Free Access
Issue
A&A
Volume 520, September-October 2010
Article Number A84
Number of page(s) 7
Section Interstellar and circumstellar matter
DOI https://doi.org/10.1051/0004-6361/201014975
Published online 07 October 2010
A&A 520, A84 (2010)

W49A: a starburst triggered by expanding shells

T.-C. Peng1 - F. Wyrowski1 - F. F. S. van der Tak2 - K. M. Menten1 - C. M. Walmsley3

1 - Max-Planck-Institut für Radioastronomie (MPIfR), Auf dem Hügel 69, 53121 Bonn, Germany
2 - SRON Netherlands Institute for Space Research, 9747 AD Groningen, The Netherlands
3 - INAF Osservatorio Astrofisico di Arcetri, 50125 Firenze, Italy

Received 11 May 2010 / Accepted 21 July 2010

Abstract
Aims. W49A is a giant molecular cloud which harbors some of the most luminous embedded clusters in the Galaxy. However, the explanation for this starburst-like phenomenon is still under debate.
Methods. We investigated large-scale Spitzer mid-infrared images together with a Galatic Ring Survey 13CO J=1-0 image, complemented with higher resolution ($\sim $ $11\hbox{$^{\prime\prime}$ }$) 13CO J=2-1 and C18O J=2-1 images over a $\sim $ $15\times13$ pc2 field obtained with the IRAM 30 m telescope.
Results. Two expanding shells have been identified in the mid-infrared images, and confirmed in the position-velocity diagrams made from the 13CO J=2-1 and C18O J=2-1 data. The mass of the averaged expanding shell, which has an inner radius of $\approx$3.3 pc and a thickness of $\approx$0.41 pc, is about $1.9\times10^{4}$ $M_{\odot}$. The total kinetic energy of the expanding shells is estimated to be $\sim $1049 erg, which is probably provided by a few massive stars, whose radiation pressure and/or strong stellar winds drive the shells. The expanding shells are likely to have a common origin close to the two ultracompact H II regions (source O and source N), and their expansion speed is estimated to be $\sim $5 km s-1, resulting in an age of $\sim $3- $7\times10^{5}$ years. In addition, on larger ($\sim $ $35\times50$ pc2) scales, remnants of two gas ejections have been identified in the 13CO J=1-0 data. Both ejections seem to have the same center as the expanding shells with a total energy of a few times 1050 erg. The main driving mechanism for the gas ejections is unclear, but likely related to the mechanism which triggers the starburst in W49A.

Key words: stars formation - H II regions - ISM: bubbles

1 Introduction

A variety of processes have been suggested that might trigger the formation of stars, namely large-scale supernova explosions or smaller-scale stellar winds, outflow shocks, or ionization fronts (see McKee & Ostriker 2007; Elmegreen 1998). Possible triggers are newly formed massive stars, which provide energetic feedback to the interstellar medium (ISM) in the form of expanding H II regions or strong stellar winds. A recent study of the ubiquitous dust bubbles observed in the mid-infrared (MIR, 5-40 $\mu $m) in the Galactic Legacy Infrared Mid-Plane Survey Extraordinaire (GLIMPSE, Benjamin et al. 2003) shows that, given the positional coincidence with known H II regions, many MIR bubbles are indeed produced by hot young stars, and are likely driven by expanding H II shells (Watson et al. 2008; Churchwell et al. 2006). In addition, for reasonable assumptions on the ambient density, the numerical simulations of expanding H II regions carried out by Hosokawa & Inutsuka (2005,2006) agree with some observations, e.g., Watson et al. (2008).

\begin{figure}
\par\includegraphics[angle=-90,width=18cm]{14975fg1.eps} %
\end{figure} Figure 1:

The Spitzer-GLIMPSE IRAC 4.5 $\mu $m and 8.0 $\mu $m images of W49A. Black triangles denote the UC H II regions observed by De Pree et al. (1997). The black dashed ellipses are the suggested expanding shells (shells 1 and 2), and the black filled star represents the center of the expanding shells and gas ejections (see text). The larger black unfilled star represents the embedded cluster center according to Alves & Homeier (2003). The white circle in the left image indicates the maximum radius (5.3 pc) used in the circular PV diagram shown in Fig. 3, and the two white dashed lines represent the linear PV cuts (Fig. 3). Red lines and arrows in the right image indicate the directions of gas ejections.

Open with DEXTER

The giant molecular cloud (GMC) associated with the powerful radio continuum source W49A is part of the W49 complex which also includes the supernova remnant W49B. At a distance of 11.4 kpc (Gwinn et al. 1992), W49A has an infrared luminosity of >107 $L_{\odot}$ and a total mass of $\sim $106 $M_{\odot}$ (Sievers et al. 1991), and contains over a dozen of ultracompact H II (UC H II) regions (De Pree et al. 2000,1997) as well as the brightest water maser cluster in our Galaxy ($\sim $$L_{\odot}$ alone in the 22 GHz line, Genzel et al. 1978). The embedded massive stellar cluster found in W49A indicates a somewhat more evolved stage of massive star formation in this region (Alves & Homeier 2003). Many authors have tried to explain why W49A, a Galactic mini-starburst, has formed so many massive stars in such a short time. Welch et al. (1987) concluded the existence of a large-scale inside-out gravitational collapse based on their interpretation of the HCO+ spectra measured toward the ring-like configuration of UC H II regions. However, Serabyn et al. (1993) argued that the two components of the double-peak line profile seen in CS and C34S come from different clouds, and suggested that massive star formation in W49A is triggered by a large-scale cloud-cloud collision. Recently, it has been argued that one cannot distinguish between a global collapse model of a large cloud and a multiple-cloud model, given the existing HCO+ and C18O data (Williams et al. 2004). In this paper, we present new evidence of expanding shells in W49A delineated by dense clumps within these shells. The expanding shells provide a natural explanation for the observed molecular line profiles, and triggered massive star formation in W49A.

2 Observations

Observations of the 13CO J=2-1 and C18O J=2-1 transitions toward W49A were carried out in 2006 November and 2007 November using the IRAM 30 m telescope on Pico Veleta in Spain. The focus was checked on Uranus, and the pointing was checked on the strong continuum emission from the BL Lac object 1749+096 and Uranus every hour. The accuracy of the pointing was $\sim $ $ 2\hbox{$^{\prime\prime}$ }$- $3\hbox{$^{\prime\prime}$ }$ with a telescope tracking accuracy of 1 $^{\prime \prime }$. The chopper wheel method was used to calibrate the data.

We used the HEterodyne Receiver Array, HERA (Schuster et al. 2004), to obtain large on-the-fly (OTF) maps of W49A. HERA is a nine-pixel receiver with dual polarizations in a square center-filled $3\times3$ array, and can be tuned to different sky frequencies with different backends attached. In particular, simultaneous observations of 13CO J=2-1 and C18O J=2-1 are possible. A dewar rotation angle of 9.6$^\circ$ of HERA was chosen to have Nyquist-sampled maps. Maps sizes of $\sim $ $4\hbox{$.\mkern-4mu^\prime$ }5\times4\hbox{$.\mkern-4mu^\prime$ }0$ were obtained for the 13CO and C18O J=2-1 lines with an HPBW of $\sim $11 $^{\prime \prime }$. Every scan in right ascension was followed by one in declination in order to reduce striping patterns. The calibration was done for each OTF subscan and reduced in the MIRA software of the GILDAS[*] package. OFF scans on the reference position (-600 $^{\prime \prime }$, -600 $^{\prime \prime }$) were done before and after each OTF subscan. The Versatile SPectrometer Array (VESPA) was chosen as the backend for HERA configured to a bandwidth of 160 MHz for each receiver element and 0.32 km s-1 resolution. The data were reduced using the standard procedures in the GILDAS package, and were corrected to main beam temperature $T_{\rm MB}$ units from the antenna temperatures $T_{\rm {A}}^{*}$ (i.e., $T_{\rm {MB}} = T_{\rm {A}}^{*}$/ $\eta_{\rm {MB}}$) which were only corrected for atmospheric absorption, rear spillover, and ohmic losses. The efficiency, $\eta_{\rm {MB}}$, is given by the ratio between the main beam efficiency (named $B_{\rm {eff}}$; it is 0.51 at 220 GHz in the IRAM documentation[*]), and the forward efficiency $F_{\rm {eff}}$ (0.91 at 220 GHz).

3 Results

Figure 1 shows evidence of shell structures in W49A in the 4.5 $\mu $m and 8.0 $\mu $m images from the GLIMPSE archive. They were obtained with the Spitzer Infrared Array Camera (IRAC, Fazio et al. 2004). The 4.5 $\mu $m band, which contains a pure rotational transition of H2, mainly traces the distribution of warm molecular hydrogen. The 8.0 $\mu $m band, which includes two aromatic infrared features at 7.7 $\mu $m and 8.6 $\mu $m, is believed to be dominated by the emission of polycyclic aromatic hydrocarbon (PAH) molecules primarily excited by UV radiation. The angular resolution of IRAC ranges from $\sim $ $ 1\hbox{$.\!\!^{\prime\prime}$ }5$ at 3.6 $\mu $m to $\sim $ $ 1\hbox{$.\!\!^{\prime\prime}$ }9$ at 8.0 $\mu $m. In two other IRAC bands (3.6 $\mu $m and 5.8 $\mu $m), however, the same structures can also be clearly seen. The shells were first identified by eye and then investigated in the molecular data cube. Two MIR shells have been identified (Fig. 1) with long axes of $55\hbox{$^{\prime\prime}$ }$- $58\hbox{$^{\prime\prime}$ }$ and short axes of $28\hbox{$^{\prime\prime}$ }$- $35\hbox{$^{\prime\prime}$ }$, which implies an average size of $\sim $2-3 pc in radius. The average thickness of the MIR shells is estimated to be $7\hbox{$.\!\!^{\prime\prime}$ }5\pm1\hbox{$.\!\!^{\prime\prime}$ }9$ ($0.4\pm0.1$ pc) from fits of Gaussian profiles to the shells. These two MIR shells lie in the east-west and north-south directions, and have a similar size and elliptical shape. In addition, they seem to share the same center.

\begin{figure}
\par\includegraphics[angle=-90,width=18cm]{14975fg2.eps}\vspace*{1.5mm}
\vspace*{5mm}
\end{figure} Figure 2:

The IRAM 30 m HERA channel maps of 13CO J=2-1 (images) overlaid with the C18O J=2-1 emission in black contours with a resolution of 11 $^{\prime \prime }$. The contours are plotted from 1 to 15 K in steps of 2 K. The white ellipses represent two suggested shells, and the white star marks the shell expansion center. The ( $0\hbox {$^{\prime \prime }$ },0\hbox {$^{\prime \prime }$ }$) position is located at the region around source G.

Open with DEXTER

However, it is difficult to identify any similar shell structure in the channel maps of the 13CO and C18O J=2-1 lines (see Fig. 2) because of the lower angular resolution and the complexity/clumpiness of the molecular emission. Position-velocity (PV) diagrams are thus applied to investigate this shell structure, and are used to examine whether a shell appears as an expanding ring/bubble in the molecular line data. Linear PV diagrams of 13CO J=2-1 and C18O J=2-1 are shown in Fig. 3, corresponding to the east-west cut (Cut I) and the north-south cut (Cut II) in Fig. 1, where the 13CO and C18O counterparts to the proposed two MIR shells are revealed in the PV diagrams. In addition, clumps are located along the shells which suggests that they are formed within them. In order to estimate the mass and kinematic properties of the shell structure, we constructed a circular PV diagram which azimuthally averages spectra at a given radius from the center. The center was chosen to maximize the velocity difference between peaks in the C18O J=2-1 spectra, and is close to the UC H II regions O and N. Moreover, the circular PV diagram (Fig. 3c) shows a clear elliptical signature which implies an expanding motion centered on a common origin. Therefore, we conclude that the two MIR shells share a common expansion center with an average inner radius of $\approx$2.9 pc ($10\%$ uncertainty) and an expanding velocity of $\sim $5 km s-1. We can reject the possibility that the shells are actually molecular rings (Beaumont & Williams 2010) because two-component spectra are seen toward the center of the shells probing their front and back sides (Fig. 3). In the LTE assumption, we can estimate the H2 column density of the expanding shells from the 13CO/C18O J=2-1 ratio, assuming their optical depth ratio is the same as their abundance ratio. We adopted 12C/13C of 46 and 16O/18O of 510 (Wilson & Rood 1994; Langer & Penzias 1990) for W49A (8.1 kpc to the Galactic center, Gwinn et al. 1992). The excitation temperature of the averaged shell is estimated to be about 25 K. The average H2 column density of the shell is $\approx$ $8.5\times10^{22}$ cm-2, excluding the contribution from source G (i.e., consider the shell density within a radius of 40 $^{\prime \prime }$ in Fig. 3d). Assuming a $10\%$ uncertainty, we calculate an H2 density, n(H2), of $\approx$ $6.7\pm2.1\times10^{3}$ cm-3 in a spherical structure with a filling factor of 1 and a CO abundance of $2\times10^{-4}$ (e.g., Lacy et al. 1994). The shell mass ( $M_{\rm {sh}}$) can be estimated as $1.9\pm0.7 \times10^{4}$ $M_{\odot}$. Then the kinetic energy ( $\frac{1}{2}M_{\rm {sh}}V^2_{\rm {sh}}$) and the momentum ( $M_{\rm {sh}}V_{\rm {sh}}$) can be computed to be $4.6\pm3.0 \times10^{48}$ erg and $9.3\pm4.0 \times10^{4}$ $M_{\odot}$ km s-1, respectively, assuming a $20\%$ uncertainty in the expansion speed measurement.

\begin{figure}
\par\includegraphics[angle=-90,width=18cm]{14975fg3.eps} \vspace*{3mm}
\end{figure} Figure 3:

Left panel: the linear PV diagrams of 13CO J=2-1 and C18O J=2-1 corresponding to Cut I (E-W) and Cut II (N-S) shown in Fig. 1. The suggested shell expansion center and source G are marked. The red dashed ellipses indicate the expansion speed of 5 km s-1 and the radius corresponding to the two MIR shells marked in Fig. 1. The clumps associated with source O and source N are marked. I a)-I b) Black contours represent the main-beam brightness temperatures $T_{\rm MB}$ from $5\%$ (3$\sigma $ for C18O and 10$\sigma $ for 13CO) to $35\%$ in steps of $5\%$ of the peak value, and the subsequent contours are running from $40\%$ to $90\%$ in steps of $10\%$ of the peak value. II a)-II b) Black contours represent $T_{\rm MB}$ from $10\%$ (3$\sigma $ for C18O and 10 $\sigma $ for 13CO) to $35\%$ in steps of $5\%$ of the peak value, and the subsequent contours are running from $40\%$ to $90\%$ in steps of $10\%$ of the peak value. c) The circular PV diagram of C18O J=2-1. The radius axis is the distance to the shell expansion center, and the temperature is averaged in a given radius. Black contours represent the main-beam brightness temperatures of C18O J=2-1 from 0.4 to 2.0 K in steps of 0.2 K. d) The H2 column density of an averaged shell calculated in the LTE assumption. Black contours represent the H2 column densities of $5.0\times 10^{21}$ cm-2, $1.0\times 10^{22}$ cm-2, $1.5\times 10^{22}$ cm-2, and $2.0\times 10^{22}$ cm-2. The shell with a radius size of 3.3 pc and an expansion speed of 5 km s-1 is indicated in red ellipses.

Open with DEXTER

\begin{figure}
\par\includegraphics[angle=-90,width=18cm]{14975fg4.eps} \vspace*{3mm}
\end{figure} Figure 4:

Upper panels: the left panel shows the large-scale GRS 13CO J=1-0 emission of the W49 complex, and the right panel shows the 13CO J=2-1 emission from IRAM 30 m in the local area of W49A. The MIR shell structure is indicated by black ellipses. The white dashed lines represent two linear PV cuts shown in the lower panels. The white dotted lines represent the suggested alignments or ejections of molecular gas. Black crosses represent the 850 $\mu $m dust continuum peaks from Matthews et al. (2009). Black triangles denote the UC H II regions from De Pree et al. (1997). (III)-(IV) The NW-SE and NE-SW PV diagrams corresponding to Cut III and Cut IV in the upper-left panel. The shell with a radius size of 3.3 pc and an expansion speed of 5 km s-1 is indicated in red ellipses. The violet curves in a double-cone shape represent the gas ejections in the NW-SE direction, and the red dashed line represents the NE-SW direction of the bipolar gas ejections. The contours denote the temperatures from 0.4 to 4.8 K in steps of 0.4 K.

Open with DEXTER

4 Discussion

4.1 Driving mechanisms for the expanding shells

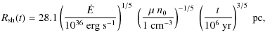
The reason for the elliptical shape of the two shells is not clear, but is probably due to different expansion velocities in the two axes, or due to multiple expanding events. In the interstellar bubble model of Weaver et al. (1977), where the spherical expanding shells are driven by winds, the age of an averaged expanding shell in W49A can be estimated as $3.4\pm0.4 \times10^{5}$ yr from the shell radius and expansion speed ( $t=\frac{3}{5}\frac{R_{\rm {sh}}}{V_{\rm {sh}}}$). Here, the radius of the shell depends on the mass-loss rate $\dot{M}$ of the driving source (Weaver et al. 1977)

$\displaystyle R_{\rm {sh}}(t)=28.1\left(\frac{\dot{E}}{10^{36}\ \rm {erg\ s^{-1...   (1)

where $\dot{E}$ is the mechanical luminosity ( $\dot{E}=\frac{1}{2}\dot{M}_{\rm w}V_{\rm w}^2$), and n0 is the ambient H density. We derived an average H2 density of $\sim $ $ 2\times10^{3}$ cm-3 in W49A by using the 13CO/C18O J=2-1 ratio mentioned above, and we adopted an ambient density n0 of $4\times10^{3}$ cm-3 and a stellar wind velocity $V_{\rm w}$ of 2000 km s-1. Hence, a constant mass-loss rate of $\sim $ $ 1.2\times10^{-6}$ $M_{\odot}$ yr-1 is needed to sustain a wind-driven bubble in a size of $\sim $2.9 pc, which corresponds to the mass loss rate of one O-type star. In addition, about $20\%$ of the wind energy is channeled into the kinetic energy of the swept-up shell (Weaver et al. 1977), which means that a total energy of $\approx$ $3.4\pm\ 2.2\times10^{48}$ erg is provided by winds during the expansion. This is consistent with the average shell kinetic energy of $4.6\pm3.0 \times10^{48}$ erg. However, given the elliptical shape of the two shells, their expansion likely differs from that of the interstellar bubble model discussed above. Therefore, a reasonable upper-limit of the shell age ( $t\leq{R_{\rm {sh}}}/{V_{\rm {sh}}}$) is estimated to be $5.7\pm1.3 \times10^{5}$ yr, assuming either a monotonically decreasing expansion velocity or a constant velocity. We conclude that the ages of these expanding shells are likely about 3- $7\times10^{5}$ yr.

On the other hand, a high radiation pressure in H II regions can also provide enough energy to drive an expanding shell (e.g., Krumholz & Matzner 2009). Homeier & Alves (2005) estimate a cluster mass of $\sim $ $ 1\times10^{4}$ $M_{\odot}$ around source O and source N by summing 54 stars with masses greater than 20 $M_{\odot}$ within 2.5 pc, which means that this cluster probably hosts $\sim $30-50 O6 stars with an ionization luminosity Q of $\sim $ $ 1\times10^{51}$ s-1 (Vacca et al. 1996). This corresponds to a luminosity L of $8\times10^{40}$ erg s-1. The luminosity ( $L=P_{\rm {sh}}c/t$) needed for energy-driven shells can be estimated to be $\sim $ $ 8\times10^{39}$ erg s-1, assuming no photon leaking. Therefore, no matter whether the expanding shells are driven by winds or by radiation pressure, just a few massive stars can account for the driving energy rather than the whole cluster. A recent model of W49A by Murray et al. (2010) demonstrated that the dominating radiation pressure from a new born cluster forms a bubble which eventually disrupts the whole cloud. In their one-dimensional model, the outward force is dominated by the force from protostellar jets during the first $3\times10^5$ yr, and radiation pressure dominates until the first supernova explodes. However, in the early phases, the expanding shell is driven by protostellar jets in their model, and it is not clear how those jets can drive the shells in W49A. Furthermore, leaking photons may reduce the radiation force on the shell. It is possible that many of the embedded sources seen by Homeier & Alves (2005) are stars formed after shell fragmentation. We suspect in fact that these two shells originate from a common center, which is close to the embedded cluster center indicated by Homeier & Alves (2005), and trigger star formation later when expanding.

4.2 Fragmentation of the shells

According to Whitworth et al. (1994), an expanding shell begins to fragment at $t_{\rm {fragment}}\sim(G\rho_{0}\mathcal{M})^{-1/2}$, depending on the ambient density $\rho_0$ and the shell Mach number $\mathcal{M}$. The time scale for fragmentation, $t_{\rm {fragment}}$, is shorter than the time scale needed for the shell to become dominated by self-gravity, $t_{\rm {gravity}}\sim(G\rho_{\rm {sh}})^{-1/2}$. The value of $t_{\rm {fragment}}$ is estimated to be $\approx$ $3.6\times10^{5}$ yr, with a sound speed $C_{\rm {H_2}}$ of 0.35 km s-1 and a Mach number of about 14 inside the shell. The time scale for the shells in W49A to fragment into clumps and further collapse to form new stars is about a few times 105 yr, which roughly corresponds to the time scale of massive star formation (Zinnecker & Yorke 2007). The clumps formed after fragmentation are well separated as shown in Fig. 3, and the two velocity components at $\sim $4 km s-1 and $\sim $12 km s-1 toward the region around source G are perhaps two clumps along the line of sight.

4.3 Large-scale gas ejections

A recent paper by Matthews et al. (2009) reveals the distribution of dust clumps in the large-scale environment of the W49 complex, including one UC H II region G43.24-0.05 (Kurtz et al. 1994) and one hydroxyl maser source OH43.13+0.04 (Becker et al. 1992). Many dust clumps are aligned toward the region near source O and source N, which are close to the center of our expanding shells (Fig. 4). Furthermore, the PV diagrams derived using the Galactic Ring Survey (GRS, Jackson et al. 2006) 13CO J=1-0 emission show an ``outflow structure'' which may be related to the expanding shells. For example, the PV diagram of Cut IV shown in Fig. 4 indicates a bipolar outflow between G43.24-0.05 and OH 43.13+0.04 with the center of the expanding shell structure located roughly symmetrically between the two clumps seen in mm emission. Other evidence is the detection of UC H II regions (Fig. 4) toward the shell expansion center as well as the fact that the filaments seen in 13CO J=2-1 have a radial geometry relative to the shell expansion center (although those filaments may be also related to W49A North or source G). Still further evidence of gas ejections comes from a large-scale gas distribution in the NW-SE direction suggesting that widely-distributed molecular gas and UC H II regions are present together with the double-cone structure shown in Fig. 4 (III).

Without taking the inclination into account, we can estimate the projected kinetic energy (as a lower-limit) of the NE-SW gas ejections by assuming that they occurred at the same time when the shells started expanding (i.e., $5.7\times10^5$ yr as an upper-limit) and by adopting the clump mass estimates of Matthews et al. (2009). In the northeastern ejection, the clumps G43.24-0.05 and G43.224-0.038 have a total projected kinetic energy of $ 1.3\pm0.6 \times10^{50}$ erg; in the southwestern ejection, W49A Southwest, OH43.13+0.04, submillimeter sources G43.108+0.044 and G43.099-0.050 have a total projected kinetic energy of $1.1\pm0.3 \times10^{50}$ erg, assuming a $20\%$ uncertainty in the mass measurements. The projected kinetic energy estimates are summarized in Table 1. The projected kinetic energy for both directions is roughly equal, and we infer a total projected kinetic energy of $2.4\pm0.7 \times10^{50}$ erg. This result depends on our assumption about the age of the outflows. If the gas ejection time scale were seven times longer than the age of expanding shells, the kinetic energy for the shells and the outflows would be similar. In either case, the total energy released by shell expansion and gas ejection has a magnitude of 1050 erg. Since we only estimated the kinetic energy for the NE-SW gas ejection, the total kinetic energy of the gas ejection event in the W49 complex may be larger. It is worth noting that G43.24-0.05 is located at a similar distance (11.7 +0.8-0.7 kpc, Watson et al. 2003) as W49A, and probably hosts a newly born star producing the UC H II region. In addition, the nearby source G43.224-0.038 is likely related to G43.24-0.05. The nature of the OH maser source OH43.13+0.04 is not clear, since it is not associated with any of the Infrared Astronomical Satellite (IRAS) sources (Becker et al. 1992). Additionally, the nature of the submm sources G43.108+0.044 and G43.009+0.050 are also unknown.

Table 1:   The projected kinetic energy estimates of gas ejections.

The magnetic field measurement by Brogan & Troland (2001) shows a gradient in the line-of-sight component of the magnetic field, $B_{\rm {los}}$, in the NE-SW direction crossing the expansion center, where a very weak $B_{\rm {los}}$ is derived from the 7 km s-1 H I component. For a radially increasing magnetic field, a weak $B_{\rm {los}}$ is expected in the shell expansion center ( $V_{\rm {LSR}}\sim7$-8 km s-1). The fact that $B_{\rm {los}}$ increases in the northeastern and southwestern directions may be related to the bipolar outflow in the NE-SW direction. In addition, another strong $B_{\rm {los}}$ peak in the northwestern direction at 4 km s-1 could be related to the NW-SE gas ejection with a double-cone shape. It is not clear what kind of event can cause large-scale gas ejections with a kinetic energy of a few times 1050 erg. A supernova explosion is unlikely since such an explosion would destroy the whole cloud with a kinetic energy of $\sim $1051 erg. A stellar merger of two 30 $M_{\odot}$ stars can release a kinetic energy as high as $\sim $ $ 2~\times~10^{50}$ erg (Bally & Zinnecker 2005). However, there is no evidence for such an event, and it may be impossible to find conclusive evidence. Thus, understanding the driving source requires examining the region around the shell expansion center in detail.

5 Conclusions

The morphology of the molecular line emission and the associated velocity signatures are consistent with the shell structure seen in the GLIMPSE images. The expanding shells in W49A are suggestive of triggered massive star formation in just $\sim $105 yr. There is evidence for dense clumps coincident with the shells, and the two velocity components toward the region around source G may be two distinct clumps along the line of sight. The expanding shells are likely to have a common origin close to source O with an expansion speed of $\sim $5 km s-1 and an age of 3- $7\times10^{5}$ years. However, it is not clear what is the driving mechanism of the shell expansion. The average mass of the expanding shells is $\sim $ $2\times10^{4}$ $M_{\odot}$ with a kinetic energy of $\sim $1049 erg, which is probably powered by a few massive stars in the center of the cluster, and the expanding shells are either driven by strong winds or by radiation pressure. In addition, evidence of the gas ejections is present in the large-scale GRS 13CO J=1-0 and dust continuum data. Both ejections appear to have the same origin as the expanding shells with a total energy of a few times 1050 erg. The properties of the central source driving the expanding shells and gas ejections need further investigation.

Acknowledgements
We thank the IRAM 30 m staff for the support during the observations. This work was supported by the International Max Planck Research School (IMPRS) for Astronomy and Astrophysics at the Universities of Bonn and Cologne. We have made use of the NASA/IPAC Infrared Science Archive to obtain data from the Spitzer-GLIMPSE. This publication makes use of molecular line data from the Boston University-FCRAO Galactic Ring Survey (GRS). The GRS is a joint project of Boston University and Five College Radio Astronomy Observatory, funded by the National Science Foundation under grants AST-9800334, AST-0098562, AST-0100793, AST-0228993, & AST-0507657.

References

  1. Allen, D. A., & Burton, M. G. 1993, Nature, 363, 54 [NASA ADS] [CrossRef] [Google Scholar]
  2. Alves, J., & Homeier, N. 2003, ApJ, 589, L45 [NASA ADS] [CrossRef] [Google Scholar]
  3. Bally, J., & Zinnecker, H. 2005, AJ, 129, 2281 [NASA ADS] [CrossRef] [Google Scholar]
  4. Becker, R. H., White, R. L., & Proctor, D. D. 1992, AJ, 103, 544 [NASA ADS] [CrossRef] [Google Scholar]
  5. Benjamin, R. A., Churchwell, E., Babler, B. L., et al. 2003, PASP, 115, 953 [NASA ADS] [CrossRef] [Google Scholar]
  6. Beaumont, C. N., & Williams, J. P. 2010, ApJ, 709, 791 [NASA ADS] [CrossRef] [Google Scholar]
  7. Brogan, C. L., & Troland, T. H. 2001, ApJ, 550, 799 [NASA ADS] [CrossRef] [Google Scholar]
  8. Churchwell, E., Povich, M. S., Allen, D., et al. 2006, ApJ, 649, 759 [NASA ADS] [CrossRef] [Google Scholar]
  9. De Pree, C. G., Mehringer, D. M., & Goss, W. M. 1997, ApJ, 482, 307 [NASA ADS] [CrossRef] [Google Scholar]
  10. De Pree, C. G., Wilner, D. J., Goss, W. M., et al. 2000, ApJ, 540, 308 [NASA ADS] [CrossRef] [Google Scholar]
  11. Elmegreen, B. G. 1998, Origins, 148, 150 [Google Scholar]
  12. Fazio, G. G., Hora, J. L., Allen, L. E., et al. 2004, ApJS, 154, 10 [NASA ADS] [CrossRef] [Google Scholar]
  13. Genzel, R., Downes, D., Moran, J. M., et al. 1978, A&A, 66, 13 [NASA ADS] [Google Scholar]
  14. Gwinn, C. R., Moran, J. M., & Reid, M. J. 1992, ApJ, 393, 149 [NASA ADS] [CrossRef] [Google Scholar]
  15. Lacy, J. H., Knacke, R., Geballe, T. R., & Tokunaga, A. T. 1994, ApJ, 428, L69 [NASA ADS] [CrossRef] [Google Scholar]
  16. Langer, W. D., & Penzias, A. A. 1990, ApJ, 357, 477 [NASA ADS] [CrossRef] [Google Scholar]
  17. Jackson, J. M., Rathborne, J. M., Shah, R. Y., et al. 2006, ApJS, 163, 145 [NASA ADS] [CrossRef] [Google Scholar]
  18. Krumholz, M. R., & Matzner, C. D. 2009, ApJ, 703, 1352 [NASA ADS] [CrossRef] [Google Scholar]
  19. Kurtz, S., Churchwell, E., & Wood, D. O. S. 1994, ApJS, 91, 659 [NASA ADS] [CrossRef] [Google Scholar]
  20. McKee, C. F., & Ostriker, E. C. 2007, ARA&A, 45, 565 [NASA ADS] [CrossRef] [Google Scholar]
  21. Matthews, H., Kirk, H., Johnstone, D., et al. 2009, AJ, 138, 1380 [NASA ADS] [CrossRef] [Google Scholar]
  22. Murray, N., Quataert, E., & Thompson, T. A. 2010, ApJ, 709, 191 [NASA ADS] [CrossRef] [Google Scholar]
  23. Schuster, K.-F., Boucher, C., Brunswig, W., et al. 2004, A&A, 423, 1171 [NASA ADS] [CrossRef] [EDP Sciences] [Google Scholar]
  24. Sievers, A. W., Mezger, P. G., Bordeon, M. A., et al. 1991, A&A, 251, 231 [NASA ADS] [Google Scholar]
  25. Serabyn, E., Guesten, R., & Schulz, A. 1993, ApJ, 413, 571 [NASA ADS] [CrossRef] [Google Scholar]
  26. Homeier, N. L., & Alves, J. 2005, A&A, 430, 481 [NASA ADS] [CrossRef] [EDP Sciences] [Google Scholar]
  27. Hosokawa, T., & Inutsuka, S.-I. 2005, ApJ, 623, 917 [NASA ADS] [CrossRef] [Google Scholar]
  28. Hosokawa, T., & Inutsuka, S.-I. 2006, ApJ, 646, 240 [NASA ADS] [CrossRef] [Google Scholar]
  29. Spitzer, L. 1978, in Physical processes in the interstellar medium (New York: Wiley-Interscience), 333 p [Google Scholar]
  30. Tsujimoto, M., Hosokawa, T., Feigelson, E. D., Getman, K. V., & Broos, P. S. 2006, ApJ, 653, 409 [NASA ADS] [CrossRef] [Google Scholar]
  31. Vacca, W. D., Garmany, C. D., & Shull, J. M. 1996, ApJ, 460, 914 [NASA ADS] [CrossRef] [Google Scholar]
  32. Watson, C., Araya, E., Sewilo, M., et al. 2003, ApJ, 587, 714 [NASA ADS] [CrossRef] [Google Scholar]
  33. Watson, C., Povich, M. S., Churchwell, E. B., et al. 2008, ApJ, 681, 1341 [NASA ADS] [CrossRef] [Google Scholar]
  34. Welch, W. J., Dreher, J. W., Jackson, J. M., Terebey, S., & Vogel, S. N. 1987, Science, 238, 1550 [NASA ADS] [CrossRef] [PubMed] [Google Scholar]
  35. Weaver, R., McCray, R., Castor, J., Shapiro, P., & Moore, R. 1977, ApJ, 218, 377 [NASA ADS] [CrossRef] [Google Scholar]
  36. Whitworth, A. P., Bhattal, A. S., Chapman, S. J., Disney, M. J., & Turner, J. A. 1994, A&A, 290, 421 [NASA ADS] [Google Scholar]
  37. Williams, J. A., Dickel, H. R., & Auer, L. H. 2004, ApJS, 153, 463 [NASA ADS] [CrossRef] [Google Scholar]
  38. Wilson, T. L., & Rood, R. 1994, ARA&A, 32, 191 [NASA ADS] [CrossRef] [Google Scholar]
  39. Zinnecker, H., & Yorke, H. W. 2007, ARA&A, 45, 481 [NASA ADS] [CrossRef] [Google Scholar]

Footnotes

... GILDAS[*]
http://www.iram.fr/IRAMFR/GILDAS
... documentation[*]
http://www.iram.fr/IRAMES

All Tables

Table 1:   The projected kinetic energy estimates of gas ejections.

All Figures

  \begin{figure}
\par\includegraphics[angle=-90,width=18cm]{14975fg1.eps} %
\end{figure} Figure 1:

The Spitzer-GLIMPSE IRAC 4.5 $\mu $m and 8.0 $\mu $m images of W49A. Black triangles denote the UC H II regions observed by De Pree et al. (1997). The black dashed ellipses are the suggested expanding shells (shells 1 and 2), and the black filled star represents the center of the expanding shells and gas ejections (see text). The larger black unfilled star represents the embedded cluster center according to Alves & Homeier (2003). The white circle in the left image indicates the maximum radius (5.3 pc) used in the circular PV diagram shown in Fig. 3, and the two white dashed lines represent the linear PV cuts (Fig. 3). Red lines and arrows in the right image indicate the directions of gas ejections.

Open with DEXTER
In the text

  \begin{figure}
\par\includegraphics[angle=-90,width=18cm]{14975fg2.eps}\vspace*{1.5mm}
\vspace*{5mm}
\end{figure} Figure 2:

The IRAM 30 m HERA channel maps of 13CO J=2-1 (images) overlaid with the C18O J=2-1 emission in black contours with a resolution of 11 $^{\prime \prime }$. The contours are plotted from 1 to 15 K in steps of 2 K. The white ellipses represent two suggested shells, and the white star marks the shell expansion center. The ( $0\hbox {$^{\prime \prime }$ },0\hbox {$^{\prime \prime }$ }$) position is located at the region around source G.

Open with DEXTER
In the text

  \begin{figure}
\par\includegraphics[angle=-90,width=18cm]{14975fg3.eps} \vspace*{3mm}
\end{figure} Figure 3:

Left panel: the linear PV diagrams of 13CO J=2-1 and C18O J=2-1 corresponding to Cut I (E-W) and Cut II (N-S) shown in Fig. 1. The suggested shell expansion center and source G are marked. The red dashed ellipses indicate the expansion speed of 5 km s-1 and the radius corresponding to the two MIR shells marked in Fig. 1. The clumps associated with source O and source N are marked. I a)-I b) Black contours represent the main-beam brightness temperatures $T_{\rm MB}$ from $5\%$ (3$\sigma $ for C18O and 10$\sigma $ for 13CO) to $35\%$ in steps of $5\%$ of the peak value, and the subsequent contours are running from $40\%$ to $90\%$ in steps of $10\%$ of the peak value. II a)-II b) Black contours represent $T_{\rm MB}$ from $10\%$ (3$\sigma $ for C18O and 10 $\sigma $ for 13CO) to $35\%$ in steps of $5\%$ of the peak value, and the subsequent contours are running from $40\%$ to $90\%$ in steps of $10\%$ of the peak value. c) The circular PV diagram of C18O J=2-1. The radius axis is the distance to the shell expansion center, and the temperature is averaged in a given radius. Black contours represent the main-beam brightness temperatures of C18O J=2-1 from 0.4 to 2.0 K in steps of 0.2 K. d) The H2 column density of an averaged shell calculated in the LTE assumption. Black contours represent the H2 column densities of $5.0\times 10^{21}$ cm-2, $1.0\times 10^{22}$ cm-2, $1.5\times 10^{22}$ cm-2, and $2.0\times 10^{22}$ cm-2. The shell with a radius size of 3.3 pc and an expansion speed of 5 km s-1 is indicated in red ellipses.

Open with DEXTER
In the text

  \begin{figure}
\par\includegraphics[angle=-90,width=18cm]{14975fg4.eps} \vspace*{3mm}
\end{figure} Figure 4:

Upper panels: the left panel shows the large-scale GRS 13CO J=1-0 emission of the W49 complex, and the right panel shows the 13CO J=2-1 emission from IRAM 30 m in the local area of W49A. The MIR shell structure is indicated by black ellipses. The white dashed lines represent two linear PV cuts shown in the lower panels. The white dotted lines represent the suggested alignments or ejections of molecular gas. Black crosses represent the 850 $\mu $m dust continuum peaks from Matthews et al. (2009). Black triangles denote the UC H II regions from De Pree et al. (1997). (III)-(IV) The NW-SE and NE-SW PV diagrams corresponding to Cut III and Cut IV in the upper-left panel. The shell with a radius size of 3.3 pc and an expansion speed of 5 km s-1 is indicated in red ellipses. The violet curves in a double-cone shape represent the gas ejections in the NW-SE direction, and the red dashed line represents the NE-SW direction of the bipolar gas ejections. The contours denote the temperatures from 0.4 to 4.8 K in steps of 0.4 K.

Open with DEXTER
In the text


Copyright ESO 2010

Current usage metrics show cumulative count of Article Views (full-text article views including HTML views, PDF and ePub downloads, according to the available data) and Abstracts Views on Vision4Press platform.

Data correspond to usage on the plateform after 2015. The current usage metrics is available 48-96 hours after online publication and is updated daily on week days.

Initial download of the metrics may take a while.