| Issue |
A&A
Volume 520, September-October 2010
|
|
|---|---|---|
| Article Number | A44 | |
| Number of page(s) | 9 | |
| Section | Stellar atmospheres | |
| DOI | https://doi.org/10.1051/0004-6361/201014157 | |
| Published online | 29 September 2010 | |
Doppler imaging of the helium-variable star a Centauri![[*]](/icons/foot_motif.png)
D. A. Bohlender1 - J. B. Rice2 - P. Hechler2
1 - National Research Council of Canada, Herzberg Institute of
Astrophysics, 5071 West Saanich Road, Victoria, BC, V9E 2E7,
Canada
2 -
Department of Physics and Astronomy, Brandon University,
Brandon, MB R7A 6A9, Canada
Received 29 January 2010 / Accepted 14 June 2010
Abstract
Aims. The helium-peculiar star a Cen exhibits
interesting line profile variations of elements such as iron, nitrogen
and oxygen in addition to its well-known extreme helium variability.
The objective of this paper is to use new high signal-to-noise,
high-resolution spectra to perform a quantitative measurement of the
helium, iron, nitrogen and oxygen abundances of the star and determine
the relation of the concentrations of the heavier elements on the
surface of the star to the helium concentration and perhaps to the
magnetic field orientation.
Methods. Doppler images have been created for the elements
helium, iron, nitrogen and oxygen using the programs described in
earlier papers by Rice and others. An alternative surface abundance
mapping code has been used to model the helium line variations after
our Doppler imaging of certain individual helium lines produced
mediocre results.
Results. Doppler imaging of the helium abundance of a Cen
confirms the long-known existence of helium-rich and helium-poor
hemispheres on the star and we measure a difference of more than two
orders of magnitude in helium abundance from one side of the star to
the other. Helium is overabundant by a factor of about 5 over much of
the helium-rich hemisphere. Of particular note is our discovery that
the helium-poor hemisphere has a very high abundance of 3He, approximately equal to the 4He
abundance. a Cen is therefore a new member of the small group of
helium-3 stars and the first well-established magnetic member of the
class. For the three metals investigated here, there are two strong
concentrations of abundance near the equator at longitude roughly 135
consistent with the positive magnetic maximum and two somewhat weaker concentrations of abundance near longitude 315
on the equator near where the helium concentration is centered and
roughly where the negative peak of the magnetic field would be found.
Another strong concentration is found near the equator at about
longitude 45
and this is not explainable in terms of any simple symmetry with the
helium abundance or the apparent magnetic field main polar locations.
Key words: stars: abundances - stars: chemically peculiar - stars: magnetic field - stars: individual: a Cen
1 Introduction
The magnetic peculiar B (Bp) star a Cen (HR 5378, HD 125823, V761 Cen) is
arguably one of the most remarkable members of the Bp class.
As noted by Jaschek & Jaschek (1967) and Jaschek et al. (1968), low-dispersion spectra
show that the MK type of the star, determined primarily by the strengths of
the He I lines, varies between B2 V and B8 IV, while the strengths
of Si II and Si III lines observed at higher dispersion remain
essentially unchanged and correspond to a spectral type of B2.
Norris (1968) demonstrated that at the B2 phase the helium lines are
stronger than in a normal B2 V standard while near B8 the star displays a
pronounced helium deficiency and all except the strongest He I lines disappear.
He also found that the He I equivalent widths,
,
varied
on a
period.
After the discovery of this extreme helium variability, a Cen was studied by numerous authors for its light and colour variability, line excitation anomalies and line strength variations. Norris (1968) failed to detect a magnetic field stronger than 700 G but a relatively weak field was tentatively detected by Wolff & Morrison (1974) and quantitatively confirmed by Borra et al. (1983). Photometric, spectroscopic and magnetic field data all vary on the Norris (1968) period, assumed to be the rotation period of the star.
Qualitative discussions of the distribution of helium on the surface of a Cen have
been given by Norris & Baschek (1972) and Mihalas (1973).
The former proposed a single helium-strong pole on the surface of a Cen while the
latter looked at a number of options including the possibility that the period was
twice as long as the 8
8 period determined from the star's light curve.
For the single wave 8
8 period Mihalas (1973) explored two possibilities for
the helium distribution: a model with two small caps of excess helium abundance with an
inclination of the star of 45
and magnetic obliquity
of 45
,
and a second model with a single cap of excess helium with an inclination of the star of 45
and
of 90
.
The magnetic variations of a Cen measured by Borra et al. (1983) ruled out the two-cap
or symmetric model of Mihalas (1973) as they found the sinusoidal longitudinal
magnetic field curve to be nearly symmetric with extrema of -470 and +430 G.
Maximum He I line strength occurs near the negative magnetic extremum.
Adopting the usual Oblique Rotator Model for the star, their work then leads to the
conclusion that our views of the negative and positive magnetic poles are very similar
so if the inclination is not close to 90
,
then
must be about 90
.
This then seems to be consistent with the ideas presented by Norris & Baschek (1972) and the
single cap model of Mihalas (1973) where a Cen has a single helium-strong cap
centered approximately 90
from the rotational axis (i.e. near the negative
magnetic pole) and the star has an inclination of about 45
.
Considering the star's unique variability and its brightness (V=4.401), it is
somewhat surprising that there has been essentially no detailed investigations of
a Cen published since the advent of modern solid-state detectors in the 1980's
until the recent paper of Hubrig & Gonzalez (2007).
They demonstrate that the star's metallic line spectroscopic variability is quite
complex and note that a characteristic of a Cen is that some elements such as
oxygen have lines where the neutral line strength varies in antiphase to the
singly ionized lines.
They also found weak, variable high-excitation emission lines of Si II,
Mn II and Fe II in the spectrum of the star but no emission in the
H or He I lines.
They also noted the split appearance of the Fe II and Mn II
absorption line profiles, especially at the helium line strength minimum when
the Fe and Mn lines are at maximum strength,
and comment upon the great difficulty of creating a Doppler image given
the
of the star is only about 15 km s-1.
Our interest in a Cen arose from our investigation of the stratification of
3He and 4He in several helium-3 stars (Bohlender 2005), the apparent
stratification of helium in a Cen (Leone & Lanzafame 1997), and the suggestion of
Hunger & Groote (1999) that a Cen may be an important transitional object where
the effects of fractionation of radiatively driven winds may become important.
We obtained a tentative hint of the presence of 3He in a Cen from a single
observation of the He I
6678 line obtained during the course
of the helium-3 star investigation and therefore in 2003 we subsequently obtained
observations of several He I lines throughout the 8
8 rotation
period of the star.
Along with the remarkable He I line variations it was immediately
obvious that the star showed pronounced variations of metal lines as later
reported by Hubrig & Gonzalez (2007).
Even though the
of a Cen is at the extreme low end of what is useful for Doppler
imaging and our phase resolution is quite coarse, the strong spectrum
variability encouraged us to try to map the surface abundance
distribution for the elements He, Fe, N, and O to see if there were
indications of axial symmetry in these distributions that would augment
the impressions of the orientation of the magnetic axis gleaned from
the earlier work of Borra et al. (1983).
Table 1: Spectroscopic observation log for a Cen.
2 Spectroscopic data
Spectra of a Cen were obtained with the Canada-France-Hawaii Telescope (CFHT) and
the high-resolution Gecko coude spectrograph on nine consecutive nights in 2003 June.
Since Gecko's mosaic grating is a single-order echellette, the spectra were obtained at
four different grating rotations to obtain 75 to 125 Å-long spectra in
regions which included the He I lines
4437, 4471, 6678 and
7281, as well as H
.
The He I
7281 line has rarely been observed because of strong
atmospheric contamination in this spectral region but its relative
weakness, large isotope splitting, and the very high revolving power provided by Gecko in
this order (
R = 158 000) makes it an ideal diagnostic for 3He.
The spectra were processed with IRAF
and included telluric line removal in the
H
and He I
7281 spectral regions using the bright,
rapidly rotating star
Leo as the telluric standard.
Typical continuum S/N of the individual reduced spectra is about 500 (300 for the
7281 spectral region) and the resolving power, as determined by the FWHM of the comparison arc lines obtained before and after each grating rotation change,
ranges from
93 000 < R < 158 000.
Phases for each observation were obtained using the most recent ephemeris
determined for a Cen (Catalano & Leone 1996):
| (1) |
They improved the precision of the original period determined by Norris (1968) by combining data from Norris (1971) and Pedersen & Thomsen (1977) with new uvby photometry.
While this ephemeris appears to combine data together to produce a well-defined
minimum at
in u, the helium line strength index R shown in their Fig. 3
appears to indicate that the helium line strength maximum, as well as the vby photometry,
precedes the u photometric minimum by a small phase increment of perhaps 0.05 to 0.10.
As shown below, this is significant in that the helium maximum for our spectroscopic
data appears to precede the zero-phase calculated from the above photometric
ephemeris as well.
In Fig. 1
we show that Hipparcos photometry of a Cen also shows the same
phase shift.
This difference in phase appears to be real since shifting the
Hipparcos photometry to give a minimum at phase zero would require a
reduction of the period by an amount approximately
ten times its quoted uncertainty.
There has only been about 580 and 1130 stellar rotations between the Catalano & Leone (1996)
observations, the Hipparcos observations and our
spectra acquisition so the more recent data should only have errors of about 0.007 and 0.014
in phase respectively.
Based on this discussion we will therefore refer to the ephemeris above
as identifying the u minimum.
As noted above, the negative extremum of a Cen's magnetic field occurs near the phase of maximum helium line strength or photometric minimum.
| Figure 1: Hipparcos photometry for a Cen plotted using the ephemeris given in the text. The photometric minimum in H appears to be shifted by 0.05 to 0.1 cycles relative to this ephemeris defined by the u light curve. |
|
| Open with DEXTER | |
Table 1 provides a summary of our spectroscopic observations. Rotational phases are provided in both decimal and angular formats for easy comparison with our models below. A small sample of the spectra in a section of a single spectral window are presented in Fig. 2.
|
Figure 2: A small sample of the
spectra of a Cen discussed in the paper.
The continuum of each spectrum is plotted at a height corresponding to
the phase of the observation calculated using the ephemeris given in
the text.
The relative intensity scale is shown by the vertical bar at the lower
left. Note the extreme change in the strength of the He I |
| Open with DEXTER | |
The number of observations and the uniformity of phase coverage is much less than ideal for Doppler imaging. However the high-resolution of the data and the surprising degree of profile shape variations apparent in Fig. 2 invites an attempt to extract some information about the distribution of elements such as He, Fe, N and O over the surface in the hope that the symmetry of distribution will augment what is known about the magnetic variability and perhaps indicate the orientation of the magnetic axis relative to the rotational axis.
3 Doppler imaging
The technique for Doppler imaging of Ap and Bp stars to obtain a map of the variable abundance of elements over their surfaces has been thoroughly covered in the literature. Examples of the computing approaches to Doppler imaging are reviewed in Rice (1996) and in Piskunov & Rice (1993) and a comprehensive review of many of the uncertainties in Doppler imaging, although focussing in this case mainly on cool stars, is found in Rice & Strassmeier (2000).
A critical issue for Doppler imaging is whether the same
can be assumed
for the entire surface of the star or whether a variable
is required in
the programming.
Fortunately this issue has been reviewed in an extensive and careful analysis
carried out by Molnar (1974) based on the OAO-2 ultraviolet photometry scans.
Molnar concluded that neither the photometric variability nor the ultraviolet Si
line variations were due to a variation in
over the rotation cycle of
the star.
Krticka et al. (2007) have also
demonstrated that the light curve of the helium-strong star
HD 37776, an object quite comparable to a Cen in fundamental
properties and in having quite
pronounced line profile variations, can be almost completely accounted
for by the inhomogeneous surface distribution of silicon and helium
over the star's surface and the
bound-free transitions of these elements and not surface temperature
variations.
More recent work on a cooler Ap star, HR 7224, also suggests that
surface temperature
variations do not exist in Ap stars (Krticka et al. 2009).
The
and log g values assumed for a Cen by previous authors
(e.g. Norris 1971; Molnar 1974) are in the range of 19 000 K to 20 000 K
and
of about 4.0. We have used
and
for all models discussed in this paper.
A discussion of the adopted rotation axis inclination, i, is deferred until the end of this section.
3.1 Helium
Ideally, for a helium variable such as a Cen, it would be most informative if a Doppler image of
the star's helium distribution could be obtained with at least moderate resolution.
There are four He I lines in the four spectroscopic regions given in Table 1:
the three singlet lines
4437.551, 6678.154, and 7281.349, all arising from the same
2p 1P lower level, and the triplet
4471 line and its forbidden component.
The latter line is so strong and complex as to be unusable for Doppler
imaging, given the relatively slow rotation of a Cen.
As a first very simple step we therefore used the 4437 Å line
to obtain an approximate map of the helium distribution.
We ignored the complex Stark broadening inherent to the line and instead
used highly adjusted values for radiative, Stark and van der Waals broadening parameters of
6.0, -3.8 and -6.5 respectively. Wavelengths and
values adopted for the helium lines
(Kurucz & Bell 1995) are provided in Table 2.
Table 2: Lines used for Doppler imaging of a Cen and the approximate range of elemental abundances over the surface of the star.
We show our Doppler image of the distribution of helium over the surface of a Cen based on
the
4437 line in Fig. 3.
Where multiple consecutive spectra were obtained we did not combine spectra; instead this
provided an indication of the noise level of the spectra in the plots of line profile fits that follow.
The fit to the line profiles shown in Fig. 4 is quite good and the abundance geometry is consistent with the single spot models proposed by Norris & Baschek (1972) and Mihalas (1973): one hemisphere of the star has an enhanced abundance of helium while the other hemisphere is very helium deficient.
Table 2
gives the approximate range of helium abundances determined by the
Doppler imaging.
These are averaged over several adjacent pixels but given the rather
poor time sampling should not be interpreted too literally. When
abundances are averaged over the much larger obviously helium-rich and
helium-difficient regions on opposite hemipheres of the star our
Doppler imaging suggests that the helium abundance likely varies by a
factor of 100 to 150 from one side of the star to the other.
|
Figure 3:
An approximate map of the location of the helium concentration on a Cen
obtained by a fit to the |
| Open with DEXTER | |
|
Figure 4:
He I |
| Open with DEXTER | |
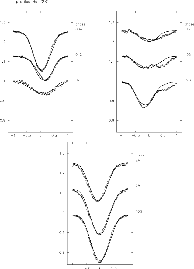
Interestingly, we discovered some evident problems when working with the other helium lines of
a Cen to produce a Doppler image of the helium surface distribution.
These appear to go beyond what one might expect to have because of our neglect of Stark
broadening, non-LTE affects, possible element stratification or simply a poor choice of line.
In trying to invert the profiles of the
6678 line to form an
approximate map of the helium distribution it was found that the program required
an assumption of a stellar radial velocity that was 5 km s-1 more positive
than was needed for the lines of the other elements as discussed in the next section.
This seemed to arise because
of a distortion redward of the center of the line profiles that appears roughly between
phases 100
and 200
.
Attempts to reconstruct a helium abundance map using
the
7281 line showed a similar problem as the
6678 line,
but even more exaggerated.
The Doppler image profile fits that should match
the observed profiles at phases up to about phase 100
are confounded by a strong
satellite feature about 0.5 Å to the red that persists from about phase 100
to about phase 200
and then quickly and fairly completely disappears for the rest
of the stellar rotation. The attempts by the program to accommodate this anomalous feature
lead to persistent red-shifted distortions of the fitted profiles at other phases
(see Fig. 5).
|
Figure 5:
As for Fig. 4 but for the He I |
| Open with DEXTER | |
There are no known blends from lines of other elements at
this wavelength but a possible solution to the poor models for the
6678 and
7281 lines is presented in Sect. 4.
3.2 Oxygen, nitrogen and iron
The lines of ionized oxygen and nitrogen as well as twice ionized iron
listed in Table 2 were found to be the most suitable for Doppler
imaging from among those available in the two observed spectroscopic regions.
They presented the least problem in terms of blending issues, had an adjacent
continuum that was not significantly distorted by crowding lines or the presence
of broad wings of helium or hydrogen lines and were
sufficiently strong to provide good line signal-to-noise. The program used for
Doppler abundance imaging of Ap stars allows for blends in the calculation of
the local line profiles but mapping of the abundance distribution over the
stellar surface is only done for one element at a time so blends must either be
of a non-variable element or blends of lines of the same element (see for
example the mapping of the 7775 Å line triplet of oxygen for
UMa in Rice et al. 1997). The data for the lines listed in Table 2
come from the VALD database (Kupka et al. 1999).
Doppler images were generated using the lines of Table 2 for the elements iron, nitrogen and oxygen. The images were intercompared with one another and then compared with the general symmetry discussed by Mihalas (1973) and as suggested by the helium distribution as generally represented in Fig. 3.
The images developed from the Fe lines at 4419 Å and 4431 Å are shown as Fig. 6. The observed and model fitting to the line profiles for the 4431 Å iron line are shown in Fig. 7. The fitting to the line profiles for Fe 4419 Å are very similar. The regions of enhanced iron evident on the Doppler images obtained using the two Fe lines are well defined and relatively tightly confined in area such that the five regions of peak iron abundance produce clearly identifiable dips or distortions migrating through the line profiles with the phase of the rotation of a Cen. Note the very strong similarity of the two images obtained using these two lines independently.
|
Figure 6: Doppler images of the distribution of Fe on the surface of a Cen reconstructed from the profile variations of the 4419 Å and 4431 Å lines separately, and an image created from the combination of the Doppler images of both features. |
| Open with DEXTER | |
|
Figure 7: As in Fig. 4 but for the line profile variations of the iron line 4431 Å. |
| Open with DEXTER | |
|
Figure 8: A composite Doppler image of the distribution of nitrogen as constructed by averaging the maps reconstructed through inversion of the line profiles of the nitrogen lines listed in Table 2. |
| Open with DEXTER | |
The three nitrogen lines of Table 2 were each used to produce separate Doppler images using the same parameters as with the iron lines and as shown in Table 3. The line profiles for the three nitrogen lines did not show such clear and distinct distortions passing through the line profiles with rotational phase as had the two iron lines. The Doppler images from each nitrogen line then did not show such compact regions of abundance enhancement. Figure 8 shows the average of the Doppler images from the three nitrogen lines and it is evident that the image obtained for the nitrogen abundance distribution is similar to that for iron in that the placement of the abundance peaks is close to the positioning of the iron peak abundance patches but as is suggested by the less distinct pattern of line profile distortions the abundance patches are less extreme and broader in area.
Table 3: Adopted parameters for a Cen (HR 5378).
Similar patterns of abundance distribution were obtained from the oxygen lines and, as with the nitrogen distributions, the pattern was generally less distinct on the surface of the star and the line profiles did not show the clear pattern of migrating dips through the line profiles with rotational phase. (Although, as with nitrogen, the line profiles exhibited profile distortions that changed with phase and that were suggestive of the migrating profile distortions seen for the iron lines.) The approximate range of abundances determined by the Doppler imaging for each element are given in Table 2.
The geometric parameters used for Doppler imaging a Cen are given in
Table 3. The choice of 70
for the inclination was more convoluted than in other cases of Doppler
imaging. The usual preliminary search for a minimum in the error of fit
of the profiles calculated from the best image formed at each of a
range of inclinations to the observed profile data gave the usual broad
curve with a minimum error for the iron, nitrogen and oxygen images at
smaller values of inclination around 45
.
As is also usual, the image formed from the line profiles for these
elements was not highly sensitive to inclination. However, the helium
profiles were far better fit with an image formed using an inclination
of approximately 70
.
Exploration of the images produced and the profile fits for the Fe, N
and O data showed that while the overall fit to the profiles was
slightly better at smaller inclinations, largely due to the better fit
to the very bottom of the deeper profiles, the inverted bottom of the
Fe profiles in particular at the two profiles at phase 243
was far better represented in the images formed with inclination close to 70
.
That distinctive and well-defined feature was quite poorly fit at smaller inclinations.
The choice of microturbulent velocity was made by applying the Blackwell method (Blackwell & Shallis 1979) embedded in the SPECTRUM program (Gray & Corbally 1994). The program was used with the nitrogen lines and suggested a microturbulence of 2.5 km s-1.
4 Helium revisited
Bohlender (2005) has used data identical to those presented here for a Cen to study the
abundance of 3He in a number of well-known helium-3 stars (Hartoog & Cowley 1979).
In a Cen the peculiar red satellite feature in the
7281 line, apparent
between phases 77
and 240
,
is shifted by approximately 0.5 Å from the line center of the
latter line. This is intriguingly close to the observed shift of
0.55 Å between the 3He and 4He components of this line (Fred et al. 1951).
A similar shift is suggested for the
6678 line, consistent
with its isotope shift of 0.50 Å, but this feature is less obvious because of the greater line
strength. We have therefore tried to fit the helium lines by adding a contribution from 3He as described below.
First, we generated a grid of relatively simple pure hydrogen and helium non-LTE model atmospheres with
K,
and a range of N(He/H) from 0.001 to 0.8.
We used the TLUSTY program (Hubeny & Lanz 1995) and started with the
published (Lanz & Hubeny 2007) line-blanketed model atmosphere BG19000g400v2
with
K,
and N(He/H) = 0.1 as the input atmosphere for the program. The companion spectral line synthesis program SYNSPEC was then used to produce
grids of specific line and continuum intensities for the combined 3He and
4He lines for each helium abundance. To do so we first had to modify the version of SYNSPEC we used (v48 provided by Lanz, private communication) to incorporate broadening parameters of Dimitrijevic & Shal-Brechot (1990) for the
7281 line since these were not included in the source code. SYNSPEC was also modified so that it would recognize the wavelengths of the 3He components of line profiles and use the same broadening parameters as are used for the corresponding 4He lines.
Unfortunately TLUSTY does not permit incorporation of separate 3He and
4He abundances in the production of a model atmosphere.
We have therefore assumed that the helium abundance used
for the TLUSTY models is the combined 3He + 4He
abundance and also that the lower mass of the lighter isotope has no affect on the structure
of the atmosphere, or on the treatment of broadening for the lines.
We then included both 3He and 4He line data in the input line list
used by SYNSPEC and artificially adjusted the
values of the lines to set the relative abundances of the two isotopes but keep the total helium abundance used by SYNSPEC consistent with the abundance used in the model atmosphere.
For example, in the case of the
7281 line if
N( 3He + 4He) = 0.1 in the TLUSTY
model and N( 3He/ 4He)=1 then identical
values
of
were used for both isotopes in the input line list for SYNSPEC to provide N( 3He/H) = 0.05 and
N( 4He/H) = 0.05. (The
value for the 4He
7281 line is -0.842.)
|
Figure 9:
Model fits for the He I |
| Open with DEXTER | |
The specific intensities were then used in a disk integration program
that permits the placement of circular zones of different helium
abundances anywhere on the disk to approximately model the surface
abundance geometry. Each zone is defined by an angular radius and its
colatitude and longitude relative to a point that crosses the line of
sight to the observer
at
(see Fig. 3 of Bohlender & Landstreet 1990,
for an illustration). Bands of different abundances can also be modeled
with the appropriate superposition of two circular patches. At each
point of the disk integration the local helium abundance is determined
and specific intensities for the appropriate line and local model
atmosphere are used to construct the line profile.
Line profiles were generated for the He I
4437,
4471, 6678 and 7281 lines. Fitting was conducted on a trial and
error basis until reasonable fits were found for each line for as
simple a configuration of abundance spots as possible. Our models
indicated that a large inclination of about 70
was required to reproduce the line profiles and it was this result that
led us to revisit the inclination derived from Dopper imaging of the
metal lines as described in the previous section. Figure 9 shows the resulting fits to the
7281
helium line profiles as a function of phase.
While a model with just two roughly hemispherical regions with widely
differing helium abundance produced a reasonably good fit, we were able
to produce a substantially better fit to the line and the red satellite
feature at all rotational phases by using three regions of different,
but uniform, abundances. The illustrated fit is produced with a 55
wide helium-rich band with N( 4He/H) = 0.50 centered at a colatitude of 300
and extending from 25
to 80
from what is assumed to be the negative magnetic pole.
The 25
radius polar region centered at the same colatitude has an approximately solar helium abundance of N( 4He/H) = 0.10. The rest of the star's surface has
N(( 3He+ 4He)/H) = 0.004 and N( 3He/ 4He)
= 1. In other words, a broad helium-rich region covers much of one
hemisphere of the star, except for small region with a normal abundance
near the pole, while the other hemisphere is
extremely helium poor but has a huge relative overabundance of 3He.
The 3He contribution to the line profile is readily apparent between phases 0.3
and 0.7. There is not a discernible contribution to the helium line profiles from 3He in the helium-rich hemisphere. The broad helium-rich band's colatitude of 300
indicates that it crosses the line of site to the observer at
approximately the same phase as the Hipparcos photometric minimum
discussed earlier and is also consistent with the phasing of the helium
line strength photometry.
Good fits to the He I
4437,
4471 and 6678 lines can be produced with
very similar models. Minor adjustments to the helium abundances are
required to improve the fits to these lines but this is not surprising.
Bohlender (2005)
has shown that in a few of the previously recognized helium-3 stars
both isotopes of helium show evidence of abundance stratification, with
3He located higher in the atmosphere than 4He.
Our unstratified models of the
6678 line and especially the
4437 line require somewhat lower 4He abundances in the helium-rich regions as well as lower 3He
abundances in the helium-weak hemisphere to produce satisfactory
models. This is exactly what is seen in other helium-3 stars so we
suggest, as did Leone & Lanzafame (1997),
that both isotopes of helium have a vertical abundance stratification
in the atmosphere of a Cen. We will not pursue this question in
detail until data with better phase resolution are available. More
significant modifications of TLUSTY and SYNSPEC will
also be needed to accommodate different vertical stratifications of
both isotopes of helium in the generation of future (preferably
fully-blanketed) non-LTE model atmospheres and line profiles.
Qualitatively, the overall helium abundance geometry agrees
with our Doppler Imaging result: a Cen is dominated by a
helium-rich region covering much of one hemisphere of the star. The
small polar region with somewhat lower abundances is also obvious at
phase 315
in Fig. 3.
However, the most remarkable result of the isotope abundance fitting is
the fact that the very helium deficient hemisphere of the star has a
very large relative abundance of 3He.
5 Discussion
As was discussed in the introduction to this paper, the ephemeris used here is the
photometric ephemeris of Catalano & Leone (1996) where minimum light is
at phase 0 but from their Fig. 3 in their paper where they simultaneously show
the light curves with the variation of the helium index R it is clear that the
helium maximum preceeds phase 0 by a significant fraction of a rotational cycle,
perhaps of the order of 0.10. The crude Doppler image of Fig. 3 and the profile
fits shown in Fig. 9 are
consistent with this as phase 315
in the image appears to be roughly when
the maximum helium line strength occurs and the center of the helium-rich hemisphere in our
simple isotope modeling is centered at 300
.
The minimum line strength occurs
at phases of between 120
and 135
.
As conjectured by Mihalas (1973) the concentration of helium abundance is at about 90
to the rotational pole (i.e. at a latitude of
about 0
). The location of the maximum of helium abundance appears,
from the work of Borra et al. (1983), to be close to the location of the
negative magnetic pole and given the symmetry of the magnetic variation, we may
assume the positive pole is close to latitude 0
near a longitude (phase) of
135
.
We now want to compare the location of the abundance peaks that appear consistently
in the multiple images derived from the separate lines of iron, oxygen and nitrogen.
The location of these peaks for these elements are very similar as noted above and
shown in Figs. 6 and 8.
In these figures we see that there are generally
five spots. A strong pair evident in the image at phase 135
and just above the
equator. This pair would appear to be close to the location of the magnetic positive
polar region and the helium minimum but significantly these are two of the three
strongest spots on the surface rather than the weakest. Further, they seem to be
slightly above the equator rather than on it and they straddle the location of the
polar region. This bifurcation of the peak abundance into two spots is clearly not
some artifact of noise in the profile data since as has been pointed out, the
individual abundance maximum regions for the iron lines are so well defined in area
that they create clear dips seen migrating through the line profiles with
phase (Fig. 7). Matching this pair of abundance peaks at phase
315
we see a weaker pair of abundance peaks near the equator and straddling the
location of the helium maximum and negative magnetic polar site.
The short description of the location of four of the five obvious abundance concentrations is that there are two stronger concentrations straddling the location of the positive magnetic polar region where the helium is weakest and two weaker concentrations straddling the location of the negative polar region where the helium is concentrated.
This leaves as a puzzle the very evident concentration near the equator at phase 45
that produces probably the strongest of the features we see migrating through the iron
line profiles. This feature seems totally unrelated to any of the geometry we could
associate with a simple dipole-like magnetic field structure with poles located as
described above or related in any way with the apparently simple asymmetric helium
distribution with its concentration near phase 315
.
If we choose to assume that
abundance concentrations form where the magnetic field lines are perpendicular to the
surface of the star, then it would appear that a Cen has a more complex field structure
than just a simple dipole or dipole plus quadrupole pattern.
The somewhat cooler helium-weak star HD 21699 is another example of a star with
a single spot of enhanced helium abundance on an otherwise extremely helium-weak surface
(Brown et al. 1985; Shavrina et al. 2010). It also appears to have a very peculiar magnetic field geometry (Glagolevskij & Chuntonov 2007).
Investigations such as that by Bagnulo et al. (1999) found that while some stars can have their magnetic field modelled adequately by a dipole or dipole plus quadrupole field, most of their sample required a more complex field. In the particular case of the star 53 Cam with its relatively slow rotation and strong magnetic field it was seen (Kochukhov et al. 2004) that the field was quite complex. A future attempt at producing a Zeeman Doppler image of a Cen will be a challenge, but would be of considerable interest since the abundance distribution of the lighter elements examined here suggests that the magnetic field may deviate considerably from a simple structure. We encourage new magnetic field measurements of any kind for the the star to greatly improve our understanding of the abundance and magnetic field geometry of the star and the relationship between the two.
Once more detailed surface abundance and magnetic field
geometries are known it would clearly also be of interest to determine
if the relatively large (
0.06 mag) photometric
variations observed in the star (Fig. 1)
can be reproduced solely from the non-uniform abundances of the star,
and in particular the extraordinary helium variability.
As an aside, we point out that despite the very large variation in
helium abundance over the surface of a Cen there is no discernible
variability observed in the wings of the H
profile of the star during a single rotation. This already suggests
that minimal temperature or surface gravity variations are present over
the surface of the star. Only in the few Å at the core of H
are profile variations of any kind seen. These closely reflect the
amplitude and shape of the variations seen in the O, N, and Fe lines
presented here near the same rotation phase and therefore likely arise
from small atmospheric structure variations caused by the non-uniform
metal abundances rather than variations in the helium abundance,
temperature or gravity.
Our discovery of 3He in the atmosphere of a Cen adds a new member to the
small group of helium-3 stars.
We believe this work also makes it the first firmly established magnetic member of this class
of objects;
Scl and HR 7129 are other magnetic candidates (Hartoog & Cowley 1979) that we feel require confirmation of their 3He content with modern data.
As we have already mentioned, Hunger & Groote (1999)
suggested that a Cen might represent an important transitional
object among the magnetic helium-peculiar stars where the effects of
fractionation of radiatively driven winds may become important.
Our discovery that the star is a member of the helium-3 class of stars
confirms this idea as does the suspected vertical stratification of
helium in its atmosphere reported by Leone & Lanzafame (1997) and supported by our data.
It is interesting to note the fact that a Cen has a
and
very close to the well-established, but non-variable and non-magnetic
prototype of this class of stars, 3 Cen A. Clearly the
atmospheres and winds of slowly-rotating peculiar stars in this mass
range, whether magnetic or not, are finely tuned to enable the
separation of helium isotopes in their
atmosphere by either mass fractionation (Vauclair 1975) or light-induced drift (Leblanc & Michaud 1993).
We have already noted the discovery of weak metallic emission lines in a Cen by Hubrig & Gonzalez (2007); the incidence of this phenomenon appears to be almost universal among the helium-3 stars.
6 Conclusions
Doppler images of the abundance distribution of the elements helium, iron, oxygen and nitrogen
in the helium-variable star a Cen appear to be consistent with the general geometry of the
abundance distribution of helium proposed by Mihalas (1973) where the location of the abundance concentrations is roughly at the rotational equator.
The helium concentration is centred at a longitude between 300
and 315
using the
ephemeris of Catalano & Leone (1996) and we are able to reproduce abundance variations most consistently
with a relatively large value of 70
for the inclination of the star.
For the three metallic species investigated
there are two strong concentrations of abundance near the equator at longitude roughly
135
,
consistent with the positive magnetic maximum, and two somewhat weaker
concentrations of abundance near longitude 315
on the equator where the helium is
concentrated and roughly where the negative peak of the magnetic field would be found.
Another strong concentration is found near the equator at about longitude 45
and this is not explainable in terms of any simple symmetry with the
helium abundance or the
apparent magnetic field main polar locations.
We conclude that the surface magnetic field geometry of a Cen is
likely more complex that that of a simple dipole or dipole plus
quadrupole.
Our detailed analysis of the variations of a number of helium
line profiles show that the helium abundance
of a Cen varies by a factor of approximately 125 from one
hemisphere to the other if suspected vertical stratification of helium
in the star's atmosphere is ignored. A large portion of one hemisphere
is helium rich, except very close to the negative magnetic pole, and
the other hemisphere is very helium deficient. The latter region is
also found to have an extreme overabundance of 3He, with N( 3He/ 4He
.
As a result, a Cen is a new member of the helium-3 class of stars and the first convincing
example of a magnetic member of this small group of peculiar objects.
J.B.R. thanks the Natural Sciences and Engineering Research Council of Canada for their financial support of this work. The authors thank the referee, Franco Leone, for a careful review of the manuscript.
References
- Bagnulo, S., Landolfi, M., & Landi Degl'Innocenti, M. 1999, A&A, 343, 865 [NASA ADS] [Google Scholar]
- Blackwell, D. E., & Shallis, M. J. 1979, MNRAS, 186, 673 [NASA ADS] [CrossRef] [Google Scholar]
- Bohlender, D. A. 2005, EAS Publ. Ser., 17, 83 [CrossRef] [EDP Sciences] [Google Scholar]
- Bohlender, D. A., & Landstreet, J. D. 1990, ApJ, 358, 274 [NASA ADS] [CrossRef] [Google Scholar]
- Borra, E. F., Landstreet, J. D., & Thompson, I. 1983, ApJS, 53, 151 [NASA ADS] [CrossRef] [Google Scholar]
- Brown, D. N., Shore, S. N., & Sonneborn, G. 1985, AJ, 90, 1354 [NASA ADS] [CrossRef] [Google Scholar]
- Catalano, F. A., & Leone, F. 1996, A&A, 311, 230 [NASA ADS] [Google Scholar]
- Dimitrijevic, M. S., & Sahal-Brechot, S. 1990, A&AS, 82, 519 [Google Scholar]
- Fred, M., Tomkins, F. S., Brody, J. K., & Hamermesh, M. 1951, Phys. Rev., 82, 406 [NASA ADS] [CrossRef] [Google Scholar]
- Glagolevskij, Y. V., & Chuntonov, G. A. 2007, Astrophysics, 50, 362 [NASA ADS] [CrossRef] [Google Scholar]
- Gray, R. O., & Corbally, C. J. 1994, AJ, 107, 742 [NASA ADS] [CrossRef] [Google Scholar]
- Hartoog, M. R., & Cowley, A. P. 1979, ApJ, 228, 229 [NASA ADS] [CrossRef] [Google Scholar]
- Hubeny, I., & Lanz, T. 1995, ApJ, 439, 875 [Google Scholar]
- Hubrig, S., & Gonzalez, J. F. 2007, A&A, 466, 1083 [NASA ADS] [CrossRef] [EDP Sciences] [Google Scholar]
- Hunger, K., & Groote, D. 1999, A&A, 351, 554 [NASA ADS] [Google Scholar]
- Jaschek, C., & Jaschek, M. 1967, PASP, 70, 667 [Google Scholar]
- Jaschek, C., Jaschek, M., Morgan, W. W., & Slettebak, A. 1968, AJ, 153, 873 [Google Scholar]
- Kochukhov, O., Bagnulo, S., Wade, G. A., et al. 2004, A&A, 414, 613 [NASA ADS] [CrossRef] [EDP Sciences] [Google Scholar]
- Krticka, J., Mikulásek, Z., Zverko, J., & Ziznovský, J. 2007, A&A, 470, 1089 [NASA ADS] [CrossRef] [EDP Sciences] [Google Scholar]
- Krticka, J., Mikulásek, Z., Henry, G. W., et al. 2009, A&A, 499, 567 [NASA ADS] [CrossRef] [EDP Sciences] [Google Scholar]
- Kupka, F., Piskunov, N. E., Ryabchikova, T. A., Stempels H. C., & Weiss W. W. 1999, A&AS, 138, 119 [NASA ADS] [CrossRef] [EDP Sciences] [MathSciNet] [PubMed] [Google Scholar]
- Kurucz, R. L., & Bell, B. 1995, Atomic Line Data, Kurucz CD-ROM No. 23 [Google Scholar]
- Lanz, T., & Hubeny, I. 2007, ApJS, 169, 83 [CrossRef] [Google Scholar]
- LeBlanc, F., & Michaud, G. 1993, ApJ, 408, 251 [NASA ADS] [CrossRef] [Google Scholar]
- Leone, F., & Lanzafame, A. C. 1997, A&A, 320, 893 [NASA ADS] [Google Scholar]
- Mihalas, D. 1973, ApJ, 184, 851 [NASA ADS] [CrossRef] [Google Scholar]
- Molnar, M. R. 1974, ApJ, 187, 531 [NASA ADS] [CrossRef] [Google Scholar]
- Norris, J. 1968, Nature, 219, 1342 [NASA ADS] [CrossRef] [Google Scholar]
- Norris, J. 1971, ApJS, 23, 235 [NASA ADS] [CrossRef] [Google Scholar]
- Norris, J., & Baschek, B. 1972, A&A, 21, 385 [NASA ADS] [Google Scholar]
- Pedersen, H., & Thomsen, B. 1977, A&AS, 30, 11 [Google Scholar]
- Piskunov, N. E., & Rice, J. B. 1993, PASP, 105, 1415 [NASA ADS] [CrossRef] [Google Scholar]
- Rice, J. B. 1996, in Stellar Surface Structure, ed. K.G. Strassmeier, & J.L. Kluwer, IAU Symp., 176, 19 [Google Scholar]
- Rice, J. B., & Strassmeier, K. G. 2000, A&AS, 147, 151 [Google Scholar]
- Rice, J. B., Wehlau, W. H., & Holmgren, D. E. 1997, A&A, 326, 988 [NASA ADS] [Google Scholar]
- Shavrina, A. V., Glagolevskij, Yu. V., Silvester, J., et al. 2010, MNRAS, 401, 1882 [NASA ADS] [CrossRef] [Google Scholar]
- Vauclair, S. 1975, A&A, 45, 233 [NASA ADS] [Google Scholar]
- Wolff, S. C., & Morrison, N. D. 1974, PASP, 86, 935 [NASA ADS] [CrossRef] [Google Scholar]
Footnotes
- ... a Centauri
- Based on observations obtained at the Canada-France-Hawaii Telescope (CFHT) which is operated by the National Research Council of Canada, The Institut National des Sciences de l'Univers of the Centre National de la Recherche Scientifique of France, and the University of Hawaii.
- ... IRAF
- IRAF is distributed by the National Optical Astronomy Observatory, which is operated by the Association of Universities for Research in Astronomy (AURA), Inc., under cooperative agreement with the National Science Foundation.
All Tables
Table 1: Spectroscopic observation log for a Cen.
Table 2: Lines used for Doppler imaging of a Cen and the approximate range of elemental abundances over the surface of the star.
Table 3: Adopted parameters for a Cen (HR 5378).
All Figures
| |
Figure 1: Hipparcos photometry for a Cen plotted using the ephemeris given in the text. The photometric minimum in H appears to be shifted by 0.05 to 0.1 cycles relative to this ephemeris defined by the u light curve. |
| Open with DEXTER | |
| In the text | |
|
Figure 2: A small sample of the
spectra of a Cen discussed in the paper.
The continuum of each spectrum is plotted at a height corresponding to
the phase of the observation calculated using the ephemeris given in
the text.
The relative intensity scale is shown by the vertical bar at the lower
left. Note the extreme change in the strength of the He I |
| Open with DEXTER | |
| In the text | |
|
Figure 3:
An approximate map of the location of the helium concentration on a Cen
obtained by a fit to the |
| Open with DEXTER | |
| In the text | |
|
Figure 4:
He I |
| Open with DEXTER | |
| In the text | |
|
Figure 5:
As for Fig. 4 but for the He I |
| Open with DEXTER | |
| In the text | |
|
Figure 6: Doppler images of the distribution of Fe on the surface of a Cen reconstructed from the profile variations of the 4419 Å and 4431 Å lines separately, and an image created from the combination of the Doppler images of both features. |
| Open with DEXTER | |
| In the text | |
|
Figure 7: As in Fig. 4 but for the line profile variations of the iron line 4431 Å. |
| Open with DEXTER | |
| In the text | |
|
Figure 8: A composite Doppler image of the distribution of nitrogen as constructed by averaging the maps reconstructed through inversion of the line profiles of the nitrogen lines listed in Table 2. |
| Open with DEXTER | |
| In the text | |
|
Figure 9:
Model fits for the He I |
| Open with DEXTER | |
| In the text | |
Copyright ESO 2010
Current usage metrics show cumulative count of Article Views (full-text article views including HTML views, PDF and ePub downloads, according to the available data) and Abstracts Views on Vision4Press platform.
Data correspond to usage on the plateform after 2015. The current usage metrics is available 48-96 hours after online publication and is updated daily on week days.
Initial download of the metrics may take a while.


![\begin{figure}
\par\resizebox{9cm}{!}{\includegraphics[angle=-90]{14157fig4.ps_p...
...resizebox{9cm}{!}{\includegraphics[angle=-90]{14157fig4.ps_page_2}}
\end{figure}](/articles/aa/full_html/2010/12/aa14157-10/Timg21.png)
![\begin{figure}
\par\includegraphics[angle=-90,width=9cm,clip]{14157fig5a.eps}\vs...
...raphics[angle=-90,width=4cm,clip]{14157fig5b.eps}\hspace*{2.75cm}}\end{figure}](/articles/aa/full_html/2010/12/aa14157-10/Timg22.png)

![\begin{figure}
\par\resizebox{9cm}{!}{\includegraphics[angle=-90]{14157fig7a.eps...
...mm}
\resizebox{9cm}{!}{\includegraphics[angle=-90]{14157fig7b.eps}}
\end{figure}](/articles/aa/full_html/2010/12/aa14157-10/Timg25.png)

![\begin{figure}
\par\resizebox{9cm}{!}{\includegraphics[angle=-90]{14157fig9.eps}}
\end{figure}](/articles/aa/full_html/2010/12/aa14157-10/Timg30.png)