| Issue |
A&A
Volume 521, October 2010
|
|
|---|---|---|
| Article Number | A86 | |
| Number of page(s) | 11 | |
| Section | Numerical methods and codes | |
| DOI | https://doi.org/10.1051/0004-6361/200912574 | |
| Published online | 25 October 2010 | |
Imaging of stellar surfaces with the Occamian approach and the least-squares deconvolution technique
S. P. Järvinen1 - S. V. Berdyugina2,3
1 - Astrophysikalisches Institut Potsdam, An der Sternwarte 16,
14482 Potsdam, Germany
2 -
Kiepenheuer-Institut für Sonnenphysik, Schöneckstr. 6,
79104 Freiburg, Germany
3 -
Tuorla Observatory, University of Turku, 21500 Piikkiö,
Finland
Received 26 May 2009 / Accepted 3 August 2010
Abstract
Context. We present in this paper a new technique for the
indirect imaging of stellar surfaces (Doppler imaging, DI), when low
signal-to-noise spectral data have been improved by the least-squares
deconvolution (LSD) method and inverted into temperature maps with the
Occamian approach. We apply this technique to both simulated and real
data and investigate its applicability for different stellar rotation
rates and noise levels in data.
Aims. Our goal is to boost the signal of spots in spectral lines
and to reduce the effect of photon noise without loosing the
temperature information in the lines.
Methods. We simulated data from a test star, to which we added
different amounts of noise, and employed the inversion technique based
on the Occamian approach with and without LSD. In order to be able to
infer a temperature map from LSD profiles, we applied the LSD technique
for the first time to both the simulated observations and theoretical
local line profiles, which remain dependent on temperature and limb
angles. We also investigated how the excitation energy of individual
lines effects the obtained solution by using three submasks that have
lines with low, medium, and high excitation energy levels.
Results. We show that our novel approach enables us to overcome
the limitations of the two-temperature approximation, which was
previously employed for LSD profiles, and to obtain true temperature
maps with stellar atmosphere models. The resulting maps agree well with
those obtained using the inversion code without LSD, provided the data
are noiseless. However, using LSD is only advisable for poor
signal-to-noise data. Further, we show that the Occamian technique,
both with and without LSD, approaches the surface temperature
distribution reasonably well for an adequate spatial resolution. Thus,
the stellar rotation rate has a great influence on the result. For
instance, in a slowly rotating star, closely situated spots are usually
recovered blurred and unresolved, which affects the obtained
temperature range of the map. This limitation is critical for small
unresolved cool spots and is common for all DI techniques. Finally the
LSD method was carried out for high signal-to-noise observations of the
young active star V889 Her: the maps obtained with and without LSD
are found to be consistent.
Conclusions. Our new technique provides meaningful information
on the temperature distribution on the stellar surfaces, which was
previously inaccessible in DI with LSD. Our approach can be easily
adopted for any other multi-line techniques.
Key words: stars: imaging - stars: activity - methods: data analysis
1 Introduction
| Figure 1:
Spot distribution on the test star with
|
|
| Open with DEXTER | |
|
Figure 2:
Surface temperature maps of the test star rotating with
|
| Open with DEXTER | |
|
Figure 3:
Calculated (red lines) and observed (crosses) spectral lines for the set with
|
| Open with DEXTER | |
|
Figure 4:
Calculated (red lines) and observed (crosses) spectral lines for the set with
|
| Open with DEXTER | |
|
Figure 5:
Calculated (red lines) and observed (crosses) spectral lines for the set with
|
| Open with DEXTER | |
The idea of LSD is to extract the polarisation information from as many
lines as possible in a single spectrum, since most of the lines are
expected to exhibit Zeeman signatures with more or less the same shape.
Note that Donati et al. (1997) were mainly concentrated on
improving Zeeman signatures in Stokes V line profiles, whereas in this
paper we are interested in decreasing the noise in Stokes I line
profiles. Doppler imaging with LSD was so far employed to recover maps
of the spot filling factor under some limiting assumptions. It was
elaborated by Donati et al. (1997), and subsequently used by
many other authors (see, e.g., Donati & Collier Cameron 1997;
Barnes et al. 1998; Donati & Wade 1999), even though
according to Donati et al. (1997) LSD is often less efficient
for intensity spectra. However, for Doppler imaging purposes the
sufficient gain in signal-to-noise ratio (S/N) is from
to
.
A drawback of improving S/N with the LSD technique by averaging many spectral lines is that the resulting profile looses its identity and blurs the thermodynamic and magnetic sensitivity of contributing lines. The interpretation of such a profile becomes a challenge. So far, it was based on assumptions of a two-temperature distribution on the stellar surface and the weak-field approximation, both of which are far too simple for inferring the complexity of stellar surface structures owing to magnetic fields. In the present paper we show that LSD can be employed with an inversion technique without loosing the temperature information contained in spectral lines. For the first time, the LSD technique is applied to both observed line profiles and a set of theoretical local line profiles, using the same mask of spectral lines. This enables us to obtain temperature-dependent LSD local line profiles and to overcome the limitations of the two-temperature approximation when interpreting Stokes I profiles. An analogous approach can be applied to other Stokes parameters as well but is not discussed here. The other aspect of this paper is to investigate the effect of the stellar rotation and noise level on resulting Doppler images.
The structure of the paper is as follows. The LSD method is described in Sect. 2. The results with simulated data from a test star are shown in Sect. 3, while in Sect. 4 the method is applied to real observations. Finally, the results and implications are discussed in Sect. 5.
2 Doppler imaging with LSD
2.1 Basic principles of LSD
Let us briefly describe basics of the LSD technique following Donati et al. (1997). First, we define a local intensity line profile
,
where v represents the velocity coordinate
(
)
associated with a wavelength shift
from the line centre wavelength
.
Assuming that
this profile is similar in shape for all lines and simply scales up in
depth with the local line central depth d, we can express it as
where
| I(v) | = | ||
| = | |||
| = |
If also limb darkening is assumed to be independent on wavelength, the integral function Z(v) - called mean Zeeman signature - is constant for all lines, and its shape is reproduced by all Stokes I(v) profiles with a scaling by d.
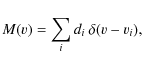
The line pattern function, called a line mask, M(v) is defined as
where vi and di are the position in velocity space and weight of each spectral line, respectively. Now, the spectrum I can be written as a convolution expression (I=M*Z) or equivalently as a linear system (I= M Z). The least-squares solution in Z yields
where S is the diagonal matrix whose element Sjj contains the inverse error
2.2 Line mask
To perform LSD, one needs a line mask containing positions, relative strengths, and in case of other Stokes profiles also magnetic sensitivities (e.g., Landé factors). Donati et al. (1997) introduced a selection criterion for useful lines. They suggested that only lines which have the central depth without line rotational broadening exceeding 40 per cent should be used to avoid overpresenting weak lines. We have omitted this criterion at the moment. However, as suggested by Donati et al. (1997), we exclude the very strong lines. Also, because blends strongly affect the LSD profile, we have chosen least blended lines with best known parameters based on the solar spectrum. This resulted in the total number of 189 lines selected from the wavelength region 4750 Å to 6850 Å. They are mainly Fe I, Ni I, and Ca I lines. This mask is suitable for the analysis of spectra of G-K stars. Even though the total number of selected lines is relatively small, this mask well preserves the temperature information, as we can use only lines which we know how to model. On the other hand, our choice was limited by the echelle orders of the SOFIN spectrograph, which at the moment provides us with most of our observations. However, the mask can certainly be extended for other spectrographs with a wider wavelength range.
Furthermore, to test which lines are best for LSD and to preserve their
temperature sensitivity as well as possible, we created additional
submasks from the main mask, where transitions were divided into three
groups according to the low level excitation energies. The first submask
has all lines with
eV (45 transitions), the second submask
has lines with
eV (99), and the third one the lines with
eV (45). Our tests have shown that this relatively small
number of lines in the mask is sufficient for spectra with
.
2.3 Local line profiles
The quality of Doppler imaging strongly depends on how much is
known about the local line profile
,
i.e., the intensity
profile at a given point on the stellar disc. Here local line profiles
for all spectral lines in the mask were calculated with the code by
Berdyugina (1991), which includes calculations of opacities in
the continuum and in atomic and molecular lines, although we here
omitted molecular lines. Atomic line parameters were obtained from the
Vienna Atomic Line Database (VALD; Piskunov et al. 1995; Kupka
et al. 1999). To account for blends in a given wavelength
region (around the main lines from the mask), all lines with a central
depth of 1% or more were included in the spectral synthesis. The
local line profiles were calculated for a grid of Kurucz models
(Kurucz 1993) with temperature
ranging from
3500 K to 6000 K in steps of 250 K and for 20 values of
from the disc centre to the limb. The spectral resolution
(
)
of about 200 000 was adopted. The LSD was
applied to the calculated profiles for each
and
separately, so that the obtained
Z-solutions depend on these
parameters. Below the Doppler imaging technique was employed
using sets of local line profiles without LSD,
I, and with
LSD,
Z.
2.4 Inversion
The Occamian approach was employed for inversions of observed line
profiles into stellar images (Berdyugina 1998). A
grid on the stellar surface was used for
integrating local line profiles into normalised flux profiles. With a set
of stellar atmosphere models, the stellar image is considered as the
distribution of effective temperature across the stellar surface, as is
usually done in the surface imaging. Using LSD profiles required only
minor changes in the inversion code. As before, the code was fed with
sets of observed and local line profiles, but in this case they were
pre-processed by the LSD algorithm, i.e., both were
Z-solutions
depending on used model atmosphere parameters.
It is known that uncertainties in various stellar parameters as well as spot locations have an effect on the resulting temperature map (for details, see Berdyugina 1998). In particular, spots near the equator are usually reconstructed with a reduced spot area and contrast, which is reflected in the temperature scale of the image.
|
Figure 6:
Surface temperature maps of the test star rotating with
|
| Open with DEXTER | |
3 Test star
3.1 Input parameters
The assumed spot configuration on the test star is shown in
Fig. 1. The photospheric temperature is
K, and
the temperature of all spots is set to
K. ``Observed''
spectra of the star were simulated with high spatial resolution on the
stellar surface (with a grid
)
for 20 evenly
distributed rotational phases. Several sets of profiles were generated:
with rotation velocities
km s-1 and 17 km s-1,
and assuming the signal-to-noise ratio (S/N) to be infinite, 150, and 100.
3.2 Doppler images without LSD
Three atomic lines were selected for Doppler imaging without LSD: Fe I 6411.64 Å, Fe I 6430.80 Å, and Ca I 6439.08 Å. Their local line profiles were calculated as described above.
First, we applied the inversion to the sets of profiles with
km s-1. For the case with the infinite S/N (Fig. 2,
top panel) the Occamian approach is able to reconstruct the spot
distribution with high accuracy. The two other reconstructed images
with S/N=150 and S/N=100 (Fig. 2, middle and bottom panel,
respectively) demonstrate the importance of good observational data
quality. The spots are usually at the correct positions, but the images
become noisier and more blurred. Furthermore, the errors in the
temperature scale increase with decreasing S/N. The fits to the observed
spectra for all the three lines used in the inversions and for all the
S/N cases are shown in Figs. 3-5.
|
Figure 7:
Calculated (red lines) and observed (crosses) spectral lines for the set with
|
| Open with DEXTER | |
|
Figure 8:
Calculated (red lines) and observed (crosses) spectral lines for the set with
|
| Open with DEXTER | |
|
Figure 9:
Calculated (red lines) and observed (crosses) spectral lines for
the set with
|
| Open with DEXTER | |
The sets with
km s-1 represent a challenge for Doppler
imaging. At the moment it is the lowest rotational velocity of a real
target for which temperature maps were obtained with Doppler imaging
from intensity spectra (EK Dra, see, e.g., Strassmeier & Rice
1998; Järvinen et al. 2007). The temperature maps
recovered from the sets with this
(Fig. 6) reveal
the following effects. First, even with the perfect data, the recovered
spots are clearly noisier and more blurred than in the case of higher
.
Second, the resolution is better in the longitudinal than in
latitudinal direction. Furthermore, with a good phase coverage and
resolution, the spot temperature is recovered with a larger error for
lower S/N, similar to the case of a more rapidly rotating test star.
Also, the maps show persistent artificial brighter regions. The fits to
the observed spectra are shown in Figs. 7-9
for noiseless spectra and for S/N=150 and S/N=100, respectively.
3.3 Doppler images with LSD
Before performing the LSD for all cases presented in Sect. 3.2, we
studied the effects of the excitation energy of individual lines on the
LSD Doppler imaging results. In Fig. 10 Doppler imaging is
performed for noiseless simulated spectra of the test star rotating with
km s-1 using four different masks as described in
Sect. 2.2. It is remarkable that the spot places are well
recovered regardless of which mask is used, even though a very
different amount of lines are included in these four cases. Note that
the spots are well recovered also for lines with
eV,
although the contrast of the image is poor because the same colour scale
was used for all images. The temperature range closest to the
temperature distribution of the input star was achieved when using the
main mask with all lines (189). Also the submask with
eV
results in a very good temperature range, although a small number of
lines (45) was used. However, the near equatorial spots are clearly too
warm. Almost a similar result is achieved when using the submask with
eV (99 lines). Now also the equatorial spots have a
better contrast, similar to the first case when all lines were used.
With the last mask, i.e., lines with
eV, the reconstructed
spots are too warm, and also the unspotted photospheric temperature is
too high. However, if lines with
eV were dropped from the
main mask, the result was not as good as the one obtained with all
lines. Therefore, we conclude that all lines, covering a wide range of
excitation energies, should be used in the line mask to achieve the best
result.
|
Figure 10:
Surface temperature maps of the test star using different line masks for obtaining the
Z-solution. Four different masks are used: including all selected transitions (main mask), and using
lines with |
| Open with DEXTER | |
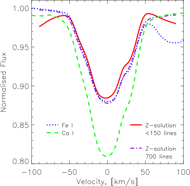
In Fig. 11 two example Z-profiles calculated with a different number of lines are compared with the Fe I and Ca I lines used in Doppler imaging without LSD. Even though the depths of the profiles are different, the main features due to spots are well visible in each of them. The figure shows that with a small line mask the blends are not fully accounted for and the continuum adjacent to the line profiles is not flat. However, the result is improved when more lines are considered.
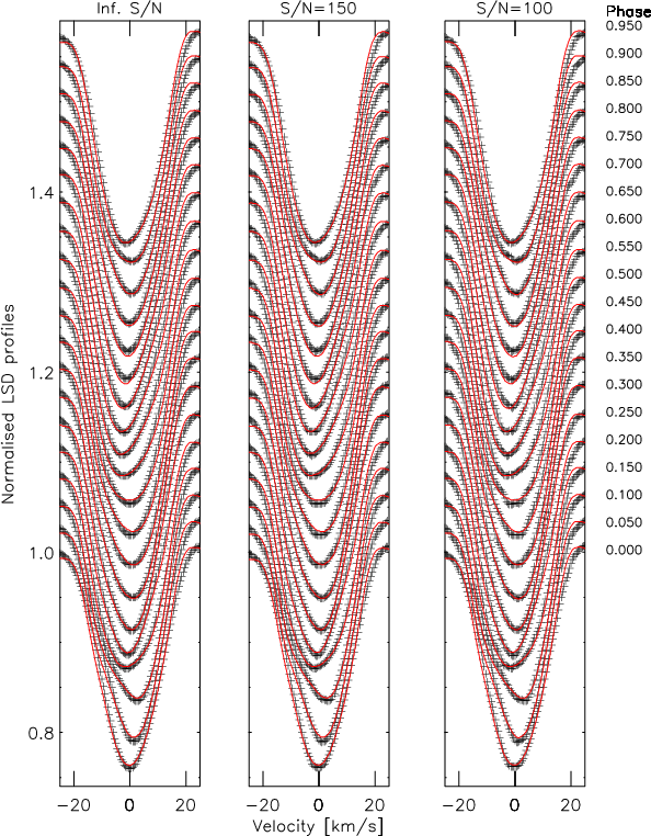
Now we apply the LSD for the same cases as in Sect. 3.2 while obtaining the Z-solutions with the main mask, based on the results described above. For individual spectra with the original S/N of 150 and 100, LSD boosts it up to approximately 320 and 230, respectively.
The resulting temperature maps for the sets of profiles with
km s-1 are shown in Fig. 12, while LSD profiles with
three different S/N values are plotted in Fig. 13.
As expected, the places of the spots are well
recovered. The infinite S/N case appears to be better for DI without
LSD, which indicates that LSD profiles do blur the information. However,
for the cases with low S/N the spot shapes are recovered significantly
better with LSD than without, which reflects the effect of the boosted S/N
(Fig. 2). The temperature ranges in the three cases are not
identical, but still rather close to each other. The coolest spot
temperature does not reach the input value even with the best S/N, which
again indicates that some information is still lost. Furthermore, there
are some small hotter regions, which can be considered as artifacts. If
these hottest areas are excluded, the average photospheric temperature
corresponds well with the surface temperature of the test star.
Figures 14 and 15
show the resulting temperature maps and obtained LSD profiles
for the data sets with
km s-1 and different S/N
values. As in the case without LSD, the two high-latitude spots are
still unresolved and appear merged, which is the consequence of a lower
spatial resolution for slower rotators. However, the spot temperatures
are very close to the true value. The low latitude spots are not clearly
recovered - without foreknowledge of their positions one would miss
them. Furthermore, a hot equatorial ring is formed below the two
high-latitude spots.
|
Figure 11: Two example Z-profiles using 148 lines (solid red line) and 700 lines (dash-dot purple line) are plotted for comparison with Fe I 6430.80 Å (dotted blue line) and Ca I 6439.08 Å (dashed green line). The stellar rotation velocity is 45 km s-1 and S/N is infinite. |
| Open with DEXTER | |
3.4 Effects of the spatial resolution
To analyse how much information is lost owing to low spatial resolution
we created an additional test with a pair of test images (see,
Fig. 16, top row). The photospheric temperature is again
set to
K and
km s-1. The lines
used are the same as in Sect. 3.2 for without LSD and as in
Sect. 3.3 for with LSD. In both test cases, the spots have the
same visual brightness, but one has
K with the
filling factor of 100% while another has
K with the
filling factor of 25%. To better visualise the temperature
distribution, we also plotted the cumulative surface area as a function
of pixel temperature for both cases. The input images have again high
spatial resolution (
)
while we used a grid of
for the inversions.
In both test cases, the overall spot location is again well recovered. However, as expected, the obtained temperature distribution is not perfect. The differentiation in latitude is poor in equatorial regions. Therefore, the features are more smeared towards the equator, and only the strongest features are properly recovered. This is an old problem and is discussed in many papers (see, for example, Rice et al. 1989 or Rice 2002). The case with a warm solid spot shows that its contrast is smoothed: the middle area of the spot is somewhat cooler than the given input temperature, while the rim of the spot is too warm. However, the cumulative surface area versus temperature plot demonstrates that the solution approximates the input well for both DI with and without LSD. The recovered images for the case with unresolved, small, cool spots show a blurred spot centred at the spot group, as expected for low spatial resolution data. The temperature scale and cumulative surface area plot show that we do not reach the input spot temperature. Nevertheless, the recovered spot is clearly cooler than in in the first test, but without knowing the difference between the two inputs it is impossible to decide whether we resolve real spots.
These two tests clearly demonstrate that improving the S/N of the data with LSD does not compensate for the lack of the spatial resolution. We emphasise that this is common for all DI techniques and not specific to the Occamian approach. Therefore, Doppler images of slowly rotating stars (whether with temperature or magnetic field distribution) should be analysed and interpreted with great care.
|
Figure 12:
Surface temperature maps of the test star rotating with
|
| Open with DEXTER | |
4 Doppler imaging of V889 Her
The successful results of testing the Occamian approach to Doppler imaging combined with the LSD technique applied to simulated data in Sect. 3 encouraged us to employ this new technique for the analysis of real data. We now apply LSD to observations which originally had a good S/N. There we can expect that the obtained temperature maps should be almost identical regardless of whether the Occamian approach is used with or without LSD.
For our purpose, we took the spectra of the young solar analogue V889 Her obtained in July 2005 with the Nordic Optical Telescope (NOT, La Palma) and the SOFIN echelle spectrograph. The signal-to-noise ratio of the original spectra was on average above 250. A more detailed description of the observations is given by Järvinen et al. (2008), who carried out an analysis of the data and obtained temperature maps using the Occamian approach without LSD.
A line mask containing 95 spectral lines is built with lines from 15
spectral orders within a wavelength range of 4770-7067 Å. As for the
inversion without LSD (Järvinen et al. 2008),
the local line profiles are calculated for a grid of Kurucz models
(Kurucz 1993) with temperatures ranging from 4000 K to 6500 K
in steps of 250 K and for 20 values of
from the disc
centre to the limb.
The resulting surface temperature map of V889 Her obtained with the Occamian approach with LSD is shown in Fig. 17 and, for comparison, the map obtained without LSD from the same data is shown in Fig. 18. As seen from the maps, the temperature range is smaller for the case with LSD than without it. However, the spot occupancy does not change dramatically. The polar spot recovered with LSD is more compact than the one recovered without LSD and is comparable with the one by Jeffers & Donati (2008) obtained from data taken only about a month earlier.
5 Discussion and conclusions
|
Figure 13:
Calculated (red lines) and observed (crosses) LSD profiles for
|
| Open with DEXTER | |
|
Figure 14:
Surface temperature maps of the test star rotating with
|
| Open with DEXTER | |
|
Figure 15:
Calculated (red lines) and observed (crosses) LSD profiles for
|
| Open with DEXTER | |
|
Figure 16:
Top panel: two tests where the spot area has the same visual
brightness: on the left
|
| Open with DEXTER | |
An important outcome of our tests is that inversions with LSD do not
produce better results than those without LSD for reasonable noise
levels in the data. In all cases with LSD, the spot temperature is
recovered to be higher than the input value, and bright artificial
features appear in the maps. This is probably because of non-linear
effects that arise when lines of different strengths are averaged
together, which is not taken into account in the LSD technique.
Therefore, we conclude that for temperature mapping, LSD is only
advisable when the observations have a poor signal-to-noise ratio,
perhaps
100. For data of a better quality the simultaneous
inversions of several spectral lines with various temperature
sensitivity is a more reliable approach. Alternatively, non-linear
multi-line techniques, such as non-linear deconvolution with deblending
(NDD, Sennhauser et al. 2009), can be adopted using the same
approach as described in this paper.
|
Figure 17: Surface temperature map of V889 Her obtained with the Occamian approach with LSD. The temperature scale is chosen to match that of Fig. 18, and the minimum and maximum temperatures of the LSD solution are marked to the left side of the scale. |
| Open with DEXTER | |
|
Figure 18: Surface temperature map of V889 Her obtained using the Occamian approach without LSD. Adapted from Järvinen et al. (2008). |
| Open with DEXTER | |
S.P.J. acknowledges the support from Alfred Kordelin Foundation, Finland. S.V.B. acknowledges the EURYI (European Young Investigator) Award provided by the European Science Foundation (see www.esf.org/euryi) and SNF grant PE002-104552. This work was also supported by the Academy of Finland, grant 115417.
References
- Barnes, J. R., Collier Cameron, A., Unruh, Y. C., Donati, J.-F., & Hussain, G. A. J. 1998, MNRAS, 299, 904 [NASA ADS] [CrossRef] [Google Scholar]
- Berdyugina, S. V. 1991, Bull. Crimean Astrophys. Obs., 83, 89 [NASA ADS] [Google Scholar]
- Berdyugina, S. V. 1998, A&A, 338, 97 [NASA ADS] [Google Scholar]
- Donati, J.-F., & Collier Cameron, A. 1997, MNRAS, 291, 1 [NASA ADS] [CrossRef] [Google Scholar]
- Donati, J.-F., & Wade, G. A. 1999, A&A, 341, 216 [NASA ADS] [Google Scholar]
- Donati, J.-F., Semel, M., Carter, B. D., Rees, D. E., & Cameron, A. C. 1997, MNRAS, 291, 658 [NASA ADS] [CrossRef] [MathSciNet] [Google Scholar]
- Donati, J.-F., Collier Cameron, A., Hussain, G. A. J., & Semel, M. 1999, MNRAS, 302, 437 [NASA ADS] [CrossRef] [Google Scholar]
- Järvinen, S. P., Berdyugina, S. V., Korhonen, H., Ilyin, I., & Tuominen, I. 2007, A&A, 472, 887 [NASA ADS] [CrossRef] [EDP Sciences] [Google Scholar]
- Järvinen, S. P., Korhonen, H., Berdyugina, S. V., et al. 2008, A&A, 488, 1047 [NASA ADS] [CrossRef] [EDP Sciences] [Google Scholar]
- Jeffers, S. V., & Donati, J.-F. 2008, MNRAS, 390, 635 [NASA ADS] [CrossRef] [Google Scholar]
- Kupka, F., Piskunov, N. E., Ryabchikova, T. A., Stempels, H. C., & Weiss, W. W. 1999, A&AS, 138, 119 [NASA ADS] [CrossRef] [EDP Sciences] [MathSciNet] [PubMed] [Google Scholar]
- Kurucz, R. L. 1993, Kurucz CD No. 13 [Google Scholar]
- Piskunov, N. E., Kupka, F., Ryabchikova, T. A., Weiss, W. W., & Jeffery, C. S. 1995, A&AS, 112, 525 [Google Scholar]
- Rice, J. B. 2002, AN, 323, 220 [Google Scholar]
- Rice, J. B., Wehlau, W. H., & Khokhlova, V. 1989, A&A, 208, 179 [NASA ADS] [Google Scholar]
- Semel, M. 1989, A&A, 225, 456 [NASA ADS] [Google Scholar]
- Sennhauser, C., Berdyugina, S. V., & Fluri, D. M. 2009, A&A, 507, 1711 [NASA ADS] [CrossRef] [EDP Sciences] [Google Scholar]
- Strassmeier, K. G., & Rice, J. B. 1998, A&A, 330, 685 [NASA ADS] [Google Scholar]
All Figures
| |
Figure 1:
Spot distribution on the test star with
|
| Open with DEXTER | |
| In the text | |
|
Figure 2:
Surface temperature maps of the test star rotating with
|
| Open with DEXTER | |
| In the text | |
|
Figure 3:
Calculated (red lines) and observed (crosses) spectral lines for the set with
|
| Open with DEXTER | |
| In the text | |
|
Figure 4:
Calculated (red lines) and observed (crosses) spectral lines for the set with
|
| Open with DEXTER | |
| In the text | |
|
Figure 5:
Calculated (red lines) and observed (crosses) spectral lines for the set with
|
| Open with DEXTER | |
| In the text | |
|
Figure 6:
Surface temperature maps of the test star rotating with
|
| Open with DEXTER | |
| In the text | |
|
Figure 7:
Calculated (red lines) and observed (crosses) spectral lines for the set with
|
| Open with DEXTER | |
| In the text | |
|
Figure 8:
Calculated (red lines) and observed (crosses) spectral lines for the set with
|
| Open with DEXTER | |
| In the text | |
|
Figure 9:
Calculated (red lines) and observed (crosses) spectral lines for
the set with
|
| Open with DEXTER | |
| In the text | |
|
Figure 10:
Surface temperature maps of the test star using different line masks for obtaining the
Z-solution. Four different masks are used: including all selected transitions (main mask), and using
lines with |
| Open with DEXTER | |
| In the text | |
|
Figure 11: Two example Z-profiles using 148 lines (solid red line) and 700 lines (dash-dot purple line) are plotted for comparison with Fe I 6430.80 Å (dotted blue line) and Ca I 6439.08 Å (dashed green line). The stellar rotation velocity is 45 km s-1 and S/N is infinite. |
| Open with DEXTER | |
| In the text | |
|
Figure 12:
Surface temperature maps of the test star rotating with
|
| Open with DEXTER | |
| In the text | |
|
Figure 13:
Calculated (red lines) and observed (crosses) LSD profiles for
|
| Open with DEXTER | |
| In the text | |
|
Figure 14:
Surface temperature maps of the test star rotating with
|
| Open with DEXTER | |
| In the text | |
|
Figure 15:
Calculated (red lines) and observed (crosses) LSD profiles for
|
| Open with DEXTER | |
| In the text | |
|
Figure 16:
Top panel: two tests where the spot area has the same visual
brightness: on the left
|
| Open with DEXTER | |
| In the text | |
|
Figure 17: Surface temperature map of V889 Her obtained with the Occamian approach with LSD. The temperature scale is chosen to match that of Fig. 18, and the minimum and maximum temperatures of the LSD solution are marked to the left side of the scale. |
| Open with DEXTER | |
| In the text | |
|
Figure 18: Surface temperature map of V889 Her obtained using the Occamian approach without LSD. Adapted from Järvinen et al. (2008). |
| Open with DEXTER | |
| In the text | |
Copyright ESO 2010
Current usage metrics show cumulative count of Article Views (full-text article views including HTML views, PDF and ePub downloads, according to the available data) and Abstracts Views on Vision4Press platform.
Data correspond to usage on the plateform after 2015. The current usage metrics is available 48-96 hours after online publication and is updated daily on week days.
Initial download of the metrics may take a while.
![\begin{figure}
\par\includegraphics[width=15cm,clip]{12574fg2.eps}
\end{figure}](/articles/aa/full_html/2010/13/aa12574-09/Timg19.png)



![\begin{figure}
\par\includegraphics[width=15cm,clip]{12574fg6.eps}
\end{figure}](/articles/aa/full_html/2010/13/aa12574-09/Timg49.png)



![\begin{figure}
\par\includegraphics[width=17cm]{12574fg10.eps}
\end{figure}](/articles/aa/full_html/2010/13/aa12574-09/Timg54.png)







