| Issue |
A&A
Volume 520, September-October 2010
|
|
|---|---|---|
| Article Number | A41 | |
| Number of page(s) | 7 | |
| Section | Stellar structure and evolution | |
| DOI | https://doi.org/10.1051/0004-6361/201014329 | |
| Published online | 28 September 2010 | |
Implications of a new triple-
nuclear reaction rate
Consequences for Cepheids
P. Morel1 - J. Provost1 - B. Pichon1 - Y. Lebreton2,3 - F. Thévenin1
1 - Université de Nice-Sophia Antipolis, CNRS UMR 6202,
Observatoire de la Côte d'Azur, Laboratoire Cassiopée,
BP 4229, 06304 Nice Cedex 04, France
2 - Observatoire de Paris, Laboratoire GEPI,
CNRS UMR 8111, 92195 Meudon, France
3 - IPR, Université de Rennes 1, 35042 Rennes, France
Received 26 February 2010 / Accepted 13 June 2010
Abstract
Context. Recently the triple-
reaction rate has been re-evaluated. In the temperature range,
107-108 K, with respect to the NACRE rate, the new rate is enhanced by up to 20 orders-magnitude.
Aims. To validate this new rate, we investigate its consequences for the evolution of Cepheid models.
Methods. The stellar evolutionary tracks are calculated with the CESAM code and displayed in the domain
.
Results. With the new rate, the first dredge-up does not occur. For masses larger than
4.5
each evolutionary track crosses the instability strip only once. The
luminosities are higher than with the previous rate, then leading to
smaller theoretical masses that better agree with the pulsational mass.
Conversely, and inconsistently with one century of observations of more
than two hundred Cepheids, the temporal derivative of the period keeps
a positive sign. Moreover the observed depletions of atmospheric
lithium and C/N ratio do not occur. A slight modification of only
a few percents of the new nuclear rate allows us however to restore the
loops inside the instability strip and the changes of sign of the
temporal derivative of periods.
Conclusions. This preliminary work indicates that the new rate
may solve some of the long-lasting unsolved theoretical problems of
Cepheids. Yet indisputable observations argue against its pertinence.
Nonetheless, with regard to its theoretical importance, the triple-
new reaction rate still needs to be confirmed or revisited.
Key words: nuclear reactions - nucleosynthesis - abundances - stars: evolution - stars: variables: Cepheids
1 Introduction
Recently, Ogata et al. (2009, hereafter OKK) have re-evaluated the triple-Figure 1 shows the
|
Figure 1:
(Colour online) The NACRE (full) and enhanced Ogata et al. (2009) (dash)
triple-alpha reaction rates variations with temperature.
With OKK, the temperature of the ignition is about
halved. For CHeBm (dot-dash) the correction
|
| Open with DEXTER | |
Saruwatari & Hashimoto (2008) have investigated the theoretical effects of the OKK new
rate on helium ignition for white dwarfs in accretion binary systems,
considered as progenitors of type Ia supernovae.
|
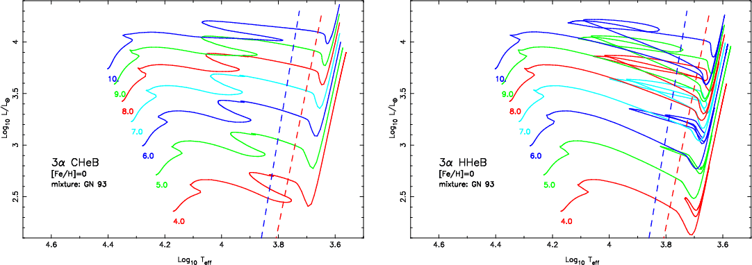
Figure 2: (Colour online) Left panel: evolutionary tracks computed with cold helium burning (CHeB). Right panel: evolutionary tracks computed with hot helium burning (HHeB). The left and right dashed lines respectively delimit the blue and red sides of the Cepheids instability strip. For clarity only the part of the evolutionary tracks beyond the ZAMS is displayed. |
| Open with DEXTER | |
Dotter & Paxton (2009) found that the OKK rate is incompatible with the evolution of
late-type stars through the helium flash and the existence of extended red giant
branches in old stellar systems. In these stars the
ignition occurs in
a degenerate medium. Yet even with a temperature sensitivity
T26 for CHeB, instead
T40 for HHeB, the
ignition remains explosive and the numerics are unstable.
Precisely because their pulsations occur during the helium burning in their core,
the Cepheids are promising objects for exhibiting quantitative tests for the new
rate. Cepheids are important because the period of their pulsation is related
to their luminosity,
they have been long recognized as primary standards to estimate the distances.
They still are subjects of numerous
theoretical and observational galactic and extra galactic works based on
observations stretched over more
than a century. The Cepheids pulsate when they are located in a
wedge-shaped area of the Hertzsprung-Russell diagram,
the so-called ``instability strip'' (Turner 2001). Its
width is of the order of
.
Despite the huge theoretical investment two points remain unexplained:
- 1.
- these stars pulsate when they describe one or several ``blue loops''
through the instability strip. But the
physical conditions for the existence and extent of blue-loops
are still debated (Kippenhahn & Weigert 1991; Valle et al. 2009).
As an example, in our calculations with the opacities and the solar mixture
of Asplund et al. (2005), blue loops cross the instability strip
only for masses larger than

;
- 2.
- since the late sixties it became apparent that the masses of Cepheids predicted from the theory of stellar evolution were larger than those predicted by the pulsation theory (Cox 1980). Nowadays this problem remains open (Valle et al. 2009; Caputo et al. 2005, and references therein). The most currently invoked physical process to explain these discrepancy is the existence during the main sequence hydrogen burning phase of a hypothetical core overshoot in the range of 0.2 to 0.8 pressure scale height (Keller 2008, and references therein). The overshooting produces a larger helium core, it increases the amount of helium nuclear fuel available during the pulsation. The higher the convective core overshoot, the larger the luminosity for a given mass or conversely for a given luminosity the smaller the theoretical mass. Mass loss occurring just before the Cepheid's pulsation phase is also invoked to reduce the theoretical mass (Valle et al. 2009, and references therein). None of these physical processes are clearly understood or quantified up to now.
The paper is organized as follows. In Sect. 2 we present the
physical processes, physical data, values of parameters and numerical
techniques used. Section 3 is devoted to a description of evolutions
using CHeB and HHeB with emphasis on models with the mass of
Cephei
(i.e.
). A discussion of results is made in Sect. 4.
Results of numerical experiences with
changes of physical data are briefly reported in Sect. 5.
Conclusions are given in Sect. 6.
2 Methods
Our goal is to investigate in a general way the consequences of the 3
new rate on Cepheid models. Fixing the physics and the numerics, we have
calculated several stellar models with characteristic masses of Cepheids.
Calculation of models:
The models were computed with the CESAM2k code (Morel 1997; Morel & Lebreton 2008). The evolutions were initialized with homogeneous pre-main sequence models. The EFF equation of state (Eggleton et al. 1973) was used, together with opacities determined by Iglesias & Rogers (1996) using the solar mixture of Grevesse & Noels (1993), complemented at low temperatures by Alexander & Ferguson (1994) opacities. Conductive opacities were taken from Iben (1975). We used the composition X=0.7126, Y=0.270, (Z=0.0174, Z/X= 0.0244). In the convection zones the temperature gradient was computed according to the Canuto & Mazitelli (1991) convection theory with the mixing length parameter set to unity as recommended by these authors. The atmosphere was restored using Eddington's atmospheric law (Mihalas 1978). The relevant nuclear reaction rates of pp chain, CNO andPeriod:
in a first approximation the period p (in days) of Cepheids depends on the mean density (Cox 1980):here M is the mass and R the radius of the star (in solar units),
Mean values:
the Cepheids cross the instability strip with different values of luminosities and periods. Only mean values of these quantities are relevant for comparisons with observations. For each mass value, the calculation of the means proceeds in two steps:- 1.
- for each crossing of the instability strip, the geometric means (arithmetic mean of logarithms) of luminosities and periods are calculated successively for the first section of the evolutionary track where the period (e.g. radius) increases monotonously, then for the second section where the period decreases and so forth;
- 2.
- the global means are taken as the weighted means of former ones, taking the durations of each crossings as weights.
|
Figure 3:
(Colour online) Evolutions of the internal structure of two models of
6.6 |
| Open with DEXTER | |
3 The evolution of Cepheids with HHeB and CHeB
Figure 2 shows the evolutionary tracks of stellar models ofFor models computed with HHeB, the evolutionary tracks cross the instability
strip on the sub-giant branch once (Fig. 2 right panel).
The ignition of the
reactions coincides with the departure from the
Hayashi line
(Fig. 2 right panel, Fig. 3 middle panel, flag #A).
While helium is burnt in a convective core, the evolutionary track shows
excursions, from the Hayashi asymptotic line towards higher effective
temperature (flags #A to #B), subsequently coming back towards the asymptotic
giant branch as the exhaustion of helium at centre proceeds.
Large loops are obtained for stars with large mass. With decreasing mass, the
loops become gradually smaller and finally degenerate to a mere down and up
along the Hayashi line. For higher masses just before flag #C,
the radiative gradient (Eq. (3)) increases above its
adiabatic value in the envelope according to a subtle balance between opacity,
luminosity, temperature, a fleeting convection zone is formed leading to a
blanketing effect.
That leads to an enhancement of the core temperature, which is followed
by an increase of the effective temperature and by the formation of a
supplementary
loop (flags #C to #D) finally coming back to the giant branch (flag #E).
Sometimes these additional loops (Degl'Innocentini et al. 2008, Fig. 1) are described
outside of the instability
strip as seen in Fig. 2 right panel for
.
As the evolutionary tracks cross
the instability strip with different luminosity values several times,
it is difficult to associate a theoretical model to a defined location
in the instability strip. Figure 3 middle panel exhibits such
ambiguous situations.
Moreover the existence, the formation, the shape, and the extension of
blue-loops appear to be caused by the interaction
of several factors with an extreme sensitivity to small changes in the
stellar chemical composition, in the physics adopted, and in the
calculations (Kippenhahn & Weigert 1991, par. 31.4). The same prevails for the formation of
fleeting convection zones leading to the generation of additional blue loops.
Within the instability strip the luminosity is about
constant, so that on the way towards the blue limit the effective temperature
increases, while the radius and the period decrease (Eq. (2)),
they both increase on the way towards the red part.
As reported in Tables 4-6
the temporal derivative of the period,
,
is negative when the star is on the way
towards the blue and positive when it goes towards the red.
For models computed with CHeB the situation is simpler. The evolutionary tracks
become separated as soon as the
is ignited in the core
(Fig. 2 middle panel, flag #1). That occurs on the sub-giant branch before any
dredge-up. At the centre the temperature is close to
MK and
a convective core is formed.
Between flags #1 and #2 the luminosity and the stellar radius increase.
At flag #2 the abundance of He is halved in the core.
Between flags #2 and #3, the core becomes radiative and Y has decreased
to 0.1 at the centre.
The star expands and the effective temperature and luminosity
increase. The nuclear energy generation amounts to 37% from
He burning and 67% from CNO. At flag #4 the temperature at the centre
amounts to 100 MK and the stellar radius expands up to
;
the helium is exhausted at the centre, the core becomes radiative and
He starts to burn in
a shell source. The evolutionary track undergoes a tiny turn-off.
Between flags #5 and #6 the CHeB model crosses the instability strip with
a luminosity higher than that of the HHeB model at the beginning of its
secondary blue loop (flags #C to #D, then #E).
Afterwards, the effective temperature decreases, and the increase of
opacity makes the envelope convective. The mixing expands down to the
hydrogen shell source and the model goes back to the Hayashi line.
Summing up, the evolutionary tracks cross the instability strip:
- on the sub-giant branch and during helium exhaustion at the centre which occurs after the dredge-up for models computed with HHeB.
- after helium exhaustion at the centre, which occurs before the dredge-up for models computed with CHeB.
4 Discussion
Theoretical mass:
the amount of helium processed in the core by nuclear hydrogen burning along the main sequence is identical for CHeB and HHeB. At the ignition of the 3Therefore to a fixed mean luminosity will correspond a smaller mass for models
computed with CHeB.
Figure 4 shows the linear regressions of mass with respect to period.
If the new
rate was at work in the stars, the dashed line would
correspond to the pulsation mass and the full one to the larger theoretical one.
The differences amount to
0.02 dex (
4.5%). This first
approximation goes in the right direction, although the difference does not
reach the 10 to 20% required by Keller (2008). Furthermore, the difference is
constant with respect to the period which is conform to Keller's inferences
- note that Keller removed the mass discrepancy trend with respect
to the mass previously found by Caputo et al. (2005).
Duration of the pulsation:
Table 3 reports the total durations of the presence in the instability strip of models computed with HHeB and CHeB. Except for the 4Table 1:
Logarithms of the mean luminosity (
)
for models lying
in the instability strip
computed with HHeB, CHeB, and CHeBm.
Table 2: Same as Table 1 for the logarithms of mean periods (day).
Period changes:
for all crossings of the instability strip of models computed with HHeB and CHeB, Tables 4 and 5 show the mean values of periods with their signed temporal derivative,Lithium and C/N depletion:
in models evolved with CHeB, no dredge-up occurs before crossing the instability strip; therefore the atmospheric lithium during the Cepheid phase has kept its initial value. The atmospheric isotopic ratio C/N, which is depleted in the core by the CNO nuclear network at the end of the pre-main sequence, is unchanged. As seen in Fig. 3 upper panel, the atmospheric abundance of 7Li and the C/ N ratio have kept their initial values when the model of aTable 3: Total time (Myr) of presence in the instability strip for models computed with HHeB, CHeB, and CHeBm respectively.
Table 4: Results of models of different masses computed with HHeB.
Table 5: Same as Table 4 for the models computed with CHeB.
Table 6: Same as Table 4 for the models computed with CHeBm.
|
Figure 4: (Colour online) Mass-period relationship for theoretical models computed with CHeB (dashed), HHeB (full), and CHeBm (dot-dash) respectively. |
| Open with DEXTER | |
5 Numerical experiences
The study of Dotter & Paxton (2009) and the present analysis show that models computed with CHeB do not agree with observations. However, the new 3As far as the Cepheids are concerned, the touchstone
is the existence of a deep dredge-up before the ignition of the
reactions. With CHeB these conditions might be filled if the occurrence of
the helium ignition was translated towards the Hayashi line.
This could be obtained if the correction of Ogata et al. (2009) was slightly reduced,
because the CHeB rate goes to the HHeB one as
goes to unity.
On the other hand, because the activation of the convection is monitored by the
radiative temperature gradient:
either an increase of the metallicity, which enlarges the opacity
Reduction of
.
We arbitrarily change the OKK correction in the following way:
This modified rate, referenced by CHeBm (modified cold helium burning) is shown in Fig. 1, while Fig. 5 shows the evolutionary tracks. Tables 1-3 allow comparisons between the relevant characteristics of the models. For models computed with HHeB and CHeBm, the durations into the instability strip are of the same order, the mean luminosities are only slightly higher for CHeB models, and even lower for some masses. The CHeBm models present several crossings of the instability strip with sign changes of the temporal derivative of the period. Between the first and the second crossing (flags IS1 to IS2 in Fig. 6) a slight enlargement of the outer convection zone occurs. It comes down to a level at which lithium is depleted but not deep enough to scoop up the material processed in the core by the CNO cycle, therefore the atmospheric ratio C/N remains unchanged.
|
Figure 5:
(Colour online) Same as Fig. 2 left panel for CHeBm
(modified |
| Open with DEXTER | |
Increase/decrease of the metallicity.
The evolutionary tracks of the
Convective core overshooting.
The
|
Figure 6:
(Colour online) Evolution of the internal structure of a 6.6 |
| Open with DEXTER | |
|
Figure 7:
(Colour online) Comparisons of evolutionary tracks of 6.6 |
| Open with DEXTER | |
|
Figure 8:
(Colour online) Evolution of the internal structure of a
6.6 |
| Open with DEXTER | |
6 Conclusions
In this paper we have examined some consequences of the new rate of the- it is no longer necessary to have blue-loops with a large enough extent for crossing the instability strip;
- the evolutionary tracks cross the instability strip once and only once with a practically constant luminosity. There is a once to once mapping between luminosity, effective temperature and mass, age;
- because helium is not diluted by a deep dredge-up, the large amount of helium nuclear fuel available in the core leads for a given mass to a higher luminosity. Hence the difference between theoretical and pulsational mass is reduced. Potentially, for some Cepheids, the estimated distance from the theoretical luminosity/period relationship might be reduced.
- the more serious is the positive rate of the period change caused by the monotonous enlargement of the radius during the crossing of the instability strip. The observations clearly exhibit positive and negative rates of period change.
- observations also reveal the depletion of the atmospheric lithium and
C/N ratio,
consequences of a deep dredge-up occurring before the pulsation phase,
but occuring later in models computed with the new
rate.
We express our gratitude to the referee Dr. Nielson whose important and constructive remarks led to substantial improvements of the paper.
References
- Alexander, D. R., & Ferguson, J. W. 1994, ApJ, 437, 879 [NASA ADS] [CrossRef] [Google Scholar]
- Angulo, C., Arnould, M., Rayet, M., & the NACRE collaboration 1999, Nucl. Phys. A, 656, 3 [NASA ADS] [CrossRef] [Google Scholar]
- Asplund, M., Grevesse, M., & Sauval, A. J. 2005, in Cosmic Abundances as Records of Stellar Evolution and Nucleosynthesis, ed. T. G. Barnes III, & F. N. Bash, ASP Conf. Ser., 336 [Google Scholar]
- Canuto, V. M., & Mazitelli, I. 1991, ApJ, 370, 295 [NASA ADS] [CrossRef] [Google Scholar]
- Caputo, F., Bono, G., Fiorentino, G., Marconi, M., & Musella, I. 2005, ApJ, 629, 1021 [NASA ADS] [CrossRef] [Google Scholar]
- Charbonnel, C., & Balachandran, S. C. 2000, A&A, 359, 563 [NASA ADS] [Google Scholar]
- Cox, A. N. 1980, ARA&A, 18, 15 [NASA ADS] [CrossRef] [Google Scholar]
- Degl'Innocentini, S., Prada Moroni, P. G., Marconi, M., & Ruoppo, A. 2008, Ap&SS, 316, 25 [NASA ADS] [CrossRef] [Google Scholar]
- Dotter, A., & Paxton, B. 2009, A&A, 507, 1617 [Google Scholar]
- Eggleton, P. P., Faulkner, J., & Flannery, B. P. 1973, A&A, 23, 325 [NASA ADS] [Google Scholar]
- Grevesse, N., & Noels, A. 1993, in Cosmic Abundances of the Elements, ed. E. Prantzos, Langioni-Flam, & M. Casse (Cambridge Univ. Press), 14 [Google Scholar]
- Iben, I. 1975, ApJ, 196, 525 [NASA ADS] [CrossRef] [Google Scholar]
- Iglesias, C. A., & Rogers, F. J. 1996, ApJ, 464, 943 [NASA ADS] [CrossRef] [Google Scholar]
- Keller, S. C. 2008, ApJ, 677, 483 [NASA ADS] [CrossRef] [Google Scholar]
- Kippenhahn, R., & Weigert, A. 1991, Stellar Structure and Evolution (Berlin: Springer-Verlag) [Google Scholar]
- Kovtyukh, V. V., Wallerstein, G., & Andrievky, S. M. 2005, PASP, 117, 1182 [NASA ADS] [CrossRef] [Google Scholar]
- Luck, E. R., & Lambert, D. L. 1981, ApJ, 245, 1018 [NASA ADS] [CrossRef] [Google Scholar]
- Mihalas, D. 1978, Stellar Atmosphere (New York: Freeman and Cie) [Google Scholar]
- Morel, P. 1997, A&AS, 124, 597 [NASA ADS] [CrossRef] [EDP Sciences] [MathSciNet] [PubMed] [Google Scholar]
- Morel, P., & Lebreton, Y. 2008, Ap&SS, 316, 61 [NASA ADS] [CrossRef] [MathSciNet] [Google Scholar]
- Ogata, K., Kan, M., & Kamimura, M. 2009, Prog. Theor. Phys., 122, 1055 [NASA ADS] [CrossRef] [Google Scholar]
- Saruwatari, M., & Hashimoto, M. 2008, Prog. Theor. Phys., 120, 1 [CrossRef] [Google Scholar]
- Rabidoux, K., Smith, H. A., Pritzl, B. J., et al. 2010, ApJ, 139, 2300 [Google Scholar]
- Turner, D. G. 2001, Odessa Astr. Pub., 14, 166 [Google Scholar]
- Turner, D. G., Abdel-Latif, M. A.-S., & Berdnikov, L. N. 2006, PASP, 118, 410 [NASA ADS] [CrossRef] [Google Scholar]
- Valle, G., Marconi, M., Deg'Innocenti, S., & Prada Morono, P. G. 2009, A&A, 507, 1541 [NASA ADS] [CrossRef] [EDP Sciences] [Google Scholar]
Footnotes
- ...
diluted
- Because
,
the subsequent
increase of atmospheric helium is not observable during the pulsation.
All Tables
Table 1:
Logarithms of the mean luminosity (
)
for models lying
in the instability strip
computed with HHeB, CHeB, and CHeBm.
Table 2: Same as Table 1 for the logarithms of mean periods (day).
Table 3: Total time (Myr) of presence in the instability strip for models computed with HHeB, CHeB, and CHeBm respectively.
Table 4: Results of models of different masses computed with HHeB.
Table 5: Same as Table 4 for the models computed with CHeB.
Table 6: Same as Table 4 for the models computed with CHeBm.
All Figures
|
Figure 1:
(Colour online) The NACRE (full) and enhanced Ogata et al. (2009) (dash)
triple-alpha reaction rates variations with temperature.
With OKK, the temperature of the ignition is about
halved. For CHeBm (dot-dash) the correction
|
| Open with DEXTER | |
| In the text | |
|
Figure 2: (Colour online) Left panel: evolutionary tracks computed with cold helium burning (CHeB). Right panel: evolutionary tracks computed with hot helium burning (HHeB). The left and right dashed lines respectively delimit the blue and red sides of the Cepheids instability strip. For clarity only the part of the evolutionary tracks beyond the ZAMS is displayed. |
| Open with DEXTER | |
| In the text | |
|
Figure 3:
(Colour online) Evolutions of the internal structure of two models of
6.6 |
| Open with DEXTER | |
| In the text | |
|
Figure 4: (Colour online) Mass-period relationship for theoretical models computed with CHeB (dashed), HHeB (full), and CHeBm (dot-dash) respectively. |
| Open with DEXTER | |
| In the text | |
|
Figure 5:
(Colour online) Same as Fig. 2 left panel for CHeBm
(modified |
| Open with DEXTER | |
| In the text | |
|
Figure 6:
(Colour online) Evolution of the internal structure of a 6.6 |
| Open with DEXTER | |
| In the text | |
|
Figure 7:
(Colour online) Comparisons of evolutionary tracks of 6.6 |
| Open with DEXTER | |
| In the text | |
|
Figure 8:
(Colour online) Evolution of the internal structure of a
6.6 |
| Open with DEXTER | |
| In the text | |
Copyright ESO 2010
Current usage metrics show cumulative count of Article Views (full-text article views including HTML views, PDF and ePub downloads, according to the available data) and Abstracts Views on Vision4Press platform.
Data correspond to usage on the plateform after 2015. The current usage metrics is available 48-96 hours after online publication and is updated daily on week days.
Initial download of the metrics may take a while.
![\begin{figure}
\par\includegraphics[angle=-90,width=8.8cm,clip]{14329fig1.eps}
\end{figure}](/articles/aa/full_html/2010/12/aa14329-10/Timg18.png)
![\begin{figure}
\hbox {\includegraphics[angle=-90,width=8.8cm]{14329fig2-1.eps}\h...
...truecm}
\includegraphics[angle=-90,width=8.8cm]{14329fig2-2.eps} }\end{figure}](/articles/aa/full_html/2010/12/aa14329-10/Timg19.png)
![\begin{figure}
\par\includegraphics[angle=-90,width=8.8cm]{14329fig3-1.eps}\par\...
...-2.eps}\par\includegraphics[angle=-90,width=8.8cm]{14329fig3-3.eps}
\end{figure}](/articles/aa/full_html/2010/12/aa14329-10/Timg30.png)
![\begin{figure}
\par\includegraphics[angle=-90,width=8.8cm]{14329fig4.eps}
\end{figure}](/articles/aa/full_html/2010/12/aa14329-10/Timg65.png)
![\begin{figure}
\par\includegraphics[angle=-90,width=8.8cm]{14329fig5.eps}
\end{figure}](/articles/aa/full_html/2010/12/aa14329-10/Timg69.png)
![\begin{figure}
\par\includegraphics[angle=-90,width=8.8cm]{14329fig6.eps}
\end{figure}](/articles/aa/full_html/2010/12/aa14329-10/Timg74.png)
![\begin{figure}
\par\includegraphics[angle=-90,width=8.8cm]{14329fig7.eps}
\end{figure}](/articles/aa/full_html/2010/12/aa14329-10/Timg75.png)
![\begin{figure}
\par\includegraphics[angle=-90,width=8.8cm]{14329fig8.eps}
\end{figure}](/articles/aa/full_html/2010/12/aa14329-10/Timg76.png)