Mundt, R., & Scholz, A. 2007, Protostars and Planets V, ed. B. Reipurth, D. Jewitt, & K. Keil (Tucson: University of Arizona Press), 951, 297 [Google Scholar]
- Hodgkin, S. T., Irwin, J. M., Aigrain, S., et al. 2006, AN, 327, 9 [NASA ADS] [CrossRef] [Google Scholar]
- Hormuth, F., Brandner, W., Hippler, S., Janson, M., & Henning, T. 2007, A&A, 463, 707 [NASA ADS] [CrossRef] [EDP Sciences] [Google Scholar]
- Horne, J. H., & Baliunas, S. L. 1986, ApJ, 302, 757 [NASA ADS] [CrossRef] [Google Scholar]
- Kasper, M., Apai, D., Janson, M., & Brandner, W. 2007, A&A, 472, 321 [NASA ADS] [CrossRef] [EDP Sciences] [Google Scholar]
- Kawaler, S. D. 1988, ApJ, 333, 236 [NASA ADS] [CrossRef] [Google Scholar]
- Keppens, R., MacGregor, K. B., & Charbonneau, P. 1995, A&A, 294, 469 [NASA ADS] [Google Scholar]
- Koen, C., & Eyer, L. 2002, MNRAS, 331,45 [NASA ADS] [CrossRef] [Google Scholar]
- Konopacky, Q. M., Ghez, A. M., Duchêne, G., McCabe, C., & Macintosh, B. A. 2007, AJ, 133, 2008 [NASA ADS] [CrossRef] [Google Scholar]
- Kovacs, G. 1981, Ap&SS, 78, 175 [NASA ADS] [CrossRef] [EDP Sciences] [Google Scholar]
- Krishnamurthi, A., Pinsonneault, M. H., Barnes, S., & Sofia, S. 1997, ApJ, 480, 303 [NASA ADS] [CrossRef] [Google Scholar]
- Innis, J., Coates, D. W., Kaye, T. G., Borisova, A., Tsvetkov, M. 2007, Peremennye Zvezdy, 27, 4 [NASA ADS] [Google Scholar]
- Irwin, J., Aigrain, S., Bouvier, J., et al. 2009, MNRAS, 392, 1456 [NASA ADS] [CrossRef] [MathSciNet] [Google Scholar]
- Lamm, M. H., Bailer-Jones, C. A. L., Mundt, R., Herbst, W., & Scholz, A. 2004, A&A, 417, 557 [NASA ADS] [CrossRef] [EDP Sciences] [Google Scholar]
- Lanza, A. F. 2010, A&A, 512, A77 [NASA ADS] [CrossRef] [EDP Sciences] [Google Scholar]
- Lanza, A. F., Bonomo, A. S., Moutou, C., et al. 2010, A&A, in press[arXiv:1005.3602] [Google Scholar]
- Lawson, W. A., & Crause, L. A. 2005, MNRAS, 357, 1399 [NASA ADS] [CrossRef] [Google Scholar]
- Lepine, S., & Simon, M. 2009, AJ, 137, 3632 [NASA ADS] [CrossRef] [Google Scholar]
- Lowrance, P. J., McCarthy, C., & Becklin, E. E. 1999, ApJ, 512, 69 [Google Scholar]
- Luhman, K. L., Stauffer, J. R., & Mamajek, E. E., 2005, ApJ, 628, L69 [NASA ADS] [CrossRef] [Google Scholar]
- MacGregor, K. B., & Brenner, M. 1991, ApJ, 376, 204 [NASA ADS] [CrossRef] [Google Scholar]
- Marois, C., Macintosh, B., Barman, T., et al. 2008, Sci, 322, 1348 [NASA ADS] [CrossRef] [Google Scholar]
- Messina, S. 1998, Ph.D. Thesis, University of Catania [Google Scholar]
- Messina, S. 2007, Mem. Soc. Astron. Ital., 78, 628 [NASA ADS] [Google Scholar]
- Messina, S., Rodonó, M., & Guinan, E. F. 2001, A&A, 366, 215 [NASA ADS] [CrossRef] [EDP Sciences] [Google Scholar]
- Messina, S., Pizzolato, N., Guinan, E. F., & Rodonó, M. 2003, A&A, 410, 671 [NASA ADS] [CrossRef] [EDP Sciences] [Google Scholar]
- Messina, S., Rodonó, M., & Cutispoto, G. 2004, AN, 325, 660 [NASA ADS] [Google Scholar]
- Messina, S., Distefano, E., Parihar, P., et al. 2008, A&A, 483, 253 [NASA ADS] [CrossRef] [EDP Sciences] [Google Scholar]
- Messina, S., Parihar, P., Koo, J.-R., et al. 2010, A&A, 513A, 29 [Google Scholar]
- Neuhäuser, R., Guenther, E. W., Alves, J., et al. 2003, AN, 324, 535 [Google Scholar]
- Nielsen, E. L., & Close, L. M. 2010, ApJ, 717, 878 [NASA ADS] [CrossRef] [Google Scholar]
- Nordstrom, B., Mayor, M., Andersen, J., et al. 2004, A&A, 418, 989 [NASA ADS] [CrossRef] [EDP Sciences] [Google Scholar]
- Norton, A. J., Wheatley, P. J., West, R. G., et al. 2007, A&A, 467, 785 [NASA ADS] [CrossRef] [EDP Sciences] [Google Scholar]
- O'Dell, M. A., Hendry, M. A., & Collier Cameron, A. 1994, MNRAS, 268, 181 [NASA ADS] [CrossRef] [Google Scholar]
- Ortega, V. G., Jilinski, E., de la Reza, R., & Bazzanella, B. 2007, MNRAS, 377, 441 [NASA ADS] [CrossRef] [Google Scholar]
- Parihar, P., Messina, S., Distefano, E., Shantikumar N., S., & Medhi, B. J. 2009, MNRAS, 400, 603 [NASA ADS] [CrossRef] [Google Scholar]
- Pasquini, L., Cutispoto, G., Gratton, R., & Mayor M. 1991, A&A 248, 72, 80 [NASA ADS] [Google Scholar]
- Perryman, M. A. C., Lindegren, L., Kovalevsky, J., et al. 1997, A&A, 323, 49 [Google Scholar]
- Pojmanski G. 1997, Acta Astron., 47, 467 [NASA ADS] [Google Scholar]
- Pojmanski G. 1998, Acta Astron., 48, 35 [Google Scholar]
- Pojmanski G. 2002, Acta Astron., 52, 397 [NASA ADS] [Google Scholar]
- Pojmanski G. 2003, Acta Astron., 53, 341 [NASA ADS] [Google Scholar]
- Pont, F. 2009, MNRAS, 396, 1789 [NASA ADS] [CrossRef] [Google Scholar]
- Press, W. H., Teukolsky, S. A., Vetterling, W. T., & Flannery, B. P. 1992, Numerical Recipes, Cambridge University [Google Scholar]
- Prosser, C. F., Stauffer, J., & Kraft, R. P. 1991, AJ, 101, 1361 [NASA ADS] [CrossRef] [Google Scholar]
- Quast, G. R., Torres, C. A. O., de La Reza, R., et al. 2000, The Formation of Binary Stars, ed. Bo Reipurth, & Hans Zinnecker, IAU Symp. 200, 28 [Google Scholar]
- Radick, R. R., Thompson, D. T., Lockwood, G. W., Duncan, D. K., & Bagget, W. E. 1987, ApJ, 321, 459 [NASA ADS] [CrossRef] [Google Scholar]
- Rebull, L. M., Madikon, R. B., Strom, S. E., et al. 2002, AJ, 123, 1528 [NASA ADS] [CrossRef] [Google Scholar]
- Rebull, L. M., Wolff, S. C., & Strom, S. E. 2004, AJ, 127, 1029 [NASA ADS] [CrossRef] [Google Scholar]
- Reid, N. 2003 MNRAS, 342, 837 [Google Scholar]
- Rhode, K. L., Herbst, W., & Mathieu, R. D. 2001, AJ, 122, 3258 [NASA ADS] [CrossRef] [Google Scholar]
- Rodonò, M., Cutispoto, G., Pazzani, V., et al. 1986, A&A, 165, 135 [NASA ADS] [Google Scholar]
- Rucinski, S. M., & Krautter, J. 1983, A&A, 121, 217 [NASA ADS] [Google Scholar]
- Rucinski, S. M., Slavek, M., Matthews, J. M., et al. 2008, MNRAS, 391, 1913 [NASA ADS] [CrossRef] [MathSciNet] [Google Scholar]
- Scargle, J. D. 1982, ApJ, 263, 835 [NASA ADS] [CrossRef] [Google Scholar]
- Schwarnemberg-Czerny, A. 1989, MNRAS, 241, 153 [NASA ADS] [CrossRef] [Google Scholar]
- Scholz, A., Coffey, J., Brandeker, A., & Jayawardhana, R. 2007, ApJ, 662, 1254 [NASA ADS] [CrossRef] [Google Scholar]
- Scholz, A., Eisloffel, J., & Mundt, R. 2009, MNRAS, 400, 1548 [NASA ADS] [CrossRef] [Google Scholar]
- Setiawan, J., Weise, P., Henning, Th., et al. 2008, in Precision Spectroscopy in Astrophysics, ed. N.C. Santos, L. Pasquini, A. C. M. Correia, & M. Romaniello, 201 [arXiv:0704.2145] [Google Scholar]
- Skelly, M. B., Unruh, Y. C., Collier Cameron, A., et al. 2008, MNRAS, 385, 708 [NASA ADS] [CrossRef] [Google Scholar]
- Stassun, K. G., Mathieu, R. D., Mazeh, T., & Vrba, F. 1999, AJ, 117, 2941 [NASA ADS] [CrossRef] [Google Scholar]
- Stauffer, J. R. 1982a, AJ, 87, 899 [NASA ADS] [CrossRef] [Google Scholar]
- Stauffer, J. R. 1982b, AJ, 87, 1507 [NASA ADS] [CrossRef] [Google Scholar]
- Stauffer, J. R. 1984, Optical and infrared photometry of late type stars in the Pleiades, ApJ, 280, 189 [Google Scholar]
- Stauffer, J. R., Hartmann, L. W., Burnham, J. N., & Jones, B. F. 1985, ApJ, 289, 247 [NASA ADS] [CrossRef] [Google Scholar]
- Stauffer, J. R., Hartmann, L. W., & Jones, B. F. 1989, ApJ, 346, 160 [NASA ADS] [CrossRef] [Google Scholar]
- Strassmeier, K. G., & Rice, J. B. 2000 A&A, 360, 1019 [Google Scholar]
- Strassmeier, K. G., & Rice, J. B. 2006, A&A, 460, 715 [Google Scholar]
- Strassmeier, K. G., Bartus, J., Cutispoto, G. & Rodonò, M. 1997, A&AS, 125, 11 [Google Scholar]
- Tagliaferri, G., Cutispoto, G., Pallavicini, R., Randich, S., & Pasquini, L. 1994, A&A, 285, 272 [NASA ADS] [Google Scholar]
- Teixeira, R., Ducourant, C., Chauvin, G., et al. 2009, A&A, 503, 281 [NASA ADS] [CrossRef] [EDP Sciences] [Google Scholar]
- Torres, G., Stefanik, R. P., Latham, D. W., & Mazeh, T. 1995, ApJ, 452, 870 [NASA ADS] [CrossRef] [Google Scholar]
- Torres, C. A. O., Quast, G. R., da Silva, L., et al. 2006, A&A, 460, 695 [NASA ADS] [CrossRef] [EDP Sciences] [Google Scholar]
- Torres, C. A. O., Quast, G. R., Melo, C. H. F., & Sterzik, M. F. 2008, Handbook of Star Forming Regions, II: The Southern Sky ASP Monograph Publications, ed. Bo Reipurth, 5, 757 [arXiv:0808.3362] [Google Scholar]
- Urban, S. E., Corbin, T. E., & Wycoff, G. L. 1998, AJ, 115, 2161 [NASA ADS] [CrossRef] [Google Scholar]
- Viana Almeida, P., Santos, N. C., Melo, C., et al. 2009, A&A, 501, 965 [NASA ADS] [CrossRef] [EDP Sciences] [Google Scholar]
- von Braun, Lee, B. L., Seager, S., et al. 2005, PASP, 117, 141 [NASA ADS] [CrossRef] [Google Scholar]
- Weis, E. W. 1993, AJ, 195, 1962 [NASA ADS] [CrossRef] [Google Scholar]
- Wichmann, R., Schmitt, J. H. M. M., & Hubrig, S. 2003, A&A 399, 983 [NASA ADS] [CrossRef] [EDP Sciences] [Google Scholar]
- Zuckerman, B., & Song, I. 2004, Ann. Rev. Astron. Astr., 42, 685 [Google Scholar]
- Zuckerman, B., Song, I., & Bessell, M. S. 2004, ApJ, 613, L65 [NASA ADS] [CrossRef] [Google Scholar]
- Zuckerman, B., Bessell, M. S., Song, I., & Kim, S. 2006, ApJ, 649, L11 [Google Scholar]
Online Material
Table A.1: TW Hydrae association.
Table A.2:
Pictoris association.
Table A.3: Tucana/Horologium association.
Table A.4: Columba association.
Table A.5: Carina association.
Table A.6: AB Doradus association.
Table A.7: Summary of period search.
|
Figure A.1: ASAS V-band light curves of TW Hydrae (confirmed and rejected) members. Top panel: V-band data time series, where different colour are used to mark different time intervals. second panel from top: rotation period vs. time detected with a confidence level over 99%; third panels: periodogram ( left) and spectral window function ( right). Horizontal line indicate the power level corresponding to a 99% confidence level. Vertical solid line in the periodogram indicates the peak corresponding to the adopted rotation period. Bullets are beats of the rotation period. The vertical dotted line indicates that rotation period differs from the period at the spectral window function maximum. Bottom panel: light curve phase with the adopted rotation period. Solid line is a sinusoidal fit with the rotation period. |
| Open with DEXTER | |
|
Figure A.2: TWA members: continued from Fig. A.1. |
| Open with DEXTER | |
|
Figure A.3:
ASAS V-band light curves of |
| Open with DEXTER | |
|
Figure A.4:
|
| Open with DEXTER | |
|
Figure A.5:
|
| Open with DEXTER | |
|
Figure A.6:
|
| Open with DEXTER | |
|
Figure A.7: ASAS V-band light curves of Tucana/Horologium members. See Fig. A.1 for explanation. |
| Open with DEXTER | |
|
Figure A.8: Tucana/Horologium members: continued from Fig. A.7. |
| Open with DEXTER | |
|
Figure A.9: Tucana/Horologium members: continued from Fig. A.8. |
| Open with DEXTER | |
|
Figure A.10: Tucana/Horologium members: continued from Fig. A.9. |
| Open with DEXTER | |
|
Figure A.11: ASAS V-band light curves of Columba members. See Fig. A.1 for explanation. |
| Open with DEXTER | |
|
Figure A.12: Columba members: continued from Fig. A.11. |
| Open with DEXTER | |
|
Figure A.13: Columba members: continued from Fig. A.12. |
| Open with DEXTER | |
|
Figure A.14: ASAS V-band light curves of Carina members. See Fig. A.1 for explanation. |
| Open with DEXTER | |
|
Figure A.15: Carina members: continued from Fig. A.14. |
| Open with DEXTER | |
|
Figure A.16: Carina members: continued from Fig. A.15. |
| Open with DEXTER | |
|
Figure A.17: ASAS V-band light curves of AB Doradus members. See Fig. A.1 for explanation. |
| Open with DEXTER | |
|
Figure A.18: AB Doradus members: continued from Fig. A.17. |
| Open with DEXTER | |
|
Figure A.19: AB Doradus members: continued from Fig. A.18. |
| Open with DEXTER | |
|
Figure A.20: AB Doradus members: continued from Fig. A.19. |
| Open with DEXTER | |
|
Figure A.21: AB Doradus members: continued from Fig. A.20. |
| Open with DEXTER | |
|
Figure A.22: AB Doradus members: continued from Fig. A.21. |
| Open with DEXTER | |
Footnotes
- ... 100 pc
- Tables A.1-A.7 and Figs. A.1-A.22 are only available in electronic form at http://www.aanda.org
- ...
- Based on the All Sky Automated Survey photometric data.
- ... Carina
- This association should not be confused with the closer but older Carina-Near moving group identified by Zuckerman et al. (2006).
- ...
- Available in the online material.
All Tables
Table 1: Name, abbreviation, age, and mean distance of the nearby associations under study (Torres et al. 2008), together with the number of known members; late-type (later than F) members selected for period search; total number of periodic members; periodic members discovered from ASAS photometry; periodic members with period adopted from the literature; new periods determined from this study (and periods revised by us with respect to earlier literature values).
Table 2:
Summary of results of the comparison between
and equatorial velocity.
Table 3: TW Hydrae association.
Table 4:
As in Table 3 for the
Pictoris association.
Table 5: As in Table 3 for the Tucana/Horologium association.
Table 6: As in Table 3 for the Columba association.
Table 7: As in Table 3 for the Carina association.
Table 8: As in Table 3 for the AB Doradus moving group.
Table 9: Polynomial fit coefficients to derive V-I from B-V colour, for stars with no V-I observations.
Table 10: List of target associations/clusters, age, number of stars used to make the statistics, median and mean rotation period, and significance level that consecutive period distributions are drawn from the same distribution.
Table A.1: TW Hydrae association.
Table A.2:
Pictoris association.
Table A.3: Tucana/Horologium association.
Table A.4: Columba association.
Table A.5: Carina association.
Table A.6: AB Doradus association.
Table A.7: Summary of period search.
All Figures
|
Figure 1: Representative example of light curves in our sample. V-band data time series in the left panels and phased light curve in the right panels together with the sinusoidal fit to the rotation period (thick solid line). Different symbols and colours help identify measurements collected in different time intervals. |
| Open with DEXTER | |
| In the text | |
|
Figure 2: Top panel: stellar V-magnitudes versus (vs.) time of TYC 9390 0322 1. Second panel from top: rotation periods vs. time detected with a confidence level over 99%. Third panels (left): periodogram with evidence of 4 peaks with confidence level larger than 99%. Large bullets represent the peaks related to beat periods. Third panels (right): window function with evidence of a peak at about 1 day related to the data sampling. The vertical dotted line indicates that the P=1.858 d period is not affected by the window function peak. Bottom panel: example light curve with data collected from HJD 2444367 to 2444644 and phased with the P=1.858 d rotation period. The solid line is a sinusoidal fit. |
| Open with DEXTER | |
| In the text | |
|
Figure 3: Photometric precision and peak-to-peak variability amplitude vs. V-band magnitude of target stars. |
| Open with DEXTER | |
| In the text | |
|
Figure 4: Our rotation periods as a function of the periods derived from either ACVS or the literature. Straight solid lines represent the loci where our periods are equal to, or are a factor of either 0.5 or 2 longer than the literature values. The curved lines represent the loci of beat periods, according to Eq. (1). |
| Open with DEXTER | |
| In the text | |
|
Figure 5:
|
| Open with DEXTER | |
| In the text | |
|
Figure 6: Colour-magnitude diagrams of the six associations under analysis with overplotted PMS tracks (solid lines) from Baraffe et al. (1998). Different symbols indicate stars belonging to different association/clusters; the symbol size is proportional to the rotation period. Dots represent cluster stars with unknown rotation period. Black symbols represent stars whose V - I colour is derived from B -V. |
| Open with DEXTER | |
| In the text | |
|
Figure 7: Empirical relation to derive V-I from B-V colours for the Tucana/Horologium members lacking V-I measurements. |
| Open with DEXTER | |
| In the text | |
|
Figure 8: Histogram of masses for the complete sample of periodic stars inferred by comparison with Baraffe et al. (1998) evolutionary tracks. |
| Open with DEXTER | |
| In the text | |
|
Figure 9:
Rotation period distribution of AB Dor members as compared to |
| Open with DEXTER | |
| In the text | |
|
Figure 10:
Rotation period distribution of TWA and |
| Open with DEXTER | |
| In the text | |
|
Figure 11:
Histograms of the rotation period distribution at the ages considered in the present study in the mass range
|
| Open with DEXTER | |
| In the text | |
|
Figure 12: Rotation period evolution vs. time in the 0.6-1.2 ( left panel) and in the 0.8-1.2 ( right panel) solar mass ranges. Small dots represent the individual rotation period measurements. Bullets connected by solid lines are the median periods, whereas asterisks connected by dotted lines are mean periods. Short horizontal lines represent the 25th and 75th percentiles of rotation period. |
| Open with DEXTER | |
| In the text | |
|
Figure 13:
V-band peak-to-peak light curve amplitude vs. rotation period. Circled symbols are stars whose |
| Open with DEXTER | |
| In the text | |
| |
Figure 14: Similar to Fig. 13 but with data of coeval stars plotted together. Solid lines mark the upper bound of the amplitude distribution, which decreases with rotation period. |
| Open with DEXTER | |
| In the text | |
|
Figure A.1: ASAS V-band light curves of TW Hydrae (confirmed and rejected) members. Top panel: V-band data time series, where different colour are used to mark different time intervals. second panel from top: rotation period vs. time detected with a confidence level over 99%; third panels: periodogram ( left) and spectral window function ( right). Horizontal line indicate the power level corresponding to a 99% confidence level. Vertical solid line in the periodogram indicates the peak corresponding to the adopted rotation period. Bullets are beats of the rotation period. The vertical dotted line indicates that rotation period differs from the period at the spectral window function maximum. Bottom panel: light curve phase with the adopted rotation period. Solid line is a sinusoidal fit with the rotation period. |
| Open with DEXTER | |
| In the text | |
|
Figure A.2: TWA members: continued from Fig. A.1. |
| Open with DEXTER | |
| In the text | |
|
Figure A.3:
ASAS V-band light curves of |
| Open with DEXTER | |
| In the text | |
|
Figure A.4:
|
| Open with DEXTER | |
| In the text | |
|
Figure A.5:
|
| Open with DEXTER | |
| In the text | |
|
Figure A.6:
|
| Open with DEXTER | |
| In the text | |
|
Figure A.7: ASAS V-band light curves of Tucana/Horologium members. See Fig. A.1 for explanation. |
| Open with DEXTER | |
| In the text | |
|
Figure A.8: Tucana/Horologium members: continued from Fig. A.7. |
| Open with DEXTER | |
| In the text | |
|
Figure A.9: Tucana/Horologium members: continued from Fig. A.8. |
| Open with DEXTER | |
| In the text | |
|
Figure A.10: Tucana/Horologium members: continued from Fig. A.9. |
| Open with DEXTER | |
| In the text | |
|
Figure A.11: ASAS V-band light curves of Columba members. See Fig. A.1 for explanation. |
| Open with DEXTER | |
| In the text | |
|
Figure A.12: Columba members: continued from Fig. A.11. |
| Open with DEXTER | |
| In the text | |
|
Figure A.13: Columba members: continued from Fig. A.12. |
| Open with DEXTER | |
| In the text | |
|
Figure A.14: ASAS V-band light curves of Carina members. See Fig. A.1 for explanation. |
| Open with DEXTER | |
| In the text | |
|
Figure A.15: Carina members: continued from Fig. A.14. |
| Open with DEXTER | |
| In the text | |
|
Figure A.16: Carina members: continued from Fig. A.15. |
| Open with DEXTER | |
| In the text | |
|
Figure A.17: ASAS V-band light curves of AB Doradus members. See Fig. A.1 for explanation. |
| Open with DEXTER | |
| In the text | |
|
Figure A.18: AB Doradus members: continued from Fig. A.17. |
| Open with DEXTER | |
| In the text | |
|
Figure A.19: AB Doradus members: continued from Fig. A.18. |
| Open with DEXTER | |
| In the text | |
|
Figure A.20: AB Doradus members: continued from Fig. A.19. |
| Open with DEXTER | |
| In the text | |
|
Figure A.21: AB Doradus members: continued from Fig. A.20. |
| Open with DEXTER | |
| In the text | |
|
Figure A.22: AB Doradus members: continued from Fig. A.21. |
| Open with DEXTER | |
| In the text | |
Copyright ESO 2010
Current usage metrics show cumulative count of Article Views (full-text article views including HTML views, PDF and ePub downloads, according to the available data) and Abstracts Views on Vision4Press platform.
Data correspond to usage on the plateform after 2015. The current usage metrics is available 48-96 hours after online publication and is updated daily on week days.
Initial download of the metrics may take a while.
![\begin{figure}
\par\includegraphics[angle=90,width=14.5cm,clip]{644fg1.ps}
\end{figure}](/articles/aa/full_html/2010/12/aa13644-09/Timg12.png)
![\begin{figure}
\par\includegraphics[angle=360,width=12cm,clip,]{644fg2.eps}
\end{figure}](/articles/aa/full_html/2010/12/aa13644-09/Timg20.png)
![\begin{figure}
\par\includegraphics[angle=0,width=7.5cm,clip]{644fg3.ps}
\end{figure}](/articles/aa/full_html/2010/12/aa13644-09/Timg28.png)
![\begin{figure}
\par\includegraphics[angle=0,width=8cm,clip]{644fg4.ps}
\end{figure}](/articles/aa/full_html/2010/12/aa13644-09/Timg29.png)
![\begin{figure}
\par\includegraphics[width=8cm,clip]{644fg5.ps}
\end{figure}](/articles/aa/full_html/2010/12/aa13644-09/Timg34.png)

![\begin{figure}
\par\includegraphics[angle=90,width=7.5cm,clip]{644fg12.ps}
\end{figure}](/articles/aa/full_html/2010/12/aa13644-09/Timg61.png)
![\begin{figure}
\par\includegraphics[angle=0,width=8cm,clip]{644fg13.ps}
\end{figure}](/articles/aa/full_html/2010/12/aa13644-09/Timg62.png)
![\begin{figure}
\par\includegraphics[angle=0,width=8cm,clip]{644fg15.ps}\vspace*{2mm}
\end{figure}](/articles/aa/full_html/2010/12/aa13644-09/Timg63.png)
![\begin{figure}
\par\includegraphics[angle=0,width=9cm,clip]{644fg16.ps}\vspace*{2mm}
\end{figure}](/articles/aa/full_html/2010/12/aa13644-09/Timg64.png)
![\begin{figure}
\par\includegraphics[angle=0,width=8cm,clip]{644fg17.eps}
\end{figure}](/articles/aa/full_html/2010/12/aa13644-09/Timg66.png)
![\begin{figure}
\par\mbox{\includegraphics[width=9cm,height=10cm,clip]{644fg18.ps}\includegraphics[width=9cm,height=10cm,clip]{644fg19.ps} }\end{figure}](/articles/aa/full_html/2010/12/aa13644-09/Timg67.png)

![\begin{figure}
\par\mbox{\includegraphics[angle=0,width=7.5cm,height=5.0cm,clip]...
...degraphics[angle=0,width=7.5cm,height=5.0cm,clip]{644f37.ps} }
\par
\end{figure}](/articles/aa/full_html/2010/12/aa13644-09/Timg127.png)
![\begin{figure}
\par\mbox{\includegraphics[angle=0,width=9cm,height=6.0cm,clip]{6...
...\includegraphics[angle=0,width=9cm,height=6.0cm,clip]{644f41.ps} }\end{figure}](/articles/aa/full_html/2010/12/aa13644-09/Timg128.png)
![\begin{figure}
\par\mbox{\includegraphics[width=8cm,height=6.0cm,clip]{644f42.ps...
...4f48.ps}\includegraphics[width=8cm,height=6.0cm,clip]{644f49.ps} }\end{figure}](/articles/aa/full_html/2010/12/aa13644-09/Timg129.png)


















