| Issue |
A&A
Volume 520, September-October 2010
|
|
|---|---|---|
| Article Number | A54 | |
| Number of page(s) | 15 | |
| Section | Stellar structure and evolution | |
| DOI | https://doi.org/10.1051/0004-6361/201014114 | |
| Published online | 04 October 2010 | |
Lucky Imaging survey for southern M dwarf binaries
,![[*]](/icons/foot_motif.png)
C. Bergfors1,
- W. Brandner1 - M. Janson2 - S. Daemgen3 - K. Geissler1 - T. Henning1 - S. Hippler1 - F. Hormuth1 - V. Joergens1,4 - R. Köhler1,5
1 - Max-Planck-Institut für Astronomie, Königstuhl 17, 69117
Heidelberg, Germany
2 - University of Toronto, Dept. of Astronomy, 50 St George Street, Toronto, ON, M 5S 3H8, Canada
3 - European Southern Observatory, Karl-Schwarzschild Strasse 2, 85748 Garching, Germany
4 - Zentrum für Astronomie Heidelberg, Institut für Theoretische Astrophysik, Albert-Ueberle-Str. 2, 69120 Heidelberg, Germany
5 - Landessternwarte, Zentrum für Astronomie der Universität Heidelberg, Königstuhl, 69117 Heidelberg, Germany
Received 21 January 2010 / Accepted 1 June 2010
Abstract
Context. While M dwarfs are the most abundant stars in
the Milky Way, there is still large uncertainty about their basic
physical properties (mass, luminosity, radius, etc.) as well as their
formation environment. Precise knowledge of multiplicity
characteristics and how they change in this transitional mass region,
between Sun-like stars on the one side and very low mass stars and
brown dwarfs on the other, provide constraints on low mass star and
brown dwarf formation.
Aims. In the largest M dwarf binary survey to date, we
search for companions to active, and thus preferentially young,
M dwarfs in the solar neighbourhood. We study their
binary/multiple properties, such as the multiplicity frequency and
distributions of mass-ratio and separation, and identify short period
visual binaries, for which orbital parameters and hence dynamical mass
estimates can be derived in the near future.
Methods. The observations are carried out in the SDSS
and
band using the Lucky Imaging camera AstraLux Sur at the ESO 3.5 m
New Technology Telescope. Lucky Imaging is a very efficient way of
observing a large sample of stars at an angular resolution close to the
diffraction limit.
Results. In the first part of the survey, we observed 124
M dwarfs of integrated spectral types M 0-M 6 and
identified 34 new and 17 previously known companions to 44 stars.
We derived relative astrometry and component photometry for these
binary and multiple systems. More than half of the binaries have
separations smaller than 1
and
would have been missed in a simply seeing-limited survey. Correcting
our sample for selection effects yields a multiplicity fraction of
% for 108 M dwarfs within 52 pc and with angular separations of 0.1
,
corresponding to projected separations of 3-180 AU at median distance 30 pc. Compared to early-type M dwarfs (
), later-type (and hence lower mass) M dwarf binaries appear to have closer separations, and more similar masses.
Key words: techniques: high angular resolution - binaries: visual - stars: low-mass - brown dwarfs
1 Introduction
M dwarfs form a link between solar-type stars and brown dwarfs,
two mass regions that exhibit very different multiplicity
characteristics. Because
properties such as binary fraction, period distribution, and mass-ratio
distribution provide important constraints on models of star formation
and dynamical evolution (Burgasser et al. 2007; Goodwin et al. 2007),
precise knowledge of multiplicity characteristics and how they change
within this transitional mass region is important to understanding the
formation of low-mass stars and brown dwarfs. Repeated astrometric
observations of binary systems can also provide dynamical mass
estimates, which are crucial to the empirical calibration of the
mass-luminosity relation and
evolutionary models.
While being well known for solar-type stars, these relations are not
very well constrained for lower mass stars. Theoretical models have
been shown to underpredict the masses of M dwarfs (
)
by 5-20%, and are particularly
inconsistent for masses below
(e.g., Hillenbrand & White 2004).
It is generally agreed upon that the binary fraction
decreases with decreasing stellar mass (see, e.g., review by Burgasser et al. 2007). While the binary fraction of Sun-like stars is
57%
(Duquennoy & Mayor 1991) over the full range of orbital separations, the fraction of
multiple stars decreases to
26-42% for M 0-M 6 dwarfs (Reid & Gizis 1997; Fischer & Marcy 1992; Delfosse et al. 2004). For very
low mass stars (
)
and brown dwarfs, the binary frequency is only 10-30% (e.g., Reid et al. 2008; Bouy et al. 2003; Joergens 2008; Goldman et al. 2008). These previous
surveys of M dwarfs are limited to relatively small individual sample sizes, the largest until now being that of Delfosse et al. (2004), which consisted of 100 stars.
Whether the observed multiplicity characteristics are smooth functions of mass - implying that very low mass stars (VLMSs) and brown dwarfs (BDs) form like more massive stars - or if another process is primarily responsible for the formation of VLMSs and BDs, is debated. The multiplicity distributions of VLMSs and BDs show some important differences from those of Sun-like stars. The semi-major axis distribution of VLMSs and BDs is narrow and peaks at small separations (3-10 AU, e.g., Burgasser et al. 2007), in strong contrast to the separation distribution of solar-type binaries, which is wide and peaks at around 30 AU (Duquennoy & Mayor 1991). The mass-ratio distribution also differs for VLMSs and BDs from that of Sun-like stars, showing a clear preference for equal mass binaries (e.g., Burgasser et al. 2007) as opposed to the flat distribution of the more massive stars (Duquennoy & Mayor 1991). For M dwarfs, the mass range in-between, Fischer & Marcy (1992) found a relatively flat mass-ratio distribution, while Reid & Gizis (1997) found a preference for almost equal mass systems. The differences in binary characteristics have been argued by, e.g., Thies & Kroupa (2007) to support the existence of two populations, ``star-like'' and ``BD-like'', which are formed by different processes.
The AstraLux M dwarf survey (Hormuth et al. 2009) investigates the multiplicity characteristics of low-mass stars using high-resolution Lucky Imaging performed by the two
AstraLux instruments, AstraLux Norte at the Calar Alto 2.2 m telescope (Hormuth et al. 2008) and AstraLux Sur at NTT at La Silla (Hippler et al. 2009). The full survey will
include
800 stars in the range of spectral types M 0-M 6 within 52 pc from the Sun, selected from the Riaz et al. (2006)
catalogue of young, nearby late-type stars. The choice of observing
young stars is motivated by the higher sensitivity to substellar
companions, which at young ages are still warm and hence brighter and
easier to detect than around older stars. A 0.072
brown dwarf is 3.2 mag brighter in I-band at the age of 0.5 Gyr than at an age of 5 Gyr
(Baraffe et al. 2003).
Thus, by surveying young M dwarfs we can also detect brown dwarf
companions with masses close to the stellar/substellar boundary.
The large sample will allow a detailed statistical analysis of
multiplicity characteristics, in the mass region between Sun-like stars
and brown dwarfs where these
properties change drastically. Follow-up observations of close, nearby
multiple systems will also enable dynamical masses to be determined,
allowing calibration of the mass-luminosity relation for stars less
massive than 0.5
.
We present here the first southern sky sample, consisting of 124 M dwarfs.
2 Observations and data reduction
2.1 Observations
The first subsample of the 124 nearby M dwarfs presented here (see Table 1) was observed with the AstraLux Sur high resolution camera mounted at the Nasmyth B focus of the ESO 3.5 m
New Technology Telescope (NTT) at La Silla on November 12-16, 2008. The targets were selected from the Riaz et al. (2006) catalogue of
1000 nearby active M dwarfs.
All of our targets have spectral types M 0-M 6 and lie within 52 pc of the Sun.
We do not have direct age estimates for more than a few individual stars (see Appendix), although
the Riaz et al. (2006)
sample was compiled by correlating 2MASS with ROSAT data, and the
sample as a whole, based on its typically strong coronal emission and
low tangential velocity (<40 km s-1), is very likely young.
AstraLux Sur (Hippler et al. 2009) is a high-speed electron multiplying camera for Lucky Imaging observations at the NTT. The instrument is an almost identical copy of the common user AstraLux Norte camera at the Calar Alto 2.2 m telescope (Hormuth et al. 2008).
The Lucky Imaging principle is to minimize atmospheric seeing effects by taking many (
10 000) very short exposures (
10 ms)
of the target, thereby effectively ``freezing'' the
atmosphere in each image. Only the least distorted few percent of the
frames, selected on the basis of Strehl ratio, are then combined to
achieve almost diffraction-limited resolution. The Drizzle algorithm (Fruchter & Hook 2002) shifts and adds the slightly undersampled raw images by centering on the brightest pixel, thereby generating an oversampled
output image with a pixel scale of
15.37 mas (Hormuth et al. 2008).
On each night of observations, the M dwarf targets were observed in either the SDSS
or
filter. Each star was observed in full-frame mode (FoV 15.74
,
integration time 29.45 ms) and in
some cases, if the
flux was high enough, in subframe mode (FoV 7.87
,
integration time 15.29 ms), allowing for shorter integration times and hence less distortion by atmospheric
turbulence. Twilight sky-flats were
obtained whenever the weather conditions were suitable, otherwise we used dome flats.
Astrometric reference stars in 47 Tuc and Trapezium (see Köhler et al. 2008) were observed several times each night, allowing us to determine the
platescale and detector orientation. We assume atmospheric refraction to cause a negligible amount of field distortion
(
1 mas) since separations between the binaries are small. The IRAF geomap
procedure was used to determine the platescale of the drizzled images
to be 15.373 mas/px with a mean scaling uncertainty of
0.002 mas/px, and a rotation angle of
.
2.2 Photometry and astrometry of the candidate binaries/multiples
Binary separations, position angles, and magnitude differences in SDSS
and
filters were obtained for each binary/multiple system by fitting model PSFs from a set
of reference stars (see Bouy et al. 2003).
We used single stars from our observed sample with symmetric PSFs as
references. The astrometric and photometric values presented
are weighted averages of several measurements. The weighting is based
on the residuals of the PSF fits. In our analysis, we primarily used
the highest quality 10% selection of 10 000 integrations with
30 ms exposure time each, yielding a total integration time of
30 s per target and filter. In a few rare cases, we used the 1%
selection to achieve a slightly higher astrometric accuracy.
Since the Lucky Imaging produces a stellar PSF with an almost
diffraction-limited core and a seeing halo, high-pass filtering was
implemented before fitting the model PSF when the stellar companion was
much fainter than the primary star and close enough to reside within
the halo. For the astrometric parameters (binary separation and
position angle), we used only the
-band images since they are affected by less atmospheric refraction than the
-band frames. For the wide binaries
(separation
),
the PSFs of the companions do not overlap and we used the IRAF aperture photometry task phot
for the astrometry and photometry. This approach produces results with
approximately the same uncertainty as the PSF fitting procedure. A
combination of the two procedures was employed in a
few cases for the triple systems. The dominant errors in the determined
position angles arise from the uncertainty in field rotation (see
Sect. 2.1) and is therefore
assumed to be 0.3
for all systems. The average error in separation is 4 mas.
If the two stars are close and of similar magnitude, the Lucky Imaging
drizzle combination sometimes centres on the secondary star instead of
the primary, leading to the appearance of a fake third stellar
component in the image. In that case, a ghost stellar image appears at
the same separation from the primary but at a 180
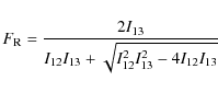
angle from the real secondary. To recover the flux ratio of the two ``real'' binary components from the fake triple,
we measured the flux of the three components and used the ``de-tripling'' equation of Law (2006) given by
|
(1) |
where
Table 1 lists the complete sample of observed stars with integrated spectral type, distance, J magnitude, and log[
/
]
from Riaz et al. (2006), the
filter(s) in which the star
was observed and corresponding epoch. Table 2 lists the astrometric and photometric properties derived for the binary/multiple systems in our sample. Component A is
the primary star, which is
defined as the brightest of the components in
-band. Figure 1 shows all observed multiple
systems with separations closer than 1
,
and Fig. 2 shows the wider systems with separations of between 1
and 5.5
.
Brightness differences achieved are
typically 3.5 mag for angular separations
and
6 mag at
(Fig. 3).
3 Results
3.1 Stellar ages and spectral types
The observed sample is, as a whole, assumed to be young (
600 Myr), based on its typically strong coronal emission and low tangential velocity (Riaz et al. 2006).
As the velocity dispersion of stars steadily increases with time (e.g., Seabroke & Gilmore 2007), the low tangential velocities of smaller than 40 km s
of the stars in the Riaz et al. (2006) sample combined with activity indicators provide evidence of their youth. Holmberg et al. (2009),
e.g., calibrated the age-velocity relation
(AVR) for FG stars. By scaling their 3D AVR of FG stars to the
tangential (2D) velocity dispersion of our sample of M dwarfs, we
derive an upper age limit of
1 Gyr.
The spectral types of the individual components in the multiple systems were estimated to a precision of
1 subclasses following the method of
Daemgen et al. (2007). We assumed that
the flux ratios of the individual components obtained from the PSF
fitting are linearly related to the integrated spectral types provided
by Riaz et al. (2006).
This relation was combined with the Kraus & Hillenbrand (2007) magnitude - spectral type relations, using linear interpolation to derive individual spectral types in
0.5 subclasses. Table 3 summarises the separate component spectral types.
The spectral types were determined from observations in both filters
and
when available,
which are in most cases consistent and otherwise noted in the Appendix.
For some stars, we derived primary star spectral types that are 0.5
subclasses earlier than the integrated spectral types. The primary
spectral type range for the multiple systems is thus K7.5-M 5.5
(see Table 3). Only the systems where the
primary star has a spectral type M 0 or later are used in the statistical analysis.
The Kraus & Hillenbrand (2007)
relations can be used for spectral types no later than L0. However, we
estimate that five of the companions are of later spectral type. Four
of these objects were only observed in
filter (see Appendix). For these five companions, we do not determine
the spectral types in any more detail than ``later than L0'' until we
can assign more precise spectral types using future spectroscopic
observations. The
multiple systems containing these faint objects are excluded from the
following mass ratio analysis, because of their unknown spectral types
(and hence unknown masses).
|
Figure 1:
AstraLux Sur images of the systems closer than 1
|
| Open with DEXTER | |
|
Figure 2:
AstraLux Sur images of the systems with separations between 1
|
| Open with DEXTER | |
3.2 Binary/multiplicity fraction
In our sample of 124 observed M dwarfs in the integrated spectral
type range M 0-M 6, we find 51 companions belonging
to 44 stars in the angular separation range 0.1
-9.5
and
-band magnitude difference
.
The observed number of single:binary:triple:quadruple stars is 80:38:5:1. However, the survey is most
likely insensitive to companions fainter than
in the
angular separation range 0.1
-0.5
,
and is incomplete for separations greater than 6
because of the small FoV. Figure 3 shows the
-band magnitude difference achieved
as a function of the component angular separation and the typical
detection limit.
Figure 4
depicts the number of binaries per angular separation. The distribution
is strongly peaked at close separations, with more than half of the
companions being within 1
to
the primary star,
suggesting that the vast majority of the observed binaries are indeed
physical companions and not the product of background star
contamination. While most companions were discovered in this survey (34
stars, see Table 2), some of the binaries in our sample were already known to be comoving pairs and some are confirmed
here by second epoch observations (17 companions, see Table 2 and Appendix).
For the following statistical analysis (multiplicity fraction, mass ratio distribution, and separation distribution), we exclude stars/systems
- that lie farther than 52 pc from the Sun (J06061342-0337082);
- components of the binary/multiple systems with separations greater than 6
from the primary star (the components J06583980-2021526C, J08224744-5726530C,
and the systems J21103147-2710578 and J22171899-0848122);
- binary/multiple systems for which we derive primary spectral type earlier than M 0 (J01452133-3957204, J04071148-2918342, J04373746-0229282), or which are part of a wider known system containing a primary star of spectral type earlier than M 0 (J04373746-0229282, J07174710-2558554);
- ``single'' stars that are not really single but part of a wide, known system partly outside our field of view.
- all the single stars in our sample are indeed single, to the best of our knowledge;
- the binary/multiple statistics is limited to stars/systems
with primary spectral type M 0-M 6, for stars that lie within
52 pc of the Sun and have separations in the range
(see Table 1).
| Figure 3:
Observed |
|
| Open with DEXTER | |
To compute the actual multiplicity frequency, we need to consider two effects: (i) at small separations, we detect more equal brightness binaries than systems with large component brightness differences; and (ii) a brightness-limited sample is biased in favour of (previously unresolved) binaries or multiple systems compared to single stars.
Assuming that the flux ratio distribution is independent of the
separation in the observed range (which can be transformed into a flat
mass ratio distribution), we estimate the number of multiple systems of
close separations that we miss using the following method.
We divide the number of binaries in Fig. 3 of observed
as a function of angular separation
into four different regions of interest. Assuming that
our sample is complete to
between angular separation 0.5
-3
and complete to
for closer separations,
the ratio of companions in the region
,
and
,
is the same as the ratio of companions in
,
and
,
.
This would result in the survey missing two binary companions in the
close separation - high flux ratio region, hence the total multiple
fraction should be increased to
.
We compute the multiplicity fraction for a volume-limited sample,
,
following the method and Eq. (4) of Burgasser et al. (2003)
where
Table 3: Individual spectral types and projected separations.
| Figure 4:
Binary separation in arcsec for all observed binary systems with separation
|
|
| Open with DEXTER | |
While both multiplicity fractions f and
agree within the uncertainties, in the following we assume a multiplicity fraction
,
as the brightness limit is primarily imposed by the X-ray luminosity. We note that some overabundance of short-period binaries (P<20 days)
might be present in the X-ray selected sample, but this cannot be
quantified until future radial velocity observations have been
performed. We also note that this fraction might still include a small
contamination by non-physical
(``optical'') binaries, as second-epoch observations for some of the
systems are still pending, although we reiterate that the fraction of
binaries that are merely optical
must be very small (see Fig. 4).
|
Figure 5: Multiplicity fraction for each spectral type. The dark grey bins show all observed stars of each spectral type after selection criteria described in Sect. 3.2 have been imposed on the observed sample. The light grey bins represent the number of multiple systems in the survey. |
| Open with DEXTER | |
3.3 Mass ratio distribution
The individual component photometric spectral types from
Sect. 3.1 are transformed to approximate masses using the mass estimates of Kraus & Hillenbrand (2007) for young (
500 Myr) stars.
We interpolate linearly
to obtain masses for subclasses of 0.5 and calculate the mass-ratios, q=M2/M1.
The binaries where the secondary star is suspected to be an L dwarf are
not included in the mass-ratio distribution because of the high
uncertainties in mass. We
also exclude components at separations greater than
from the primary star and systems where the primary star is of spectral type earlier than M 0 (see Tables 2
and 3).
Since we also wish to include the triple systems in the multiplicity
statistics, and all of our triple systems consist of one close pair and
one wider component, we follow Reid & Gizis (1997) and calculate the triple mass-ratio as if the system consists of two separate binary
systems, one close pair
and one wider system with the combined mass of the close system as the higher mass component, e.g.,
.
The quadruple system J06583980-2021526 contains one close pair of
spectral types M 4+M 4 and two more distant suspected L
dwarfs, (one of which is also outside the
limit).
This system is, therefore, treated as a regular binary system, ignoring the two fainter components.
The mass-ratio distribution has been seen to vary from a flat
distribution among solar-type stars to peak at almost equal mass
systems for VLMSs and brown dwarfs (see e.g., Allen 2007, and references therein). Figure 6 shows the mass-ratio distribution for our M 0-M 5.5 binaries compared
to the distribution for all known
VLMS and brown dwarf binaries compiled from the Very Low Mass Binaries Archive
(total system mass <
).
We applied small updates to the July 28, 2009 version of
the archive. Almost equal mass binaries are preferred for VLMSs/brown
dwarfs, but the M dwarf distribution is much flatter.
While our sensitivity limit makes our survey incomplete at the low
mass-ratio end of the distribution, equal mass systems should easily be
seen.
The lack of a peak near
is therefore a real property of the M dwarf binary systems in the separation range
.
We note that the mass-ratio distribution for VLMSs and BDs might be flatter in the case of very young systems (Burgasser et al. 2007).
The samples are however very
small, even if we account for more recently discovered systems, and we
are therefore unable to address the age effects. No correlation between
mass-ratio and component separation is seen in our sample.
Table 4: Number of systems used in multiplicity and mass-ratio analysis.
|
Figure 6: Mass-ratio distribution.
The dark grey distribution shows the mass-ratios of the AstraLux
M dwarf binaries. The light grey distribution shows all known
VLM
binaries (
|
| Open with DEXTER | |
When we divide our sample into early M dwarfs of primary spectral type M 0-M 3 (
)
and late M dwarfs of spectral type M 3.5-M 5.5 (
),
we see some indication of a
peak in the distribution around
for the late type M dwarfs that is not present in the very flat f(q) distribution of the early type M dwarfs (see Fig. 7).
Assuming that our survey is not complete for mass-ratios q<0.4, a Kolmogorov-Smirnov (K-S) test shows that the probability that the ``early-M'' and the ``late-M'' mass-ratios
are drawn from the same distribution is 10%.
This might indicate that the shape
of the mass ratio distribution is a function of mass, which approaches the
peak for the lower mass stars.
However, this division into seemingly different populations should be
assumed with caution. For mid- to late-M dwarfs, the mass -
spectral type relation becomes very steep. Thus, a large brightness
difference corresponds to only a very small change in mass for lower
mass objects. Hence, a detection limit of
magnitudes, which we assume to be valid for all stars in the sample, corresponds to a
mass-ratio
completeness
for early-type M dwarfs, while the same detection limits correspond to completeness only for
for an M 3.5 primary star and
for an M 5
primary. While the missing
peak is an unbiased feature, the sensitivity to lower q values is strongly dependent on spectral type.
With more observations from the full
AstraLux M dwarf survey, we will be able to investigate these distributions in greater detail.
|
Figure 7:
Mass-ratio distribution divided into early-M type primaries
(M 0-M 3) and late-M type (M 3.5-M 5.5).
Triple systems are included as described in Sect. 3.3. Systems
where one component is a suspected L dwarf and components at
separations greater than
|
| Open with DEXTER | |
3.4 Distribution of separations
From the parallax distances, if available, and otherwise the spectroscopic distances provided by Riaz et al. (2006), we calculate the projected separation in astronomical units. The uncertainty in spectroscopic distance according to Riaz et al. (2006) is
|
Figure 8: Projected separation distributions. The darker grey shows the M dwarf binaries/triples in our sample and the light grey shows VLMS/BD binaries from the Very Low Mass Binaries Archive. |
| Open with DEXTER | |
As for the mass-ratio distribution, we divide the observed systems into
two groups, containing approximately equal number of systems, to see if
the separation distribution is the same for ``early M'' and ``late M''
type binaries divided at
.
Figure 9 shows the respective mean semi-major axis
distributions, where the projected separation has been multiplied with 1.26 to account for random orbital elements (Fischer & Marcy 1992).
We performed a K-S test, which yielded a 9% probability that the
distributions are alike. We note that the distributions may peak at
close systems in the ``late M'' subsample, however more data is
necessary to determine whether this is a real property or not.
|
Figure 9: Distribution of mean semi-major axis for ``early M'' and ``late M'' primary spectral types. The binaries are divided into two groups: ``early type M'', consisting of the binaries with a primary spectral type M 0-M 3, and ``late type M'' for primary spectral types M 3.5-M 5.5. All separations are measured from the primary stars. |
| Open with DEXTER | |
4 Discussion
M dwarfs comprise a transitional region within which the multiplicity properties change from being similar to those of solar-type stars to the very different characteristics of very low mass stars and brown dwarfs. Smaller surveys of different mass ranges have provided some insight into the transitional behaviour.We observed 124 nearby M dwarfs from the Riaz et al. (2006) catalogue. Forty-four of our targets were observed to have potential binary/multiple companions within
of the primary star. Most of these companions were previously unknown.
We have estimated the multiplicity fraction for M 0-M 6
young (
600 Myr) dwarfs with angular separations
,
corresponding to projected separation 3-180 AU at median distance 30 pc,
in this largest sample to date to be
.
While differences in the binary fraction have been found in various nearby star-forming regions (Brandner & Köhler 1998; Leinert et al. 1993; Köhler et al. 2006; Ghez et al. 1993),
observations of the 90 Myr old
Persei
and the 600 Myr old Praesepe clusters suggest that the companion
star fraction does not significantly decline over an age
range from 90 Myr to 5 Gyr (Patience et al. 2002). We therefore did not expect there to be a strong evolution in binary properties from ages
100 Myr to a few Gyr.
Our derived
is consistent with previous
surveys in the same mass and separation range for field dwarfs (e.g., the multiplicity fraction of the Fischer & Marcy (1992) sample for
M 0-M 4 systems with linear separation
2.6 <a<300 AU is
,
according to Close et al. 2003) and young M dwarfs (23% for <300 Myr
M 0-M 5 binaries with separations 1.6-300 AU, Daemgen et al. 2007). This is a higher
than found in high resolution imaging surveys
of later type M field dwarfs (e.g., Law et al. (2008) 13.6% for M 4.5-M 6; Close et al. (2003) 15% for M 8-L0.5; Siegler et al. (2005) 9% for M 6-M 7.5).
Previous large investigations inferred different behaviours for the mass ratio distribution of M dwarfs. For instance,
Fischer & Marcy (1992) found that
the mass ratio distribution for M 0-M 6 dwarfs is relatively
flat for the full orbital separation range, while
Reid & Gizis (1997) found a strong peak for
.
However, Delfosse et al. (2004) showed in their large survey that the
distribution of mass-ratio is relatively flat for orbital periods P>50 days, while shorter period binaries tend to have equal masses.
When considering only systems in the survey of Reid & Gizis (1997)
with M dwarf primaries (M 0.5-M 5.5) and mean semi-major axis
3.7 <a<227 AU, the same
region probed in this survey, we find that the distribution is flat
(although the sample is very small with only 16 companions). We
therefore expect our distribution to be flat as well, in accordance
with those of other surveys.
We have found that the mass-ratio distribution of all binaries in the
primary spectral type range M 0-M 5.5 is flatter than the
distribution for VLMSs and BDs and does not exhibit the prominent peak
at
detected for the VLMS/BD sample. This is consistent with the results of Reid & Gizis (1997)
over the same range of linear separations, and a real feature for
M dwarfs in the observed separation range not affected by
observational incompleteness.
To investigate the transitional properties, we divided our sample into
two groups of ``early M'' and ``late M'' primary stars and found that
the ``early M''
distribution is relatively flat, while there might be a preference for
more similar mass binaries in the ``late M'' group. Future analysis of
the full AstraLux M dwarf survey will allow us to investigate this
possible trend in more detail.
Thies & Kroupa (2007) argued that
the differences in binary characteristics of stars and brown dwarfs
point to different but related formation processes for these
two populations. In their survey of M 4.5-M 6 binaries, Law et al. (2008)
found a bimodal separation distribution where the later type
M dwarfs peak at close
separations as seen for brown dwarfs, but some of the earlier systems
have projected separations greater than 10 AU. This is indicative
of a change in the separation distributions at spectral type
M 5, consistent with the Thies & Kroupa (2007) predictions of two separate but overlapping populations.
For later type M dwarfs, Siegler et al. (2005) find no binaries with separations a>10 AU in their high-resolution imaging survey of M 6-M 7.5 field
dwarfs covering separations 3-300 AU, and Close et al. (2003) find no binaries wider than 16 AU for the M 8-L0.5 dwarfs in the same separation range.
We divide our separation distribution into ``early M'' and ``late M'' groups at
.
Even though our sample contains
somewhat more massive stars than that of Law et al. (2008),
the distribution of ``early M'' multiples is flatter than the ``late
M'' distribution in which more than half of the companions reside
within 20 AU of the primary star. While our results are still
subject to relatively large statistical uncertainties,
we note that they may indicate that a bimodal distribution also exist
for larger separations and higher masses than the sample of Law et al. (2008). This will be investigated further in the larger sample of the complete survey.
These results show that Lucky Imaging with AstraLux Sur is very
efficient at detecting binary stars with small angular separations.
Several of our newly discovered
companions presented here have been found to be close to the
diffraction limit (
). Future follow-up observations with AstraLux Sur will allow us to determine
orbital motions and hence dynamical masses for the closest nearby systems.
We thank the anonymous referee for helpful comments and suggestions leading to an improved paper. This publication has made use of the Very-Low-Mass Binaries Archive housed at http://www.vlmbinaries.org and maintained by Nick Siegler, Chris Gelino, and Adam Burgasser. This research has made use of the SIMBAD database, operated at CDS, Strasbourg, France.
Table 5: Separations and position angles for previously known multiple systems.
Appendix A: Notes on individual binaries and multiple systems
Table 5 summarises our measured angular separations and position angles, and published results for previously known components.
J00503319+2449009
This star, also known as GJ 3060A or NLTT 2805, is a flare star (Norton et al. 2007) with a known stellar companion, NLTT 2804. The Catalog of Components of
Double & Multiple Stars (CCDM, Dommanget & Nys 2002) provides the astrometric measurements
and
for epoch 1960.
Hipparcos observations provide positions of the two components of
and
(epoch 1991.25, Perryman & ESA 1997).
Strigachev & Lampens (2004)
present photometric and astrometric observations of visual double stars
and for this binary estimate the angular separation to be
and the position angle
(epoch 2002.64).
Our measured separation is
and position angle
,
indicating orbital motion.
J01093874-0710497 This is a high proper motion star with
=-235.5 mas/yr and
mas/yr. Also known as HIP 5443, it is a
Hipparcos double star (Perryman & ESA 1997) with separation
and position angle
(epoch 1991.25).
We measure the separation
and position angle
,
hence both components form a common proper motion pair. The small change in separation
and position angle in the more than 15 years that have passed between the Hipparcos and our measurements can be attributed to orbital motion.
J01365516-0647379 The primary star is a high proper motion star for which Shkolnik et al. (2009)
estimated an age between 25 and 300 Myr. Because of its
faint magnitude, the secondary star could not be seen at the time of
observation but only after additional analysis. The star therefore
ended up partly outside the
field of view in the
-band observation and we present only
-band data in this paper.
J02165488-2322133 In 2MASS PSC (Cutri et al. 2003), we find the star J02165465-2322103 at separation
and position angle
from our
primary (epoch 1998.67), which corresponds well to our measured separation
and position angle
.
J02335984-1811525 In this double system, the B component is brighter than the A component in
-band. Since the
and
band observations
were performed on different
nights, the unusual
colour might indicate that the star is variable or possibly of T Tauri-type.
We tentatively assign spectral types M 3
1 + M 3.5
1 to the stars, but further investigation of this couple is necessary to determine their characteristics.
J02490228-1029220 The B and C components of this triple star are close,
corresponding to 4.93 AU.
J03033668-2535329 The primary star is a high proper motion star also known as NLTT 9775.
We measure a separation
between the two companions.
A possible candidate for the secondary star is the high proper motion star LTT 1453, which has J2000 coordinates
,
,
at an angular separation of 1.42
from our primary star.
Frankowski et al. (2007) studied the binary content of the
Hipparcos catalogue, listing the primary star as a candidate proper motion binary.
J04080543-2731349 The images in both
- and
-band of this binary are affected by ``fake tripling''. The real B component and the fake triple are
equally bright in
-band but unequal in
.
This means that, although unlikely, the true position angle might be systematically incorrect by 180
.
J04132663-0139211 This binary system was discovered by McCarthy et al. (2001), with a separation
and position angle
(epoch 1998.9). We measure
and
,
indicating significant orbital motion between observations. In our
observations,
the B component is brighter than the A component in
-band. Since the
and
band observations were performed on different nights,
the unusual
colour may indicate that the star is variable or possibly of T Tauri-type. If our secondary star is the primary star of
McCarthy et al. (2001), the position angle is instead
.
We tentatively assign the stars spectral types M
+ M
,
but further investigation of this double system is needed to determine its character.
J04373746-0229282 The primary star is also known as GJ 3305, a member of the young
Pictoris moving group (Zuckerman et al. 2001), which has an
estimated age of 12 Myr (Shkolnik et al. 2009). The faint close companion that we see was discovered by Kasper et al. (2007) in their L-band NACO imaging of young, nearby stars in
search of substellar companions. Kasper et al. (2007) present NACO K-band data from the ESO/ST-ECF Science Archive with which they determine the separation
and position angle
(epoch 2003.05), and their obtained L-band data for which
and position angle
(epoch 2004.95), and the proper motion combined points to a bound companion in a highly eccentric orbit. Our observations
are affected by the stellar companion ghost image at 180
discussed in Sect. 2.2, which may cause uncertainty in the true position angle. However, the
assumed position at
and
is consistent with physical companionship, and with the non-detection of the secondary companion by
Daemgen et al. (2007) (epoch 2005.74) indicates that the orbit has a high
inclination, i.e., is seen close to edge-on.
Feigelson et al. (2006) agree with Zuckerman et al. (2001) and conclude from the proper
motion and stellar activity that GJ 3305 is part of a wide binary system (
,
or
2000 AU at 30 pc) with the F0 star 51 Eri. Since the
primary star is then of earlier spectral type than M 0, the system is not included in our statistical analysis.
J04441107-7019247 This is a previously known visual binary, also known as HD 270712. Mason et al. (2001) provides the astrometric measurements
and
for epoch 1990. We measure
and
,
indicating orbital motion.
J05254166-0909123 This high proper motion binary (NLTT 15049) was discovered by Daemgen et al. (2007), at a separation of
and
position angle
(epoch 2005.78). We assign spectral types M 3.5+M 4 to the couple, consistent with the spectral types of Daemgen et al. (2007). We find a separation
and position angle
,
indicating
significant orbital motion. Shkolnik et al. (2009) estimates the age of the stars to between 35 and 300 Myr.
J06583980-2021526 This possibly quadruple system consists of one
close M 4+M 4 pair and two more distant suspected L dwarfs.
The two faintest components (C and D) are separated from the brightest
star by
and
,
respectively, and had not been discovered at the time of observation. They therefore ended up outside
the FoV in
-band. The separation between components A and B is
,
and the two faint stars C and D are separated by
with position angle
.
The separation between the primary star and the C component is greater than our completeness
limit, and the component is therefore not included in the statistical analysis.
J07102991-1637350 The tertiary companion is too faint in
for accurate photometry and astrometry. We therefore present only
-band data in this
paper.
J07105990-5632596 We obtain different spectral types for the secondary star in
and
(SpT
M 5.5, SpT
M 4). Since we did not observe the stars in both filters on the
same night, the brightness of either companion might have changed from
one observation to the next if the stars are variable. We tentatively
assign the secondary spectral type M 4.5
1.
J07174710-2558554 Our primary star is also known as
CD-25 4322B, the secondary star in a wide double system with CD-25
4322. Our wide but faint
secondary component is not, however, found in any catalogue. The star
CD-25 4322 is an F-star (F0/F3V, Perryman & ESA 1997; Dommanget & Nys 2002) and not
within our field of view (CCDM separation
,
epoch 1897, Dommanget & Nys 2002).
Because of the faintness of our secondary companion, it was not detected at the time of observation and not observed in
.
Since our primary star is
the secondary star in a system with an F-star primary, it is not included in the statistical analysis.
J07285137-3014490 This is a known binary system also known as GJ 2060 (Zuckerman et al. 2004), which was concluded by Allen & Reid (2008) to probably be part
of a quadruple system with another close, equal mass M dwarf binary at a separation of
.
GJ 2060 is a likely member of the
50 Myr old AB Dor
association (Zuckerman et al. 2004).
We obtain spectral types M 1+M 3, while Daemgen et al. (2007) find
spectral types M 0.5+M 1.5. The primary star is a known variable star (V372 Pup).
Daemgen et al. (2007) determine the binary separation and position angle to be
and
(epoch 2002.83), while we find
and
,
indicating significant orbital motion.
J08224744-5726530 The primary star of this triple system is also known as LHS 2005, a high proper motion star.
Our separation and position angle for the tertiary component, which is also known as LHS 2004, is
and
.
This is consistent with data from the 2MASS PSC (Cutri et al. 2003) for the star J08224787-5726451 with a separation
and
position angle
(epoch 1999.99) and is indicative of orbital motion. LHS 2004 and LHS
2005 form a known common proper motion pair. The close secondary was
not previously known. The wide companion was noticed at the time of
observation and fitted into the field of view by placing the primary
star in the corner of the detector for the
-band observations. The wide companion is outside the field of view in
-band. Since the C component separation from the primary is greater than
6
, it is not included in the statistical analysis.
J19425324-4406278 The secondary star is previously unknown. Only
-band images could be used in our analysis since the secondary star was too faint in
.
The position angle, separation, and individual spectral types are therefore obtained from the
-band observation.
J21103147-2710578 The companion is J21103096-2710513 at a 2MASS PSC distance of
and position angle
(epoch 1998.59, Cutri et al. 2003).
We find a separation
,
which is greater than our limits for completeness. The system is therefore not included in the statistical analysis.
J22171899-0848122 This is a known visual binary system where the primary star (also known as V* FG Aqr or GJ 852A) and the secondary star
(J22171870-0848186, or GJ 852B) are both flare stars (Gershberg et al. 1999).
The tertiary companion, close to our secondary star GJ 852B at
and
,
was discovered by Beuzit et al. (2004)
at
and
(epoch 2001.60), hence the system shows orbital motion. The C component is in our observations too faint to
be resolved in
band. Photometric measurements in
for the B component therefore include the very faint flux from the close C component.
The 2MASS PSC (Cutri et al. 2003) infer a proximity of
and position angle of
(epoch 1998.79), relating the positions of GJ 852 A
and GJ 852 B. Our measured separation between these stars is
and position angle
.
J22332264-0936537 Also known as GJ 4282, this flare star was discovered to be a binary by McCarthy et al. (2001), who derived a separation of
and
position angle
for epoch 1997.6. Daemgen et al. (2007) observed a separation of
and
for epoch 2005.44.
We find
and
,
a separation that agrees with previous observations but at a position angle that is clearly inconsistent with
the previous measurements by Daemgen et al. (2007) and McCarthy et al. (2001). With an estimated orbital period of approximately 380 years, we need to assume that our primary
star (the eastern component) is actually the secondary star of Daemgen et al. (2007) and McCarthy et al. (2001), and our revised position angle is in that case
,
indicating orbital motion. Since in our observations the eastern star
is slightly brighter than the western component, one or both of the
stars might be variable, causing
the discrepancy in position angle between our observations and the
observations by McCarthy et al. (2001) and Daemgen et al. (2007).
We assign the stars spectral types M 2.5 and M 3, respectively, in agreement with Daemgen et al. (2007)(M 3+M 3) and Shkolnik et al. (2009) (eastern component M 2.5, western component
M 2.6).
Shkolnik et al. (2009) estimate the age of the system to be 20-150 Myr.
J22382974-6522423 This flare star, which is also known as GJ 865, was identified by Montes et al. (2001) as a possible member of the
600 Myr Hyades supercluster.
The star GJ 865 is part of a known triple system. We observed the two close components, separated by
,
which is in agreement with the
separation
and position angle
found by Perryman & ESA (1997)
for epoch 1991.25. The third companion is outside our field of view, with a separation from our primary star of
(epoch 1974, Dommanget & Nys 2002). While we could not find the spectral type of this companion in literature, the V magnitudes of the three companions differ only slightly
(
,
Dommanget & Nys 2002, where the close components are B and C) and we assume that the third component is also an M star. We therefore
include this system in the binary statistics as an M dwarf binary/multiple system.
J22401867-4931045 This couple of high proper motion stars (Lépine 2005) are also known as LSR J22403-4931W (our primary star) and LSR J22403-4931E located at
,
$^$31
01.4
(J2000). Cutri et al. (2003) found
and
for epoch 1999.72. We measure
and
.
J23581366-1724338 The binary character of this high proper motion star, also known as NLTT 58589, was discovered by Daemgen et al. (2007), who derived the same
individual spectral types M 2+M 2, as we do.
We find
,
in good agreement with the Daemgen et al. (2007) separation
for epoch 2005.54, although our measured position
angle
disagrees with the Daemgen et al. (2007) result of
by
.
Reanalysis of the Gemini data by Daemgen et al. yields a
position angle of
,
which is in good agreement with the AstraLux Sur measurement and indicates some orbital motion.
Shkolnik et al. (2009) determine individual spectral types M 1.9 (north)+M 1.9 (south) and an age of 20-150 Myr for the system.
J23534173-6556543: We also observed this star, which is the
secondary star in a widely separated G0 V+M 1 V system,
and its primary. The primary is HIP 117815 and the secondary is CPD-66
3810B.
Our separation of
at
is in good agreement with Eggenberger et al. (2007)
(
,
epoch 2005.70) for this bound system. This system was only observed in
-band and is not included in any statistical
analysis in this paper because the primary star is a G star.
References
- Allen, P. R. 2007, ApJ, 668, 492 [NASA ADS] [CrossRef] [Google Scholar]
- Allen, P. R., & Reid, I. N. 2008, AJ, 135, 2024 [NASA ADS] [CrossRef] [Google Scholar]
- Baraffe, I., Chabrier, G., Barman, T. S., Allard, F., & Hauschildt, P. H. 2003, A&A, 402, 701 [NASA ADS] [CrossRef] [EDP Sciences] [Google Scholar]
- Beuzit, J., Ségransan, D., Forveille, T., et al. 2004, A&A, 425, 997 [NASA ADS] [CrossRef] [EDP Sciences] [Google Scholar]
- Bouy, H., Brandner, W., Martín, E. L., et al. 2003, AJ, 126, 1526 [NASA ADS] [CrossRef] [Google Scholar]
- Brandner, W., & Köhler, R. 1998, ApJ, 499, L79 [NASA ADS] [CrossRef] [Google Scholar]
- Burgasser, A. J., Kirkpatrick, J. D., Reid, I. N., et al. 2003, ApJ, 586, 512 [NASA ADS] [CrossRef] [Google Scholar]
- Burgasser, A. J., Reid, I. N., Siegler, N., et al. 2007, in Protostars and Planets V, ed. B. Reipurth, D. Jewitt, & K. Keil, 427 [Google Scholar]
- Close, L. M., Siegler, N., Freed, M., & Biller, B. 2003, ApJ, 587, 407 [NASA ADS] [CrossRef] [Google Scholar]
- Cutri, R. M., Skrutskie, M. F., van Dyk, S., et al. 2003, 2MASS All Sky Catalog of point sources., ed. R. M. Cutri, M. F. Skrutskie, S. van Dyk, C. A. Beichman, J. M. Carpenter, T. Chester, L. Cambresy, T. Evans, J. Fowler, J. Gizis, E. Howard, J. Huchra, T. Jarrett, E. L. Kopan, J. D. Kirkpatrick, R. M. Light, K. A. Marsh, H. McCallon, S. Schneider, R. Stiening, M. Sykes, M. Weinberg, W. A. Wheaton, S. Wheelock, & N. Zacarias [Google Scholar]
- Daemgen, S., Siegler, N., Reid, I. N., & Close, L. M. 2007, ApJ, 654, 558 [NASA ADS] [CrossRef] [Google Scholar]
- Delfosse, X., Beuzit, J.-L., Marchal, L., et al. 2004, in Spectroscopically and Spatially Resolving the Components of the Close Binary Stars, ed. R. W. Hilditch, H. Hensberge, & K. Pavlovski, ASP Conf. Ser., 318, 166 [Google Scholar]
- Dommanget, J., & Nys, O. 2000, VizieR Online Data Catalog, 1260, 0 [Google Scholar]
- Dommanget, J., & Nys, O. 2002, VizieR Online Data Catalog, 1274, 0 [Google Scholar]
- Duquennoy, A., & Mayor, M. 1991, A&A, 248, 485 [NASA ADS] [Google Scholar]
- Eggenberger, A., Udry, S., Chauvin, G., et al. 2007, A&A, 474, 273 [NASA ADS] [CrossRef] [EDP Sciences] [Google Scholar]
- Feigelson, E. D., Lawson, W. A., Stark, M., Townsley, L., & Garmire, G. P. 2006, AJ, 131, 1730 [NASA ADS] [CrossRef] [Google Scholar]
- Fischer, D. A., & Marcy, G. W. 1992, ApJ, 396, 178 [NASA ADS] [CrossRef] [Google Scholar]
- Frankowski, A., Jancart, S., & Jorissen, A. 2007, A&A, 464, 377 [NASA ADS] [CrossRef] [EDP Sciences] [Google Scholar]
- Fruchter, A. S., & Hook, R. N. 2002, PASP, 114, 144 [NASA ADS] [CrossRef] [Google Scholar]
- Gershberg, R. E., Katsova, M. M., Lovkaya, M. N., Terebizh, A. V., & Shakhovskaya, N. I. 1999, A&AS, 139, 555 [Google Scholar]
- Ghez, A. M., Neugebauer, G., & Matthews, K. 1993, AJ, 106, 2005 [Google Scholar]
- Goldman, B., Bouy, H., Zapatero Osorio, M. R., et al. 2008, A&A, 490, 763 [NASA ADS] [CrossRef] [EDP Sciences] [Google Scholar]
- Goodwin, S. P., Kroupa, P., Goodman, A., & Burkert, A. 2007, Protostars and Planets V, 133 [Google Scholar]
- Hillenbrand, L. A., & White, R. J. 2004, ApJ, 604, 741 [NASA ADS] [CrossRef] [Google Scholar]
- Hippler, S., Bergfors, C., Brandner, W., et al. 2009, The Messenger, 137, 14 [NASA ADS] [Google Scholar]
- Holberg, J. B., Oswalt, T. D., & Sion, E. M. 2002, ApJ, 571, 512 [NASA ADS] [CrossRef] [Google Scholar]
- Holmberg, J., Nordström, B., & Andersen, J. 2009, A&A, 501, 941 [NASA ADS] [CrossRef] [EDP Sciences] [Google Scholar]
- Hormuth, F., Hippler, S., Brandner, W., Wagner, K., & Henning, T. 2008, in Society of Photo-Optical Instrumentation Engineers (SPIE) Conf. Ser., 7014 [Google Scholar]
- Hormuth, F., Brandner, W., Janson, M., Hippler, S., & Henning, T. 2009, in American Institute of Physics Conference Series, ed. E. Stempels, 1094, 935 [Google Scholar]
- Joergens, V. 2008, A&A, 492, 545 [NASA ADS] [CrossRef] [EDP Sciences] [Google Scholar]
- Kasper, M., Apai, D., Janson, M., & Brandner, W. 2007, A&A, 472, 321 [NASA ADS] [CrossRef] [EDP Sciences] [Google Scholar]
- Köhler, R., Petr-Gotzens, M. G., McCaughrean, M. J., et al. 2006, A&A, 458, 461 [NASA ADS] [CrossRef] [EDP Sciences] [Google Scholar]
- Köhler, R., Ratzka, T., Herbst, T. M., & Kasper, M. 2008, A&A, 482, 929 [NASA ADS] [CrossRef] [EDP Sciences] [Google Scholar]
- Kraus, A. L., & Hillenbrand, L. A. 2007, AJ, 134, 2340 [NASA ADS] [CrossRef] [Google Scholar]
- Law, N. 2006, Ph.D. Thesis Institute of Astronomy & Selwyn College, Cambridge University [Google Scholar]
- Law, N. M., Hodgkin, S. T., & Mackay, C. D. 2008, MNRAS, 384, 150 [NASA ADS] [CrossRef] [Google Scholar]
- Leinert, C., Zinnecker, H., Weitzel, N., et al. 1993, A&A, 278, 129 [NASA ADS] [Google Scholar]
- Lépine, S. 2005, AJ, 130, 1247 [NASA ADS] [CrossRef] [Google Scholar]
- Mason, B. D., Wycoff, G. L., Hartkopf, W. I., Douglass, G. G., & Worley, C. E. 2001, AJ, 122, 3466 [Google Scholar]
- McCarthy, C., Zuckerman, B., & Becklin, E. E. 2001, AJ, 121, 3259 [NASA ADS] [CrossRef] [Google Scholar]
- Montes, D., López-Santiago, J., Gálvez, M. C., et al. 2001, MNRAS, 328, 45 [NASA ADS] [CrossRef] [MathSciNet] [Google Scholar]
- Norton, A. J., Wheatley, P. J., West, R. G., et al. 2007, A&A, 467, 785 [NASA ADS] [CrossRef] [EDP Sciences] [Google Scholar]
- Patience, J., Ghez, A. M., Reid, I. N., & Matthews, K. 2002, AJ, 123, 1570 [NASA ADS] [CrossRef] [Google Scholar]
- Perryman, M. A. C., & ESA 1997, The HIPPARCOS and TYCHO catalogues. Astrometric and photometric star catalogues derived from the ESA HIPPARCOS Space Astrometry Mission, ESA SP, 1200 [Google Scholar]
- Reid, I. N., & Gizis, J. E. 1997, AJ, 113, 2246 [NASA ADS] [CrossRef] [Google Scholar]
- Reid, I. N., Cruz, K. L., Allen, P., et al. 2004, AJ, 128, 463 [NASA ADS] [CrossRef] [Google Scholar]
- Reid, I. N., Cruz, K. L., Burgasser, A. J., & Liu, M. C. 2008, AJ, 135, 580 [NASA ADS] [CrossRef] [Google Scholar]
- Riaz, B., Gizis, J. E., & Harvin, J. 2006, AJ, 132, 866 [NASA ADS] [CrossRef] [Google Scholar]
- Seabroke, G. M., & Gilmore, G. 2007, MNRAS, 380, 1348 [NASA ADS] [CrossRef] [Google Scholar]
- Shkolnik, E., Liu, M. C., & Reid, I. N. 2009, ApJ, 699, 649 [NASA ADS] [CrossRef] [Google Scholar]
- Siegler, N., Close, L. M., Cruz, K. L., Martín, E. L., & Reid, I. N. 2005, ApJ, 621, 1023 [NASA ADS] [CrossRef] [Google Scholar]
- Strigachev, A., & Lampens, P. 2004, A&A, 422, 1023 [NASA ADS] [CrossRef] [EDP Sciences] [Google Scholar]
- Thies, I., & Kroupa, P. 2007, ApJ, 671, 767 [NASA ADS] [CrossRef] [Google Scholar]
- Torres, C. A. O., Quast, G. R., da Silva, L., et al. 2006, A&A, 460, 695 [NASA ADS] [CrossRef] [EDP Sciences] [Google Scholar]
- van Altena, W. F., Lee, J. T., & Hoffleit, E. D. 1995, The general catalogue of trigonometric [stellar] paralaxes, ed. W. F. van Altena, J. T. Lee, & E. D. Hoffleit [Google Scholar]
- Voges, W., Aschenbach, B., Boller, T., et al. 1999, A&A, 349, 389 [NASA ADS] [Google Scholar]
- Zuckerman, B., Song, I., Bessell, M. S., & Webb, R. A. 2001, ApJ, 562, L87 [NASA ADS] [CrossRef] [Google Scholar]
- Zuckerman, B., Song, I., & Bessell, M. S. 2004, ApJ, 613, L65 [NASA ADS] [CrossRef] [Google Scholar]
Online Material
Table 1: Properties of all stars observed 11-16 November 2008.
Table 2: Photometric and astrometric properties of the observed binary/multiple M dwarfs.
Footnotes
- ... binaries
- Based on observations made with ESO Telescopes at La Silla or Paranal Observatories under programme ID 082.C-0053.
- ...
- Tables 1 and 2 are only available in electronic form at http://www.aanda.org
- ...
- Member of the International Max Planck Research School for Astronomy and Cosmic Physics at the University of Heidelberg.
- ... Archive
- http://www.vlmbinaries.org
All Tables
Table 3: Individual spectral types and projected separations.
Table 4: Number of systems used in multiplicity and mass-ratio analysis.
Table 5: Separations and position angles for previously known multiple systems.
Table 1: Properties of all stars observed 11-16 November 2008.
Table 2: Photometric and astrometric properties of the observed binary/multiple M dwarfs.
All Figures
|
Figure 1:
AstraLux Sur images of the systems closer than 1
|
| Open with DEXTER | |
| In the text | |
|
Figure 2:
AstraLux Sur images of the systems with separations between 1
|
| Open with DEXTER | |
| In the text | |
| |
Figure 3:
Observed |
| Open with DEXTER | |
| In the text | |
| |
Figure 4:
Binary separation in arcsec for all observed binary systems with separation
|
| Open with DEXTER | |
| In the text | |
|
Figure 5: Multiplicity fraction for each spectral type. The dark grey bins show all observed stars of each spectral type after selection criteria described in Sect. 3.2 have been imposed on the observed sample. The light grey bins represent the number of multiple systems in the survey. |
| Open with DEXTER | |
| In the text | |
|
Figure 6: Mass-ratio distribution.
The dark grey distribution shows the mass-ratios of the AstraLux
M dwarf binaries. The light grey distribution shows all known
VLM
binaries (
|
| Open with DEXTER | |
| In the text | |
|
Figure 7:
Mass-ratio distribution divided into early-M type primaries
(M 0-M 3) and late-M type (M 3.5-M 5.5).
Triple systems are included as described in Sect. 3.3. Systems
where one component is a suspected L dwarf and components at
separations greater than
|
| Open with DEXTER | |
| In the text | |
|
Figure 8: Projected separation distributions. The darker grey shows the M dwarf binaries/triples in our sample and the light grey shows VLMS/BD binaries from the Very Low Mass Binaries Archive. |
| Open with DEXTER | |
| In the text | |
|
Figure 9: Distribution of mean semi-major axis for ``early M'' and ``late M'' primary spectral types. The binaries are divided into two groups: ``early type M'', consisting of the binaries with a primary spectral type M 0-M 3, and ``late type M'' for primary spectral types M 3.5-M 5.5. All separations are measured from the primary stars. |
| Open with DEXTER | |
| In the text | |
Copyright ESO 2010
Current usage metrics show cumulative count of Article Views (full-text article views including HTML views, PDF and ePub downloads, according to the available data) and Abstracts Views on Vision4Press platform.
Data correspond to usage on the plateform after 2015. The current usage metrics is available 48-96 hours after online publication and is updated daily on week days.
Initial download of the metrics may take a while.
![\begin{figure}
\par\includegraphics[width=15cm,clip]{14114fig1.eps}
\end{figure}](/articles/aa/full_html/2010/12/aa14114-10/Timg33.png)
![\begin{figure}
\par\includegraphics[width=14cm,clip]{14114fig2.eps}
\end{figure}](/articles/aa/full_html/2010/12/aa14114-10/Timg34.png)




