| Issue |
A&A
Volume 520, September-October 2010
|
|
|---|---|---|
| Article Number | A43 | |
| Number of page(s) | 15 | |
| Section | Planets and planetary systems | |
| DOI | https://doi.org/10.1051/0004-6361/201014903 | |
| Published online | 29 September 2010 | |
The effect of gas drag on the growth of protoplanets
Analytical expressions for the accretion of small bodies in laminar disks
C. W. Ormel - H. H. Klahr
Max-Planck-Institut für Astronomie, Königstuhl 17, 69117 Heidelberg, Germany
Received 30 April 2010 / Accepted 1 July 2010
Abstract
Planetary bodies form by accretion of smaller bodies. It has been
suggested that a very efficient way to grow protoplanets is by
accreting particles of size
km
(e.g., chondrules, boulders, or fragments of larger bodies) as they can
be kept dynamically cold. We investigate the effects of gas drag on the
impact radii and the accretion rates of these particles. As simplifying
assumptions we restrict our analysis to 2D settings, a gas drag law
linear in velocity, and a laminar disk characterized by a smooth
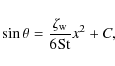
(global) pressure gradient that causes particles to drift in radially.
These approximations, however, enable us to cover an arbitrary large
parameter space. The framework of the circularly restricted three body
problem is used to numerically integrate particle trajectories and to
derive their impact parameters. Three accretion modes can be
distinguished: hyperbolic encounters, where the 2-body gravitational focusing enhances the impact parameter; three-body encounters, where gas drag enhances the capture probability; and settling encounters,
where particles settle towards the protoplanet. An analysis of the
observed behavior is presented; and we provide a recipe to analytically
calculate the impact radius, which confirms the numerical findings. We
apply our results to the sweepup of fragments by a protoplanet at a
distance of 5 AU. Accretion of debris on small protoplanets (
50 km)
is found to be slow, because the fragments are distributed over a
rather thick layer. However, the newly found settling mechanism, which
is characterized by much larger impact radii, becomes relevant for
protoplanets of
103 km in size and provides a much faster channel for growth.
Key words: planets and satellites: formation - protoplanetary disks - minor planets, asteroids: general
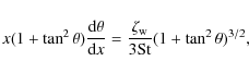
1 Introduction
We consider how gas drag affects the collision rates between a big body
- a planetesimal or protoplanet - and small particles, e.g., dust,
chondrules, or boulders. Although the core accretion model (Hubickyj et al. 2005; Pollack et al. 1996) in its initial stages, i.e., before the formation of a
10 Earth mass (
)
core, concerns the accumulation of solid bodies, the role of the gas
cannot be overstated. In the early phases of planet formation - the
growth of dust to planetesimals - the gas damps the velocities of small
particles. Initially, the (relative) velocities between particles are
tiny and this is the reason why dust grains can coagulate due to
intermolecular forces (Blum & Wurm 2000; Dominik & Tielens 1997)
- an effect much harder to envision in the diffuse interstellar medium
or even in molecular clouds. In this stage mechanisms that induce a
relative velocity among the dust particles include Brownian motion,
settling, radial drift, and turbulent motions. The latter three are all
functions of the particle's stopping time, a measure of how well
particles couple to the gas. With increasing size (or, more correctly,
increasing mass-to-surface area) particles couple less well to the gas
and relative velocities increase, culminating in the so called
meter-size barrier, which, at our current level of understanding, can
best be overcome by the combined efforts of turbulent concentration and
gravitational collapse (Cuzzi et al. 2010; Johansen et al. 2007,2009).
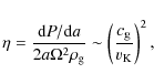
Gas drag also affects the collisional behavior at a much later stage, when protoplanets accrete planetesimals of perhaps
1-102 km
in size. The collisional cross section between these big bodies is
increased by gravitational focusing, i.e., the body can accrete
particles at a cross section larger than its geometrical cross section
due to gravitational deflection (Wetherill & Stewart 1989; Safronov 1969; Greenzweig & Lissauer 1992,1990). This effect, however, is very sensitive to the velocity
at which the bodies approach: if
is too large, the focusing vanishes. In planetesimal accretion theory
it is expected that a protoplanet will excite the random motions
(eccentricities and inclinations) of the bodies it is accreting from,
leading to a self-regulated accretion behavior, which slows down the
growth (Ida & Makino 1993; Kokubo & Ida 1998; Ormel et al. 2010a).
Gas drag can provide some relief since, by damping the random motions
of the planetesimals, the gravitational focusing is kept large.
Moreover, the capture probability of planetesimals is also
significantly increased when (proto)planets are surrounded by
atmospheres (Tanigawa & Ohtsuki 2010; Inaba & Ikoma 2003)
- again, gas drag is the mechanism that facilitates their accretion.
Still, it is unclear if these effects are sufficient to overcome the
timescale problem, i.e., to grow protoplanets to
10
within the time the gas disk dissipates (
106 yr); see Levison et al. (2010) for a recent review.
Due to the dynamical heating of planetesimals,
planetesimal-planetesimal collisions may become disruptive, producing
smaller planetesimals or even fragments (Leinhardt et al. 2009; Wetherill & Stewart 1993).
These fragments can be kept dynamically cold, e.g., by mutual
collisions or by gas drag. The accretion then takes place at low
- the shear-dominated regime - which is very favorable for growth (Goldreich et al. 2004).
The generation of large amounts of fragments therefore can
significantly boost accretion. In particular, the accretion rate in the
two dimensional (interactions are confined to a plane), gas-free, three-body regime (including the gravity of the central star) is derived by a number of studies to be
(e.g., Rafikov 2004; Ida & Nakazawa 1989; Greenberg et al. 1991; Ormel et al. 2010b; Weidenschilling 2005; the numerical constant is adopted from Inaba et al. 2001), where
the Hill velocity,
,
a0 the semi-major axis,
the corresponding orbital frequency,
the ratio between the mass of the protoplanet and the central star, and
the ratio between the protoplanet radius and the Hill radius,
.
Equation (1) is often used in statistical models for the accretion rate (e.g., Kobayashi et al. 2010; Chambers 2008,2006; Brunini & Benvenuto 2008; Inaba et al. 2001). It represents a fast accretion rate. Kenyon & Bromley (2009), applying such a fragmentation-driven accretion scenario, calculate that the core formation process can be completed within 106 yr.
How would gas drag affect these conclusions; i.e., does the rather large accretion rate of Eq. (1)
also materialize in the presence of gas drag? Qualitatively, two
directions can be envisioned. On the one hand, the dissipative nature
of the drag will enhance the collision (impact) radius, like in the
case of a dense atmosphere. Conversely, strong particle-gas coupling
will suppress the accretion efficiency since the gas after all is not
accreted but flows past the object (until the point where it has become
more massive than 10
and gas runaway accretion kicks in). It is a priori unclear which
aspect of the drag - the coupling or the dissipation - will turn out to
be the more important.
To address these questions we include gas drag as an additional force
to the restricted 3-body problem that has been previously used in
calculating accretion rates in gas-free systems (or in systems where
gas can be neglected; Ida & Nakazawa 1989; Petit & Henon 1986). Using appropriate scaling behavior, we show, in Sect. 2,
that the system of equations containing all the physics can be restated
into two dimensionless parameters: the dimensionless headwind velocity
that the protoplanet experiences and the dimensionless stopping time (Stokes number,
)
of the particle. Our setup is idealized in the sense that we assume a
steady gas flow of constant density (i.e., no pressure fluctuations or
atmospheres), a drag law linear in velocity (applicable to small
particles), and only consider drift motions of particles.
After having outlined our setup in Sect. 2, Sect. 3 considers the geometrical limit, in which the 2 body interaction is absent or can be ignored. In Sect. 4 we perform an extensive parameter study to obtain the impact parameters as function of the relevant dimensionless quantities. Section 5 presents an analytic model to obtain the impact radii and accretion rates from first principles, which we compare to our measured values. Section 6 illustrates the significance of our result by calculating the protoplanet growth timescale in which we apply a correction to account for the scaleheight of the particle layer. We discuss limitations of our results and summarize in Sect. 7.
2 Sketch of problem and approach
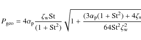
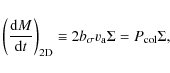
2.1 Definition of impact radius
In this study we will calculate both numerically and analytically impact radii,
.
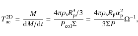
In 3D systems, the collision rate
is the product of the velocity at which the bodies approach each other, the approach velocity,
,
the cross section for collisions,
,
and the volume density in solids
that are accreted,
.
In 2D configurations the vertical dimension is lacking and we define
where
In the gas-free regime particles enter the Hill sphere from orbits both
interior and exterior to that of the planet, see Fig. 1. Therefore,
is associated with the lengthscale over which particles impact for one
of these branches. However, particles can only enter at specific
intervals,
(e.g., Greenberg et al. 1991); particles on impact parameters
move on horseshoe orbits that do not enter the Hill sphere. The approach velocity
for the 3-body regime is defined as the average shear velocity (
)
over the above interval, i.e.,
Using
as the (effective) impact radius for accretion in the 2D gas-free regime. Note that since
|
Figure 1:
Sketch of particle trajectories in the comoving frame. We consider the motion of the third (test) particle m in the comoving frame of the second body ( |
| Open with DEXTER | |
2.2 The circularly restricted three body problem modified by gas drag
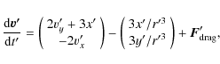
We briefly review the circularly restricted three body problem using the framework of Hill's equations (Hill 1878) and include a drag term. The restricted three body problem assumes that the mass of the third body (M3) can be neglected with respect to the masses of the other two bodies, M1, M2.
Furthermore, it is assumed that the orbits of the bodies are confined
to a single plane and that these are circular for the two massive
bodies. In our case the first body is the central star (
), the second the (proto)planet (
), and the third the (test) particle m.
We then consider the motion of the test particle in a coordinate system
centered on and rotating with the motion of the planet. The resulting
equations of motions for m in such a frame rotating with angular frequency
read
where
Next, we rewrite Eq. (7) in dimensionless form by normalizing lengths to Hill radii
where
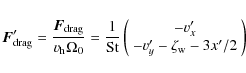
2.3 The gas drag force
The drag force,
,
can be expressed in terms of a stopping time
,
where
with
where
For the drag force we consider several regimes. The stopping time for solid spheres of internal density
for particles of increasing size s reads (Weidenschilling 1977a):
where
is the density of the gas, and
the mean free path of the gas. For small particles the Epstein regime
holds. The Stokes regime supersedes the Epstein regime for particle
sizes
.
In both the Epstein and the Stokes regime the gas drag is linear with
velocity and the stopping time reflects a particle property. These are
the regimes for which our study is applicable. In the quadratic regime
the stopping time becomes a function of the particle velocity since
here
.
In fact, there is a transition regime between the Stokes and quadratic drag regimes where stopping times are proportional to
,
which we have, for reasons of simplicity, ignored here (following Rafikov 2004).
As an (approximate) upper limit for
we can take the headwind velocity,
.
The transition between the Stokes and the quadratic drag regimes then occurs at a size of
where we used
Expressed in dimensionless form the drag law reads
|
(14) |
where we used Eq. (9) for
with
2.4 Dimensionless quantities
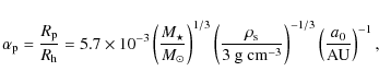
Table 1: Dimensional and dimensionless parameters.
Table 1 compiles some key quantities in both dimensional and dimensionless form. These include the dimensionless headwind velocity
(Eq. (15)), the particle Stokes number
,
and the protoplanet radius
which mainly depends on semi-major axis a0. In Fig. 2 we give the relation between the dimensionless
The full set of equations of motions in dimensionless form, dropping the primes, reads
The drag-free equations of motions are retrieved when
,
which signifies that particles are not coupled to the gas. However, for Stokes number
particles are coupled to the gas and the importance of the drag terms becomes relevant or even dominant. Petit & Henon (1986) and Ida & Nakazawa (1989), working in the gas-free regime, only had to care about the first terms on the RHS of Eq. (17)
and the equations of motions did not include any parameter. The
addition of gas drag introduces two parameters: the velocity of the gas
flow
and the coupling parameter
.
Together with the size of the planet,
,
these fully specify the problem; i.e., impact parameters
depend on these three dimensionless quantities only. Although not as clean as the drag-free equations, Eq. (17) still represent a significant reduction of the parameters involved (semi-major axis, particle size s, protoplanet size
,
headwind velocity, gas density, etc.). In our parameter study we only have to care about these three parameters.
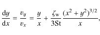
We do not include the eccentricity in our prescription (and also not the inclination since the interaction is assumed to be 2D). Rather, the initial velocity of the approaching particle is given by the radial drift equations for individual particles, neglecting the 2-body interaction term. These we will now review.
3 The geometrical limit
Ignoring the 2-body interaction force, we will analytically solve
for the particle's trajectory in the comoving frame. As we will soon
see, impact parameters along a particle trajectory are generally not
conserved. We provide a general relation between the impact parameter
at the interaction point (
)
and its projected value on the x and y axes at any arbitrary point (Eq. (21)). This relation will be used later in Sect. 4 to obtain the impact radii
.
3.1 Steady-state velocities
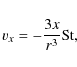
Without the two-body interaction term, the motion of the particle fulfills the well-known drift equations (Weidenschilling 1977a; Nakagawa et al. 1986; Brauer et al. 2007):
|
(18b) |
where
and it can be verified that with these expressions the RHS of Eq. (17) vanishes when the two body interaction terms (-3x/r3 and -3y/r3) are omitted.
3.2 The parabola solution
|
Figure 2:
Relation between dimensionless and physical quantities. The Stokes number ( |
| Open with DEXTER | |
|
Figure 3:
Without the two body force, particle trajectories as witnessed from the
comoving frame obey parabolas. Two trajectories are shown: one that
passes through the origin (y0(x)) and one that just hits the target. The corresponding impact parameter b is denoted by arrows. For curved trajectories b is not conserved due to the changing slope of the curves, here indicated by the angle |
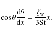
| Open with DEXTER | |
we immediately recognize that the particle's trajectory in the rotating frame obeys a parabola, y(x)=Ax2 +Bx +C with
If the particle trajectories were straight, impact parameters would be the same everywhere in the (x,y)-plane. However, due to the x2-term this statement no longer holds for the general case of nonzero A. See Fig. 3: the impact parameter near the origin or at the interaction region,
,
differs from that at S. Impact parameters are no longer conserved due to the change in
.
The changing slope of the curve is indicated in Fig. 3 by the angle
,
where
is related to Eq. (20) as
.
Using the properties of the parabola solution we can relate the quantities at I to those at S. At the interaction point I the impact parameter is
(=
in the geometrical case) and the associated vertical width is
with
the angle the parabola makes at this point. Similarly,
and due to the invariance of
we therefore have that
.
The associated change in x at the starting point is
.
This can be expressed in terms of the impact parameter at the interaction point
,
i.e.,
where we used that
3.3 Collision rates
The collision rate P in the 2D configuration is the product of the collision cross section,
,
and the approach velocity,
.
At S we have that
.
At I the collision rate equals
.
Now, using Eq. (21) we have that
and we see that the rates at I and S are equal and independent of the choice for the starting point
. This result just reflects mass conservation. Thus, we obtain the collision rate:
where
4 Full 3-body integrations including gas drag and gravity
4.1 Description of the adopted algorithm
We perform a parameter study of Eq. (17), varying
and
.
For the dimensionless headwind velocity runs were performed at
and for the Stokes number values of
were sampled. Thus, we obtain a grid of
different combination of
and
.
Not every combination is equally likely. Indeed, the parameter space
samples areas where our key approximations (linear drag law, constant
gas density) lose validity, but we intentionally sample a broad range
of values to verify the validity of our analytical expressions (see
Sect. 5).
|
Figure 4:
The minimum distance in units of Hill radii to the origin (center of the protoplanet),
|
| Open with DEXTER | |
For each combination of
and
we numerically determine the function
.
Particles are launched from a starting point
where
is fixed and
is varied, see Fig. 3. The initial velocities are given by Eq. (
). Depending on the sign of
the initial y-position (+ or -) is determined, such that the initial motion in y is always directed towards the planet. Here, we fix
at 40 (Ida & Nakazawa 1989). Particles that leave the computational domain (when |y|>40 or x<-40) are no longer followed. For a certain
we numerically integrate Eq. (17) adopting a relative error of at most 10-8. As our integrator we use a fifth-order Runge-Kutta scheme with timestep control (Shampine et al. 1979; Fehlberg 1969). After the calculation has terminated we determine (and store) the minimum distance,
.
In this way
is obtained, see Fig. 4. Projected impact parameters
are then obtained from the
curve by summation over the intervals where
,
i.e.,
where H(t) is the Heaviside step function,
|
(24) |
(Simply put: we only include the orbits that hit the target.)
As
is occasionally found to vary steeply with
,
fine sampling of the x-axis is required. Therefore, we sample our parameters space (
)
adaptively. We start out with intervals of 1 Hill radii, e.g.,
.
In the next level the interval spacing is reduced by a factor 10,
.
However, we only treat the points that fulfill the condition
,
where F is empirically fixed at 103 (see below). For example, if
this point will be skipped in the next iteration of the algorithm. If
fulfills the condition, however, then both sides will be scanned; e.g., if
then, we will additionally perform calculations for
and
.
In this way we reduce the number of calculations but are still able to obtain a good assessment of
for low
.
Despite this optimization, we were forced to perform a relatively large number of integrations, i.e., a large F. The reason is the presence of very narrow, chaotic bands. In Fig. 4 band b near
is a regular band since
varies smoothly with
.
A low F
value suffices to pick up this feature. However, bands a and d are very
narrow and show (if one would zoom in) additional substructure. These
chaotic bands are not resolved when choosing a low F. In fact, there is no guarantee that our algorithm will pick up every band since they can be very narrow. However, with F=103 we do obtain a good correspondence to previous works (Ida & Nakazawa 1989; Petit & Henon 1986), also matching the substructure within the narrow bands shown in Fig. 4.
Following the discussion in Sect. 3 we emphasize again that the starting points (
values) are not fundamental, but depend on the choice of the starting point
.
Taking a different value of
,
e.g.,
,
will shift the features of Fig. 4b towards higher
values. In addition, the spacing (width of the features) will be
different. The only conserved (physical) quantity is the mass flux,
i.e., the integral of
over the width of the feature - independent of the choice of
.
|
Figure 5:
Examples of planet-particle interactions for different values of the dimensionless headwind velocity
|
| Open with DEXTER | |
4.2 Orbits including gas drag
Figure 5 provides several examples of particle trajectories that experience gas drag. Figure 5a shows the trajectories for
and
with different starting points
(Fig. 4 contains the same parameters). For a ``standard'' nebula setting, these parameters correspond to
m-size particles accreting onto a
103 km planet, see Fig. 2.
Due to the large Stokes number, the influence of the gas is relatively
weak and the orbits bear a close resemblance to the gas-free, three
body regime. The
trajectory enters the Hill sphere, where it experiences a close encounter, at
,
before leaving the Hill sphere. It then re-emerges later at negative x due to the combined effects of inwards radial drift and Keplerian shear. However, the particle that started out at
is captured within the Hill sphere and experiences strong orbital decay due to gas drag.
Figure 5b shows
orbits for smaller particles of Stokes number 0.01. Four orbits are
shown of which two lead to accretion. Clearly, there is a contest
between the gravitational pull of the planet and the aerodynamic pull
of the gas flow. Once close enough, gravity always wins. All orbits
with
are accreted; there are no close encounters. Accretion is independent
of the physical proportion or internal density of the protoplanet; once
a particle's angular velocity about the planet is damped by drag, it
settles radially at its terminal velocity. The only relevant physical
quantity is the mass. This mode of accretion reflects the capture
mechanism of Fig. 5a. We will refer to orbits like the
curve in Fig. 5a as gas drag induced orbital decay, whereas the accretion mode in Fig. 5b is referred to as settling and draw the dividing line at
.
On the other hand Fig. 5c, which features a larger dimensionless headwind (meaning: a smaller protoplanet) of
,
does not display the settling behavior. Here, particles can only be accreted due to the finite size of the target. The
trajectory has a minimum distance of
;
the
trajectory
.
Clearly, for a planet size
the impact parameter in Fig. 5c is much less than for the settling orbits of Fig. 5b. Since the Stokes numbers are the same, the reason must be due to the larger headwind velocity
.
This is understandable since particles of
approach at the headwind velocity (
)
and a large
is not conducive for accretion.
In the lower panels of Fig. 5 we vary either the Stokes number (particle size) or
(protoplanet size) with respect to the panel above. For a Stokes number of 103, see Fig. 5d,
the effects of gas-drag are even less pronounced and it becomes more
difficult to capture these (big) particles within the Hill sphere.
Moreover, if such a particle would be captured, it takes longer to
finally accrete this particle due to orbital decay. Another difference
with Fig. 5a is that the
particles can now also enter the Hill sphere from interior orbits (negative
). In Fig. 5a the strong radial drift still prevents particles from entering the Hill sphere from the negative y-direction; however, for
the radial drift is sufficiently reduced to render the situation more akin to the symmetric gas-free limit.
The
orbits in Fig. 5e also feature accretion from particles approaching the planet from interior orbits, which the
orbits of Fig. 5b were not capable of. The dimensionless headwind parameter of
corresponds to a very big planet (in the canonical model) for which, as
we will discuss below, the constant gas density background is
unrealistic. Alternatively, it can represent a smaller protoplanet in a
nebula where the dimensional headwind is, for some reason, strongly reduced. In any case, we see that low
tends to make the interactions more symmetric. This can be seen from the
:
low
or large
reduce the contribution from the non-symmetric headwind term,
.
Figure 5f shows, however, that for
and
the picture is anything but symmetric. The particles approach the planet from a very radial direction (x-direction) - at least, as seen from the perspective of the planet. The point is here that both
and
are large. Thus, both planet and particle move at a Keplerian velocity (in the azimuthal direction) but, due to the large
,
the particle still suffers a significant radial drift, which outweighs
the effects of the Keplerian shear. As a result, the situation is
similar to Fig. 5c: accretion does only proceed through close encounters.
4.3 Collision rates
We obtain the (dimensionless) collision rate from the encounters that hit the protoplanet, i.e.,vy(x) given by Eq. (19) and H(t) the Heaviside step function. Figure 6 plots contours of
for a planet size of
,
which corresponds to an heliocentric distance of
5 AU. The reader must realize that P is expressed in dimensionless units; the large rates that can be seen at large
(and
)
are less impressive upon multiplication by
(see Eq. (15)). In fact, these high P values are consistent with the geometrical sweepup rates of Eq. (22).
However, the expression in terms of dimensionless units is useful since
we can directly compare it to the gas-free limit for which
,
see Sect. 2.1. For large
and small
,
P converges to
,
the expected behavior. However, for the remainder P deviates significantly from
.
We sum up the main features:
- 1.
- Particles of
accrete very well when the headwind velocity is low. There is a distinct peak at
;
the accretion rate is here 20 times larger than Eq. (1). However, there is a very sharp transition between
.
- 2.
- For large
,
is larger than
although no gravitational focusing takes place. The sweepup is so effective due to the strong headwind.
- 3.
- For
,
the band
features a maximum in P.
- 4.
- For
and low
(large planets), collision rates are lower than
.
Tiny dust particles stay ``glued'' to the gas due to their strong coupling, preventing accretion.
|
Figure 6:
Contour plot of collision rates obtained from the numerical integrations for
|
| Open with DEXTER | |
5 A simple model for gravo-gas interactions
5.1 Model outline
We present a simple model for the impact parameter
.
The model is summarized in Fig. 7,
where the three relevant regimes for the impact parameter are shown. In
the hyperbolic regime encounters follow the two-body approximation. The
usual gravitational focusing formula applies. Keplerian shear is
unimportant. In the settling regime particles settle to the target and
the impact parameter is independent of the planet size,
.
For this reason, impact parameters can become rather large. Finally, in
the three-body regime, the encounter proceeds along the lines of the
drag-free three body encounters at low energy. However, the presence of
the gas now causes some particles to be captured within the Hill
sphere; these orbits decay and this enhances the accretion rate.
|
Figure 7: Illustration of the three
accretion regimes. In the hyperbolic regime interactions are 2-body
encounters and the standard formula for gravitational focusing applies.
In the settling regime, accretion proceeds through settling, which
enhances the impact parameter |
| Open with DEXTER | |
5.1.1 Importance of three body encounters
It is clear that for
the encounter cannot be described by a 2-body interaction, but should
include the solar gravity. But what is the transition between the
2-body and the 3-body regime in the presence of gas drag? A passage
through the Hill sphere typically takes a time of the order of the
orbital period. Thus, at first sight, we can draw the boundary at
since particles of lower stopping time will be strongly affected by the gas. However, a large headwind velocity
has the same effect. Particles that experience a drag force
are blown out of the Hill sphere. Thus, 3-body effects are reduced to the region of parameter space where
and
,
see Fig. 7.
5.1.2 Two body regime: settling- and hyperbolic interactions
We consider an interaction at impact parameter
at an approach velocity
.
The strength of the gravitational force is
and the interaction timescale,
.
The latter quantity can be compared to the particle's response time
.
When
gas drag can be neglected during the encounter; the induced velocity change is
.
However, if
the particle's velocity equilibrates towards
.
For
the approach velocity can be approximately written as
.
For low
we therefore can expect settling since encounter timescales
are long. However, for large
settling will be prohibited: either the induced change
is too little (at large b) or the interaction timescale too short for the particle to obtain its settling velocity (at low b).
To see this quantitatively, the minimum impact parameter for settling is
and the corresponding velocity change is
.
In order for the particle to settle to the central object, the
direction of the particle has to change over a large angle, i.e.,
.
In fact, we obtain a better correspondence with our numerical result if we set the required velocity change to
.
Analytically, it can be shown that this is the required change for
,
see Appendix B. Thus, accretion through settling takes place when
and disappears when
.
At the boundary between the settling and hyperbolic regime it is allowed to take
(as can be verified a posteriori). We then have that for
settling is no longer possible, corresponding to a critical Stokes number
above which accretion through settling will no longer occur.
5.1.3 The settling regime
Assuming the settling regime, particles at impact parameter b experience a velocity impulse of
,
which should equal
for accretion. Since
in this regime (note that we do not neglect the shear term since it becomes important at low
)
the condition
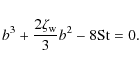
requires us to solve the cubic equation
The (real, positive) solution to this equation is denoted
5.1.4 Hyperbolic regime
At large
the encounter is fast and the presence of gas drag can be ignored
during the encounter. For accretion we now require (by conservation of
angular momentum) that
which is much larger than in the settling regime. For the impact radius
we can just take the standard expression of the
gravitationally-enhanced cross section,
where
5.1.5 The three body regime
Without gas drag the effective impact parameter for collisions is Eq. (5),
,
in dimensionless units (see Sect. 2.1). Gas drag adds another component to the impact parameter on top of Eq. (5). Figure 4
neatly illustrates this behavior. The chaotic band c in the gas-drag
simulation has collapsed. Particles entering at the corresponding
-values are captured and decay to the central object on a timescale ![]()
.
If the gas inside the Hill sphere is removed within this timescale,
these particles will become satellites; however, here we will simply
assume that all captured particles contribute to the collision rate.
Because the accretion in the dissipative 3-body regime is
determined by the behavior of the chaotic zones, it is difficult to
provide an analytic model for the enhanced
.
The chaotic zones are especially susceptible to collapse, because these
particle trajectories are characterized by many revolutions, trough
which a lot of energy can be dissipated. In the gas-free situation one
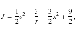
requires a positive energy J to enter the Hill sphere,
and once J becomes negative in the Hill sphere, e.g., by inelastic collisions, the body becomes trapped (Ohtsuki 1993). Here, we face a similar situation where the gas drag is responsible for the energy removal. Unfortunately, in our case an analysis in terms of the Jacobian is not so meaningful as the gas flow can also add energy; i.e., J is not conserved and bodies with J<0 can still be ``blown out'' of the Hill sphere. However, the picture - that gas drag can trap particles - is still the key.
Empirically, we find that the impact radius is increased by a term
,
which corresponds to the dissipated energy over a revolution. For these reasons, we add a term proportional to
to Eq. (5),
where the 1.0 constant is obtained empirically. As we will see in the next section Eq. (31) fits the general trend well, but it cannot reproduce the impact radius at every Stokes value.
5.2 Comparison to numerical results and fine tuning of the recipe
|
Figure 8:
Impact radii from the numerical integrations (symbols) and analytic fits (curves) for a headwind velocity of
|
| Open with DEXTER | |
Figure 8 compares
the impact radii obtained from the numerical integrations (symbols)
with the analytical prescriptions (curves) for a headwind velocity of
and for a planet size of
and 10-5. We have used Eq. (21) to convert the projected impact parameters
to true impact parameters at the interaction point (
). To do so we used the parabola solution, Eq. (20), to evaluate the gradients
at the starting point (
)
and at the interaction point xI. We determine the maximum value of
that resulted in a collision with the planet at the specified
and took this value to compute
.
To compute
we evaluated Eq. (20) at the approach radius
.
Here, for
we took the impact radius obtained from our analytical model described
above, except for interactions in the 3-body regime where we always use
.
At low
the interactions take place in the settling regime. Impact radii are rather large, particularly near the
transition line, and independent of
(the cross and circle symbols overlap), implying that the physical
impact parameter is larger at larger disk radii. For intermediate
Stokes numbers the hyperbolic regime is valid and impact radii are much
smaller. However, for
impact radii once again increase. The behavior is rather erratic, though, with peaks at
and 300 and a depression at 102, valid for both
.
We found that this complex behavior can be attributed to the
trajectories that originate from the third quadrant. Initially, for low
Stokes numbers, these are absent due to the strong radial drift.
However, at a critical Stokes number the contribution of particles
approaching from interior orbits (negative
)
becomes important. We do not have a full understanding how these outliers can be modeled analytically.
The analytic fits to the various regimes are given by the dashed curve
(for settling), solid gray curve (hyperbolic) and solid black curve
(three-body). From Fig. 8 it is obvious that the transition between the settling and the hyperbolic regime is not so sharp. Even particles that have
display settling behavior. For these reasons, we have extended the validity of the settling regime beyond
by adding an exponential term, i.e.,
where
5.3 Collision rates
|
Figure 9:
Contours of |
| Open with DEXTER | |
In Fig. 9 we plot contours of the collision rate, that is, we plot
as function of
and
using the prescription outlined in Table 2. This figure should be compared with Fig. 6.
The curves in Fig. 9 are much smoother due to the much finer grid that the analytic formulation permits. The transition lines,
and
are clearly identified. Our analytic formalism fails to reproduce the
band towards the upper-right of Fig. 6.
However, the overall match is satisfactory; for 90% of the 221 grid
points the analytic and numerical results lie within 30% of each other.
5.4 Summary of impact parameter recipe
Table 2:
Summary of the analytic recipe to obtain the impact radii
and approach velocities
.
Table 2 provides an
executive summary of how the collisional parameters can be obtained
using the analytic prescription. First, one converts the physical
parameters (headwind velocity, disk radius, friction time, etc.) into
the dimensionless quantities
and
.
The corresponding impact radii for the three regimes are calculated in
the second step. Then, in step 3, the appropriate collision regime
is determined by comparing the Stokes number with
(Eq. (26)) and
(Eq. (15)), see also Fig. 7.
Dependent on the applicable regime, the final impact parameter is
obtained by taking the maximum of two impact radii (step 4). Other
quantities (
and
)
also depend on the collision regime.
Then, these results can be converted back to physical units by multiplication of
and
(Eq. (2)) for, respectively, lengths and velocities. The 2D-collision rate is then obtained from Eq. (3). The 3D-collision rate may be estimated by multiplication by a factor
(see Sect. 6), where
is scaleheight of the particles.
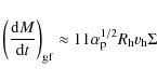
6 Significance to the growth of pre-planetary bodies
In the previous sections we have outlined a general approach to
analytically derive impact radii and collision rates in Hill
coordinates. But what does all of this imply for the growth of
preplanetary bodies? Perhaps the best way to illustrate this point is
to calculate the accretion timescale
where
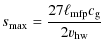
The inverse dependence on disk radius may seem surprising but one has to realize that P via
The 2D regime, however, may not be applicable to small particles
since any breath of turbulence will stir them up. The height of the
particle layer may be obtained by equating particle diffusion and
settling timescale; i.e.,
(Dubrulle et al. 1995; Youdin & Lithwick 2007; Carballido et al. 2006) where
(with
|
Figure 10:
The 3D growth timescale
|
| Open with DEXTER | |
In Fig. 10a we have plotted contours of the 3D growth timescales for a disk radius a0=5.2 AU,
(making
),
,
,
,
and
.
The calculated accretion timescales assume that all the solid density
is in particles of a single size. Due the inclusion of the
factor the structure is quite different from that of Fig. 9.
However, the contrast between the hyperbolic and settling regimes is
still clearly visible and has in fact even increased due to the
correction factor for the vertical structure. Note that for the bigger
bodies, which settle into a thin plane, Fig. 10 still assumes that their eccentricities and inclinations are absent (low velocity regime).
Figure 10 tells a few interesting points. First, it can be clearly seen that growth of
km-size planetesimals by accretion of small particles (
)
takes a (perhaps prohibitively) long time. Two mechanisms conspire.
First, the small particles couple effectively to the gas which dilutes
their number densities near the midplane where the planetesimals are
residing. Of course, this statement depends on the strength of the
turbulence that prevents the particles from settling effectively;
timescales will be shorter for lower turbulent strength parameter,
.
However, even in a completely laminar disk we may expect shear turbulence to develop (Weidenschilling 1980), which strength may be equivalent to
-values of
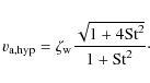
10-6 (Johansen et al. 2006; Cuzzi & Weidenschilling 2006). Second, small particles, being strongly coupled, move with the gas, at a relative velocity of
,
where
is the velocity of the headwind and
the escape velocity of the planetesimal. Therefore, small particles
lack gravitational focusing and it is hard to avoid the conclusion that
sweepup of small particles by
km size planetesimals is slow. In order to grow, planetesimals have to accrete among themselves.
However, the situation completely reverses when protoplanets sizes reach
103 km: for these bodies, accretion of cm to m-size particles becomes very rapid: in only
103 yr
the protoplanet can double in size. This is entirely due to the
increased cross section in the settling regime. For ``optimal''
parameters (
,
)
the combined effect of gravitational focusing and gas damping results in impact parameters of
- larger than what hitherto has been thought possible (
,
see Eq. (5)). Accreting at impact parameters of the order of the Hill sphere is fast in any case but since
increases with disk radii it is especially impressive for the outer disk, see Fig. 10b.
For
particles,
accretion is fast - even though it is inefficient due to the strong
radial drift. We denote the probability that radially-inward drifting
particles become accreted by the protoplanet
.
Since the drift flow is
(
for
particles at 5 AU)
is given as
(where we have again included the scaleheight correction factor). For a protoplanet of
It is instructive to compare the accretion timescales of Fig. 10a to detailed hydrodynamical simulations involving
particles (Johansen et al. 2007; Johansen & Lacerda 2010). In Johansen et al. (2007) a dense particle layer of
boulders collapses into a Ceres-mass planet (
km), that rapidly accretes the remaining boulders on timescales of perhaps 10 yr. Although from Fig. 10a a Ceres-mass protoplanet in combinations with
particles form the optimal growth conditions, our accretion timescale of 103 yr is still two orders of magnitude higher than what can be inferred from Johansen et al. (2007). However, a direct comparison is perhaps not so meaningful since in the Johansen et al. (2007) simulations the
particles are highly clumped and exert a strong feedback effect on the gas (Johansen & Lacerda 2010 discuss some alternate settings). Feedback effects are not taken into account in this study.
7 Discussion
We summarize the key assumptions that have been employed in this study:
- a drag law linear in velocity;
- neglect of resonance trapping of particles;
- a smooth, laminar disk (only drift motions) without local pressure fluctuations;
- neglect of the gas flow around the protoplanet and of a possible atmosphere surrounding the proto(planet);
- a dynamically cold protoplanet on a circular, non-migrating, orbit.
The adopted flow pattern in our study is unrealistic since it does not
take account of the presence of the planet. Of course, streamlines will
have to bend around the object and this will affect the motion of the
particle. Tiny dust grains can only collide with a dust aggregate when
the aggregate size is less than the mean free path of the gas molecules
(Wurm et al. 2001; Sekiya & Takeda 2005).
However, this restriction probably applies only for small particles. If
we assume that the flowlines change over the lengthscale of the
protoplanet, it follows that particles of
are too tightly coupled to the gas to become accreted. For example, for
km only
particles are affected and our model overestimates the (already low)
accretion rates. More serious, perhaps, is our neglect of collective
effects due to strong particle volume densities, as this will provide a
feedback effect on the gas, affecting both the flow pattern as well as
the drift rates. This will probably be important for
particles and could significantly enhance the accretion rate (see our discussion at the end of Sect. 6).
For simplicity, our analysis only included drift motions. We have, for
example, neglected a systematic accretion (or decretion) flow of the
gas. In the turbulent
-model this gas moves in at a velocity
.
Equating this expression with the radial drift velocity (Eq. (19)) we find that for particles
the systematic accretion flow will dominate. This will affect the
expressions for the accretion rates. Likewise, turbulent motions can
become more effective to move particles around than drift motions,
which affects the input parameter
in our model described in Sect. 5. In the
-model large eddies transport particles at velocities
(Cuzzi & Weidenschilling 2006) and turbulent velocities will dominate the drift motions for
(see Eq. (10)).
The presented model may still be valid though, if the turbulent motions
are included in the definition of the approach velocity,
.
Mean motion resonances may halt the particle long before it drifts to the Hill sphere (Weidenschilling & Davis 1985). In such a situation the inward-directed drag force is balanced by the outward resonant perturbations. Weidenschilling & Davis (1985) showed that the strength of the perturbations is proportional to the planet's mass and to the resonance number j.
Thus, smaller particles (which experience a stronger drag force) move
into a higher resonance. However, this trend will not pursue
indefinitely as at some maximum j resonances will overlap and the effect is lost. Paardekooper (2007) simulated particle accretion onto gas giants and showed that
m-size particles (
)
avoid resonance trapping for Jupiter-mass (
)
planet. For a planet of
the critical Stokes number has risen to
and for lower mass planets it will even be larger. Therefore, our
results are not so much affected by resonance trapping when the
protoplanet and core-formation stages are considered.
Our assumptions of a completely ``inert'' protoplanet is also
peculiar. In the oligarchic growth regime (where most of the mass
resides in leftover planetesimals) dynamical friction will keep the
eccentricities of the most massive bodies small (e.g., Kokubo & Ida 2000); however, if most of the mass is transferred to the protoplanets their motion will become eccentric (see Kary & Lissauer 1995 for accretion probabilities of protoplanets on eccentric orbits). Likewise, type-I radial migration (Tanaka et al. 2002)
is not incorporated in our framework. These effects will again become
important for already evolved protoplanets of masses >
.
The feedback effect of the protoplanet on the structure of the
gas disk is also neglected. The protoplanet's gravity influences the
gas disk at larger distances, which could invalidate our approximation
of a smooth (global) pressure structure. Indeed, particles have a
tendency to drift to high pressures regions and the
particles may be most affected by this process, piling up at a pressure bump instead of proceeding to the protoplanet. Paardekooper (2007) finds that this effect (together with the resonant trapping of bigger bodies) shuts off all accretion of particles sizes above
m! However, this particle trapping is applicable for evolved planets only. Muto & Inutsuka (2009) found that the criterion for particle trapping
for solar mass stars (Equation (38) is apparently independent of particle size or Stokes number).
Long before this size is reached, protoplanets bind the nebular gas and form atmospheres that will enhance the capture radius (Tanigawa & Ohtsuki 2010; Inaba & Ikoma 2003). According to the results of Inaba & Ikoma (2003) this will perhaps become important when oligarchs reach
![]()
.
Our expression for the impact radius and collision rates, therefore,
are lower limits when protoplanets are surrounded by a thick
atmosphere.
In summary, most of the mentioned effects become relevant for
evolved (gas) planets only. Most damaging to our analysis are the
pressure fluctuations that could virtually shut off accretion, or make
it very difficult to model it analytically. However, this effect may
only become effective for large planet masses (Eq. (38)).
For lower mass planets, the build-up of a dense atmospheres will
enhance the accretion rates with respect to our prescription. We
believe that for dynamically-cold protoplanets below
our prescription should be quantitatively correct if collective effects
can be neglected. In future work we intend to test the validity of our
analytic expressions in more convoluted environments that incorporate
some of the above processes.
8 Summary
We have developed a framework for the calculations of
particle-protoplanet interactions in a gaseous environment. This
involves the integration of the equations of motions in the circularly
restricted three body problem including drag forces. Using the above
mentioned simplifications - most notably the assumption of a linear
drag force, a smooth background density and headwind velocity, and a 2D
setting - we were able to reduce the general problem to a state that
includes only two dimensionless parameters: the dimensionless headwind
velocity
and the dimensionless stopping time (Stokes number,
), see Sect. 2. A large parameter study of particle trajectories has been conducted, from which, as function of
and
,
the impact radii are derived. We find that three accretion modes can be distinguished:
- Settling encounters. Particles settle to the protoplanet and the impact radius is independent of the size of the latter;
- Hyperbolic encounters. Accretion proceeds like the usual gravitational focusing with the approach velocity being influenced by gas drag.
- (Drag enhanced) three body encounters. Interactions take place on the scale of the Hill radius and gas drag causes a fraction of the particles to become captured, which settle to the protoplanet.
The authors appreciate the helpful comments of the referee, Stuart Weidenschilling. C.W.O. acknowledges a grant from the Alexander von Humboldt Foundation and the hospitality of the Max-Planck-Institute for Astronomy for hosting him. C.W.O. also appreciates stimulating discussions with Tilman Birnstiel, Kees Dullemond, Christoph Mordasini, and Marco Spaans.
Appendix A: Asymptotic limits of Eq. (22)
In this appendix we consider the asymptotic limits of Eq. (22) and show the correspondence to the findings of Kary et al. (1993).Three limits of Eq. (22) can be identified
These three regimes correspond to the cases where the square-root term of Eq. (22) evaluates to
Rewritten in physical units Eq. (A.1) reads (i.e., we multiply by
)
The interpretation of the first two limits is straightforward. If
In the third limit the particles approach once again from the y-direction. However, for these very large particles, the approach velocity is given by the Keplerian shear (
)
instead of the headwind, see Eq. (19). The approach velocity at the point of intersection, i.e., at
,
is then
.
Multiplied by
this reduces to the given expression. The dependence on
may seem counter intuitive but is natural in situations that involve shear.
The study of Kary et al. (1993) concerned massive particles (i.e., the third limit of Eq. (A.2)). Kary et al. (1993) gave an analytic expression for the impact probability or efficiency
of a particles while crossing the semi-major axis of the protoplanet due to radial drift
:
where K is the drag constant for a drag law that quadratically depends on velocity.
In our case
can be found by taking the ratio of the collision rate
to the mass inflow rate
of the particles. For the third limit of Eq. (A.2) we obtain
where we used that
- 1.
- Kary et al. (1993) considers a drag force quadratic in velocity where particles move at a drift velocity
(K has units
). However, we can mimic the linear drift law by substitution of
(cf. Eq. (19)) into Eq. (A.3).
- 2.
- In our approach we have not accounted for the variation of the
approach velocity over the impact range. More correctly, the mean
approach velocity is
.
- 3.
- Kary et al. (1993) do not take account of the planetesimals coming from the negative y-direction (the third quadrant), as they (correctly) argue that any such body should already have impacted during its approach from the first quadrant. This is due to the highly symmetrical setting in this limit, which our naive reasoning above does not account for. Equation (A.4) is therefore too large by a factor of two.
Appendix B: The settling path
In the limit of
|
(B.1a) |
|
(B.1b) |
Thus, the particle path obeys the differential equation
which is slightly simplified if expressed in angular coordinates by the substitution
|
(B.3) |
which is equivalent to
|
(B.4) |
Straightforward integration gives the solution
|
(B.5) |
with C the integration constant, which we obtain by the requirement that at
During the encounter
For example, for
and
,
we obtain
,
a value that is reasonably close to the numerically derived
(see Fig. 5). For lower Stokes number the agreement becomes better.
In Sect. 5.1.2 we have used the expression
for the impulse change in the settling regime. For
this corresponds to a velocity change of
.
We further argued that for settling encounter the approach velocity
should be changed by an amount
.
For small Stokes values
.
Therefore, for
the criterion for accretion by settling becomes
.
In Sect. 5.1.2 we have applied this criterion generally.
References
- Birnstiel, T., Dullemond, C. P., & Brauer, F. 2009, A&A, 503, L5 [NASA ADS] [CrossRef] [EDP Sciences] [Google Scholar]
- Blum, J., & Wurm, G. 2000, Icarus, 143, 138 [NASA ADS] [CrossRef] [Google Scholar]
- Brauer, F., Dullemond, C. P., Johansen, A., et al. 2007, A&A, 469, 1169 [NASA ADS] [CrossRef] [EDP Sciences] [Google Scholar]
- Brunini, A., & Benvenuto, O. G. 2008, Icarus, 194, 800 [NASA ADS] [CrossRef] [Google Scholar]
- Carballido, A., Fromang, S., & Papaloizou, J. 2006, MNRAS, 373, 1633 [NASA ADS] [CrossRef] [Google Scholar]
- Chambers, J. 2006, Icarus, 180, 496 [NASA ADS] [CrossRef] [Google Scholar]
- Chambers, J. 2008, Icarus, 198, 256 [NASA ADS] [CrossRef] [Google Scholar]
- Ciesla, F. J. 2009, Icarus, 200, 655 [NASA ADS] [CrossRef] [Google Scholar]
- Cuzzi, J. N., & Weidenschilling, S. J. 2006, Particle-Gas Dynamics and Primary Accretion (Meteorites and the Early Solar System II), 353 [Google Scholar]
- Cuzzi, J. N., Hogan, R. C., & Bottke, W. F. 2010, Icarus, 208, 518 [NASA ADS] [CrossRef] [Google Scholar]
- Dominik, C., & Tielens, A. G. G. M. 1997, ApJ, 480, 647 [NASA ADS] [CrossRef] [Google Scholar]
- Dubrulle, B., Morfill, G., & Sterzik, M. 1995, Icarus, 114, 237 [NASA ADS] [CrossRef] [Google Scholar]
- Fehlberg, E. 1969, NASA-TR-R-315 [Google Scholar]
- Goldreich, P., Lithwick, Y., & Sari, R. 2004, ARA&A, 42, 549 [NASA ADS] [CrossRef] [Google Scholar]
- Greenberg, R., Bottke, W. F., Carusi, A., & Valsecchi, G. B. 1991, Icarus, 94, 98 [NASA ADS] [CrossRef] [Google Scholar]
- Greenzweig, Y., & Lissauer, J. J. 1990, Icarus, 87, 40 [NASA ADS] [CrossRef] [Google Scholar]
- Greenzweig, Y., & Lissauer, J. J. 1992, Icarus, 100, 440 [NASA ADS] [CrossRef] [Google Scholar]
- Hayashi, C., Nakazawa, K., & Nakagawa, Y. 1985, in Protostars and Planets II, ed. D. C. Black, & M. S. Matthews, 1100 [Google Scholar]
- Hill, G. 1878, American Journal of Mathematics, 1, 5 [Google Scholar]
- Hubickyj, O., Bodenheimer, P., & Lissauer, J. J. 2005, Icarus, 179, 415 [NASA ADS] [CrossRef] [Google Scholar]
- Ida, S., & Makino, J. 1993, Icarus, 106, 210 [NASA ADS] [CrossRef] [MathSciNet] [Google Scholar]
- Ida, S., & Nakazawa, K. 1989, A&A, 224, 303 [NASA ADS] [Google Scholar]
- Inaba, S., & Ikoma, M. 2003, A&A, 410, 711 [NASA ADS] [CrossRef] [EDP Sciences] [Google Scholar]
- Inaba, S., Tanaka, H., Nakazawa, K., Wetherill, G. W., & Kokubo, E. 2001, Icarus, 149, 235 [NASA ADS] [CrossRef] [Google Scholar]
- Johansen, A., & Lacerda, P. 2010, MNRAS, 404, 475 [NASA ADS] [Google Scholar]
- Johansen, A., Henning, T., & Klahr, H. 2006, ApJ, 643, 1219 [NASA ADS] [CrossRef] [Google Scholar]
- Johansen, A., Oishi, J. S., Low, M., et al. 2007, Nature, 448, 1022 [Google Scholar]
- Johansen, A., Youdin, A., & Mac Low, M. 2009, ApJ, 704, L75 [NASA ADS] [CrossRef] [Google Scholar]
- Kary, D. M., & Lissauer, J. J. 1995, Icarus, 117, 1 [NASA ADS] [CrossRef] [Google Scholar]
- Kary, D. M., Lissauer, J. J., & Greenzweig, Y. 1993, Icarus, 106, 288 [NASA ADS] [CrossRef] [Google Scholar]
- Kenyon, S. J., & Bromley, B. C. 2009, ApJ, 690, L140 [NASA ADS] [CrossRef] [Google Scholar]
- Kobayashi, H., Tanaka, H., Krivov, A. V., & Inaba, S. 2010, Icarus, 209, 836 [NASA ADS] [CrossRef] [Google Scholar]
- Kokubo, E., & Ida, S. 1998, Icarus, 131, 171 [NASA ADS] [CrossRef] [Google Scholar]
- Kokubo, E., & Ida, S. 2000, Icarus, 143, 15 [NASA ADS] [CrossRef] [Google Scholar]
- Leinhardt, Z. M., Richardson, D. C., Lufkin, G., & Haseltine, J. 2009, MNRAS, 396, 718 [NASA ADS] [CrossRef] [Google Scholar]
- Levison, H. F., Thommes, E., & Duncan, M. J. 2010, AJ, 139, 1297 [NASA ADS] [CrossRef] [Google Scholar]
- Lommen, D., Maddison, S. T., Wright, C. M., et al. 2009, A&A, 495, 869 [NASA ADS] [CrossRef] [EDP Sciences] [Google Scholar]
- Muto, T., & Inutsuka, S. 2009, ApJ, 695, 1132 [NASA ADS] [CrossRef] [Google Scholar]
- Nakagawa, Y., Sekiya, M., & Hayashi, C. 1986, Icarus, 67, 375 [NASA ADS] [CrossRef] [Google Scholar]
- Nakazawa, K., Ida, S., & Nakagawa, Y. 1989, A&A, 220, 293 [NASA ADS] [Google Scholar]
- Ohtsuki, K. 1993, Icarus, 106, 228 [NASA ADS] [CrossRef] [Google Scholar]
- Ormel, C. W., Dullemond, C. P., & Spaans, M. 2010a, ApJ, 714, L103 [NASA ADS] [CrossRef] [Google Scholar]
- Ormel, C. W., Dullemond, C. P., & Spaans, M. 2010b, Icarus, in press [arXiv:1006.3186] [Google Scholar]
- Paardekooper, S. 2007, A&A, 462, 355 [NASA ADS] [CrossRef] [EDP Sciences] [Google Scholar]
- Petit, J., & Henon, M. 1986, Icarus, 66, 536 [NASA ADS] [CrossRef] [Google Scholar]
- Pollack, J. B., Hubickyj, O., Bodenheimer, P., et al. 1996, Icarus, 124, 62 [NASA ADS] [CrossRef] [Google Scholar]
- Rafikov, R. R. 2004, AJ, 128, 1348 [NASA ADS] [CrossRef] [Google Scholar]
- Ricci, L., Testi, L., Natta, A., et al. 2010, A&A, 512, A15 [NASA ADS] [CrossRef] [EDP Sciences] [Google Scholar]
- Safronov, V. S. 1969, Evolution of the Protoplanetary Cloud and Formation of Earth and the Planets, ed. V. S. Safronov (Moscow: Nauka. Transl. 1972 NASA Tech. F-677) [Google Scholar]
- Sekiya, M., & Takeda, H. 2005, Icarus, 176, 220 [NASA ADS] [CrossRef] [Google Scholar]
- Shakura, N. I., & Sunyaev, R. A. 1973, A&A, 24, 337 [NASA ADS] [Google Scholar]
- Shampine, L., Watts, H., & Davenport, S. 1979, SIAM Rev., 18, 376 [Google Scholar]
- Tanaka, H., Takeuchi, T., & Ward, W. R. 2002, ApJ, 565, 1257 [NASA ADS] [CrossRef] [Google Scholar]
- Tanigawa, T., & Ohtsuki, K. 2010, Icarus, 205, 658 [NASA ADS] [CrossRef] [Google Scholar]
- Weidenschilling, S. J. 1977a, MNRAS, 180, 57 [NASA ADS] [CrossRef] [Google Scholar]
- Weidenschilling, S. J. 1977b, Ap&SS, 51, 153 [Google Scholar]
- Weidenschilling, S. J. 1980, Icarus, 44, 172 [NASA ADS] [CrossRef] [Google Scholar]
- Weidenschilling, S. J. 2005, Space Sci. Rev., 116, 53 [NASA ADS] [CrossRef] [Google Scholar]
- Weidenschilling, S. J., & Davis, D. R. 1985, Icarus, 62, 16 [NASA ADS] [CrossRef] [Google Scholar]
- Wetherill, G. W., & Stewart, G. R. 1989, Icarus, 77, 330 [NASA ADS] [CrossRef] [Google Scholar]
- Wetherill, G. W., & Stewart, G. R. 1993, Icarus, 106, 190 [NASA ADS] [CrossRef] [PubMed] [Google Scholar]
- Wurm, G., Blum, J., & Colwell, J. E. 2001, Icarus, 151, 318 [NASA ADS] [CrossRef] [Google Scholar]
- Youdin, A. N., & Lithwick, Y. 2007, Icarus, 192, 588 [NASA ADS] [CrossRef] [Google Scholar]
Footnotes
- ...

- Note that the Stokes number in this study simply indicates
the dimensionless friction time; it is not necessarily the same as the
Stokes number used in turbulent studies,
where
is the turn-over timescale of the largest eddies. For
the definitions agree (Youdin
& Lithwick 2007).
- ...
- In this and the next two sections lengths ( tex2html_wrap_inline3599, etc.) and velocities (v) are expressed in dimensionless (Hill) units, unless otherwise specified.
- ...
- In this and the next two sections lengths (
,
etc.) and velocities (v) are expressed in
dimensionless (Hill) units, unless otherwise specified.
- ...
- In this and the next two sections lengths (
,
etc.) and velocities (v) are expressed in
dimensionless (Hill) units, unless otherwise specified.
- ...

- We remark that the atmosphere calculations of Inaba & Ikoma (2003)
do not take into account headwind flow, perhaps important for low
,
which would destroy the spherical symmetry of the problem.
- ... drift
- Note that we give the dimensional form. Equation (7) of Kary et al. (1993) is expressed in dimensionless units (but not in Hill units).
All Tables
Table 1: Dimensional and dimensionless parameters.
Table 2:
Summary of the analytic recipe to obtain the impact radii
and approach velocities
.
All Figures
|
Figure 1:
Sketch of particle trajectories in the comoving frame. We consider the motion of the third (test) particle m in the comoving frame of the second body ( |
| Open with DEXTER | |
| In the text | |
|
Figure 2:
Relation between dimensionless and physical quantities. The Stokes number ( |
| Open with DEXTER | |
| In the text | |
|
Figure 3:
Without the two body force, particle trajectories as witnessed from the
comoving frame obey parabolas. Two trajectories are shown: one that
passes through the origin (y0(x)) and one that just hits the target. The corresponding impact parameter b is denoted by arrows. For curved trajectories b is not conserved due to the changing slope of the curves, here indicated by the angle |
| Open with DEXTER | |
| In the text | |
|
Figure 4:
The minimum distance in units of Hill radii to the origin (center of the protoplanet),
|
| Open with DEXTER | |
| In the text | |
|
Figure 5:
Examples of planet-particle interactions for different values of the dimensionless headwind velocity
|
| Open with DEXTER | |
| In the text | |
|
Figure 6:
Contour plot of collision rates obtained from the numerical integrations for
|
| Open with DEXTER | |
| In the text | |
|
Figure 7: Illustration of the three
accretion regimes. In the hyperbolic regime interactions are 2-body
encounters and the standard formula for gravitational focusing applies.
In the settling regime, accretion proceeds through settling, which
enhances the impact parameter |
| Open with DEXTER | |
| In the text | |
|
Figure 8:
Impact radii from the numerical integrations (symbols) and analytic fits (curves) for a headwind velocity of
|
| Open with DEXTER | |
| In the text | |
|
Figure 9:
Contours of |
| Open with DEXTER | |
| In the text | |
|
Figure 10:
The 3D growth timescale
|
| Open with DEXTER | |
| In the text | |
Copyright ESO 2010
Current usage metrics show cumulative count of Article Views (full-text article views including HTML views, PDF and ePub downloads, according to the available data) and Abstracts Views on Vision4Press platform.
Data correspond to usage on the plateform after 2015. The current usage metrics is available 48-96 hours after online publication and is updated daily on week days.
Initial download of the metrics may take a while.
![\begin{figure}
\par\includegraphics[width=8cm]{14903fg1}
\end{figure}](/articles/aa/full_html/2010/12/aa14903-10/Timg80.png)
![\begin{figure}
\par\includegraphics[width=8.5cm]{14903fg2}
\end{figure}](/articles/aa/full_html/2010/12/aa14903-10/Timg152.png)
![\begin{figure}
\par\includegraphics[width=8.5cm]{14903fg3}
\end{figure}](/articles/aa/full_html/2010/12/aa14903-10/Timg155.png)
![\begin{figure}
\par\includegraphics[width=9cm]{14903fg4}
\end{figure}](/articles/aa/full_html/2010/12/aa14903-10/Timg187.png)
![\begin{figure}
\par\includegraphics[width=17cm]{14903fg5}
\end{figure}](/articles/aa/full_html/2010/12/aa14903-10/Timg205.png)
![\begin{figure}
\par\includegraphics[width=9cm]{14903fg6}
\end{figure}](/articles/aa/full_html/2010/12/aa14903-10/Timg238.png)
![\begin{figure}
\par\includegraphics[width=9cm]{14903fg7}
\end{figure}](/articles/aa/full_html/2010/12/aa14903-10/Timg239.png)
![\begin{figure}
\par\includegraphics[width=9cm]{14903fg8}
\end{figure}](/articles/aa/full_html/2010/12/aa14903-10/Timg277.png)
![\begin{figure}
\par\includegraphics[width=9cm]{14903fg9}
\end{figure}](/articles/aa/full_html/2010/12/aa14903-10/Timg291.png)
![\begin{figure}
\par\mbox{\includegraphics[width=7.5cm]{14903fg10a.eps} \includegraphics[width=7.5cm]{14903fg10b.eps} }
\end{figure}](/articles/aa/full_html/2010/12/aa14903-10/Timg319.png)