| Issue |
A&A
Volume 521, October 2010
|
|
|---|---|---|
| Article Number | A67 | |
| Number of page(s) | 11 | |
| Section | Extragalactic astronomy | |
| DOI | https://doi.org/10.1051/0004-6361/200912920 | |
| Published online | 21 October 2010 | |
Relativistic spine jets from Schwarzschild black holes
Application to AGN radio-loud sources
Z. Meliani1,2 - C. Sauty2 - K. Tsinganos3 - E. Trussoni4 - V. Cayatte2
1 - Centrum voor Plasma Astrofysica, Celestijnenlaan 200B bus 2400, 3001 Leuven, Belgium
2 -
Observatoire de Paris, LUTh., 92190 Meudon, France
3 -
IASA and Section of Astrophysics, Astronomy & Mechanics Department
of Physics, University of Athens, Panepistimiopolis 157 84, Zografos, Greece
4 - INAF - Osservatorio Astronomico
di Torino, via Osservatorio 20, 10025 Pino Torinese (TO), Italy
Received 17 July 2009 / Accepted 9 June 2010
Abstract
Context. The two types of Fanaroff-Riley (FR) radio-loud
galaxies, FR I and FR II, exhibit strong jets which have different
properties. These differences may be associated to the central engine
and/or the external medium.
Aims. The AGN classification FR I and FR II can be
linked to the rate of electromagnetic Poynting flux extraction from the
inner corona of the central engine by the jet. The collimation results
from the distribution of the total electromagnetic energy across the
jet, as compared to the corresponding distribution of the thermal and
gravitational energies.
Methods. We use exact solutions of the fully relativistic
magnetohydrodynamical (GRMHD) equations obtained by a nonlinear
separation of the variables to study outflows from a Schwarzschild
black hole corona.
Results. A strong correlation is found between the jet features
and the energetic distribution of the plasma of the inner corona, which
may be related to the efficiency of the magnetic rotator.
Conclusions. It is shown that observations of FR I and
FR II jets may be partially constrained by our model for spine
jets. The deceleration observed in FR I jets may be associated
with a low magnetic efficiency of the central magnetic rotator and an
important thermal confinement by the hot surrounding medium.
Conversely, the strongly collimated and accelerated FR II outflows
may be self-collimated by their own magnetic field because of the high
efficiency of the central magnetic rotator.
Key words: magnetohydrodynamics (MHD) - relativity - galaxies: jets - galaxies: active - acceleration of particles - black hole physics
1 Introduction
According to the standard active galactic nuclei (AGN) paradigm, their radio luminosity is related to powerful relativistic jets (radio-loud AGN), or, to mildly sub-relativistic outflows (radio-quiet AGN). And, by assuming a supermassive black hole (BH) surrounded by an accretion disk/torus, the different AGN phenomenologies observed in both classes are related to the orientation of the axis of the BH/disk system with respect to the line of sight, and the thickness of the torus, which is responsible for the obscuration effects (Urry & Padovani 1995). Typical examples for radio-quiet AGN are the various types of Seyfert I-II galaxies, where uncollimated (or loosely collimated) winds are outflowing from the BH/disk system at a speed of a few thousand km s-1. However, besides their inclination to the line of sight the classification cannot be complete without invoking another key parameter to explain the outflow differences between the various AGN. These differences may be related to galaxy environment effects and/or intrinsic properties of the AGN, as shown in Fig. 1 (see e.g. Kaiser & Alexander 1997; Celotti 2003; Kaiser & Best 2007).
For radio loud objects a fundamental role is played by Doppler boosting,
strongly affecting the luminosity and spectral properties of these
AGN. Indeed, these radio sources are associated with powerful relativistic jets, which reach
at the parsec scale high Lorentz factors
(Kellermann et al. 2004; Urry & Padovani 1995; Piner et al. 2003).
These jets are strongly collimated with opening angles on the order of
![]()
(Pushkarev et al. 2009). In nearby AGN recollimation is inferred from the inner radio jet structure (Horiuchi et al. 2006, for Cen A;
Kovalev et al. 2007, for M 87).
We recall that the main classes of radio loud AGN are Radio Quasars,
Flat Spectrum and Broad Line Radio Galaxies, BL Lacs, Fanaroff Riley I
(FR I) and Fanaroff Riley II (FR II) objects. According to the unified model,
FR I objects are misaligned BL Lacs, while the parent population of FR II are
Radio Quasars, Broad Line Radio Galaxies and the brightest BL Lacs, as sketched in
Fig. 1.
Regarding in particular the FR I and FR II dichotomy, we briefly outline below their
main properties (Fanaroff & Riley 1974):
- -
- in FR II sources the extended radio morphology shows a clear, generally one-sided collimated (within a few degrees) thin jet, terminating into a hot spot and surrounded by diffuse blobs. Conversely, in FR I sources the collimated symmetric jets smoothly merge into the extended emitting regions;
- -
- FR II jets look highly relativistic and narrow along their whole length (tens of kpc). FR I jets are conversely relativistic only on pc scales (Bridle 1982), becoming subrelativistic and diffuse on kpc scales (Giovannini et al. 2005). However, in some FR I sources the structure of the jet in the kiloparsec scale appears more complicated, with an inner spine that remains relativistic and an outer shell that decelerates and becomes sub-relativistic (Canvin et al. 2005);
- -
- FR II sources are more powerful than the FR I ones, with a threshold power
1025 W Hz-1 sr-1 increasing with the radio galaxy luminosity (Ledlow & Owen 1996);
- -
- FR II are usually found in poor gas environments, with jets probably collimated by their helical magnetic fields (Hardcastle & Worrall 2000; Zavala & Taylor 2005; Asada et al. 2002) and slightly interacting with the external gas. Rich environments harbor mostly FR I sources and their jets, thermally confined (at least partially) and appearing to strongly interact with the intracluster medium (Kaiser & Alexander 1997; Gabuzda 2003; Laing et al. 1999). The measured transverse magnetic field suggests the presence of internal shocks where the tangled magnetic field is compressed (Gabuzda et al. 1994; Gómez et al. 2008). Those shocks could be the result of the thermal collimation of the jet. Below, we briefly discuss numerical versus analytical modeling of multicomponent jets.
|
Figure 1: Standard classification of AGN sources following Urry & Padovani (1995). The horizontal axis represents the inclination of the source axis with the line of sight. The vertical axis we suggest that it may be linked to the efficiency of the underlying magnetic rotator to collimate the flow. |
| Open with DEXTER | |
Similarly to jets from young stellar objects, hereafter YSO (Ferreira et al. 2006), AGN jets probably have at least two components (Sol et al. 1989; Tsinganos & Bogovalov 2002), one originating in the surrounding Keplerian disk (Baum et al. 1995; Meier 2002; Begelman & Celotti 2004) and the other in the inner corona that surrounds the central black hole. This corona can be created by the ``CEntrifugal pressure supported Boundary Layer'' model (CENBOL) (Das & Chakrabarti 2002). The corona can also be created by the mechanism presented in Kazanas & Elison (1986). A third possibility to produce such a corona with pair plasma is the Blandford & Znajek (1977) model where the jet is powered by the spinning black hole. However, observations indicate that the jet should have both hadronic and leptonic components as explained in two-component models (Henry & Pelletier 1991; Fabian & Rees 1995).
The MHD equations can be solved through numerical simulations, which describe the evolution of the jet configuration. The availability of more and more powerful computing facilities and sophisticated numerical codes allows a quite complete description and understanding of the jet acceleration/collimation (Komissarov et al. 2007; Porth & Fendt 2010) and the accretion/ejection process (Gracia et al. 2009; McKinney & Blandford 2009; McKinney 2006; Koide et al. 1999,1998; Gracia et al. 2006). Recent numerical simulations have progressed to general relativistic magnetohydrodynamic (GRMHD) jet launching, as in McKinney (2006) and Hardee et al. (2007), also suggesting the formation of jets with two components. However, computational limits do not yet allow to follow simulations for very long times and reach exact stationary configurations. Simulations also fail at analyzing structures with very different scale lengths.
Nevertheless, tremendous progress in understanding the physics of relativistic jet acceleration/deceleration - and therefore the FR I/FR II dichotomy - has been made thanks to numerical simulations of jet propagation in the asymptotic regions. Some authors investigated the relativistic hydrodynamic jet propagation through the interstellar medium (Aloy et al. 1999; Rossi et al. 2008; Duncan & Hughes 1994; Martí et al. 1997; Komissarov & Falle 1998). They show that the different dynamics of FR I and FR II jets may be a consequence of the jet power. Many groups had also investigated the two-dimensional relativistic magnetized jet propagation in an external medium (Komissarov 1999; Leismann et al. 2005; Keppens et al. 2008; van Putten 1996) and 3D (e.g. Mizuno et al. 2007; Mignone et al. 2009). They showed that the interaction between the jet and the external medium depend on the magnetization of the jet and the density ratio between the jet and the external medium. The role of the environment may be crucial in HYbrid MOrphology Radio Sources (HYMORS), as shown by Gopal-Krishna & Wiita (2000, 2002). These radio sources appear to have a FR II type on one side and a FR I type diffuse radio lobe on the other side of the active nucleus. This last model for HYMORS has been recently confirmed by numerical simulations of two component jets (Meliani et al. 2008). Another alternative to the FR I/FR II dichotomy could come from the nature of the instabilities that develop in the jet, or at the jet interface with the external medium, or with another surrounding outflow component (Keppens et al. 2008). This is consistent with the fact that hydrodynamical jets with high Lorentz factors are more stable (Martí et al. 1997). Poloidal magnetic fields also help to stabilize the jet (Keppens et al. 2008). About the last possibility note that simulations by Meliani & Keppens (2009) confirm that the deceleration in FR I jets could be attributed to a strong Rayleigh-Taylor instability between the spine jet and the surrounding component, which supports a two component jet structure.
Parallel to the development of time-dependent simulations, steady jet solutions in GRMHD were first obtained numerically by solving the transfield equation in the force-free limit (Camenzind 1986). This study has been further developed in GRMHD by using first a Schwarzschild metric and then extending it to a Kerr metric (Fendt 1997). Yet this method cannot consistently incorporate the mass loading of the jet.
Exact models for disk winds can be constructed via a nonlinear separation of the governing MHD equations. This technique of radial self-similarity has been extensively explored in the context of stellar and relativistic jets by various authors (Ferreira 1997; Blandford & Payne 1982; Vlahakis & Königl 2004; Contopoulos 1994; Bardeen & Berger 1978; Li et al 1992).
Table 1:
The asymptotic jet speed in units of the escape speed from
the base of the corona, for various values
of the parameters
and
.
Meridional self-similarity is another way to assume a variable separation, which is used to produce models of pressure-driven winds (Meliani et al. 2006a). It is also complementary to magnetically driven disk winds. These models may describe the inner spine jet from the central object necessary to sustain the outer disk wind, but where the radial self-similar models fail by construction. In this paper, we use these solutions and show that the collimation criterion developed in the frame of this model can help understand how the FR I/FR II dichotomy may influence the morphology of the inner spine jets. As a back reaction, the spine jet dynamics influences the outer jet, which was demonstrated in numerical simulations (Meliani et al. 2006b; Fendt 2009), even if the central jet is energetically very weak (Matsakos et al. 2009).
In Sect. 2 we briefly recall the main assumptions of the model. In Sect. 3 we summarize the details of the standard AGN jet classification and how it helps to constrain the parameters. In Sect. 4 we present an interesting solution for a FR I-type spine jet and in Sect. 5 another one for jets associated with FR II objects. In Sect. 6 we discuss and summarize the main implications of our model.
2 Model assumptions
2.1 The self-similar model
We use the ideal GRMHD equations in the background spacetime of a Schwarzschild black hole, and neglect the effects of self-gravity of matter outside the black hole. The spacetime curvature at a distance r from the black hole is given by the lapse function
|
(1) |
where
Following Meliani et al. (2006a), all physical quantities are normalized
at the Alfvén radius
along the polar axis where the meridional
angle is zero (
). We define a dimensionless spherical radius
,
cylindrical radius G, and magnetic flux function
,
|
(2) |
To describe the GRMHD outflow of the coronal plasma, we use the relativistic meridionally self-similar solutions presented in Meliani et al. (2006a). The specific enthalpy, and density in the lab frame together with the pressure, velocity and magnetic field are given in terms of functions of the radial distance R
where
|
(12) |
The free parameters
Thus, all physical quantities are determined in terms of constant parameters,
These three unknown functions
The light cylinder is defined by the function
becoming
unity, where
is the angular
speed, L the total angular momentum per unit mass and E the generalized Bernoulli
integral. It is a measure of the energy flux of the magnetic rotator in units
of the total energy flux. The s-s description is possible only if the jet is rotating at
subrelativistic speeds. In such conditions x must remain small and therefore
the light cylinder effects have to be negligible for our solution to be valid.
In this setup of the relativistic MHD problem an extra
parameters exists
,
which is constant everywhere
(Meliani et al. 2006a)
This is the relativistic generalization for a Schwarzschild black hole of the classical constant found in Sauty et al. (2004) which measures the magnetic energy excess or deficit on a nonpolar streamline, compared to the polar one. To first order,
3 New interpretation of the Fanaroff-Riley classification
We propose here to examine the vertical classification in
Fig. 1 by means of our parameter
,
or less ambitiously, to interpret how the various observations we have
on FR I and FR II jets may influence the formation of the inner spine
jet component. As in the non-relativistic
case (Sauty et al. 1999), this parameter
allows us to classify jets according to the
efficiency of the central magnetic rotator. Jets emerging from efficient central magnetic
rotators,
,
collimate cylindrically without
oscillations in the asymptotic region. In this type of jets, the
velocity increases monotonically to reach its asymptotical maximum value. Conversely, jets associated
with inefficient central magnetic rotators,
,
are collimated mainly by the
pressure of the external medium. Thus, this type of jets strongly
interacts with the ambient medium, and this induces oscillations in
their shape at the asymptotic region. The jet speed increases
and oscillates. The plasma in those jets is
accelerated until an intermediate region where the speed reaches its
maximum value.
Then, the acceleration of the jet stops in this region. Further away in
the recollimation region
the outflow slows down. Note that such jet oscillations could finally
lead to a more turbulent outflow
consistently with the numerical simulations of two-component jets we
mentioned
in introduction. After the recollimating region we cannot exclude the
presence of shocks or instabilities. Thus it is difficult to know if
the oscillations that appeared in the solutions would be observable or
not.
In summary, we propose that a difference between these two types of
spine jets associated with FR I and FR II radio galaxies may result
from the competition between the magnetic and thermal confining mechanisms.
Magnetic pinching and pressure gradient tend
to compensate the transverse expansion of the jet because of the
centrifugal force and the charge separation, which also induces an
outward electric force. These two expanding forces are
characterized by the free parameter
,
which
measures the quantity of the angular momentum
carried along the streamlines. The magnetic collimation is controlled by
the parameter
(see Sauty et al. 1999). On the other hand,
thermal collimation is controlled by the parameter
,
which
defines the transverse variation of the pressure.
Hence, an appropriate way to classify the different jet solutions
according to the nature of their collimation is based on the two
free parameters
and
(Sauty et al. 2004,2002,1999). The higher the value
of those parameters, the stronger is the collimation and the lower
is their terminal speed. This can be seen in Table 1 where
we plot the asymptotic jet speed
in units of the escape speed from the base of the corona for various solutions. As the
efficiency of collimation increases, the efficiency of the
acceleration decreases. In other words, tightly collimated jets
(larger values of
,
or,
)
have lower terminal speeds.
Thus the strong interaction with the external medium would naturally result
into a decelerated flow even if it remains stable. Equally, a denser jet would radiate more
on a large scale before the terminal shock with the ambient medium.
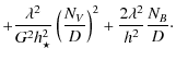
Table 1 also shows that jets from inefficient magnetic rotators are more powerful in transforming thermal energy into kinetic energy than those from efficient magnetic rotators. There are two reasons for this.
First, the centrifugal force
at the base of the jet is important in EMR flows. Then, the last stable orbit of the
plasma gets closer to the central black hole. Therefore, the corona extends
closer to the black hole horizon.
Thus, if the
available total amount of thermal energy is the same in the corona, the
plasma gravitational potential increases. Consequently, in EMR as
increases, more thermal energy is tapped
in order to allow for the plasma to escape and less is left for accelerating
it.
Second (see Fig. 2), an increase in the
magnetic rotator efficiency limits the initial expansion of the
outflow. The pinching magnetic force gets stronger after the
Alfvén surface and the conversion of thermal energy into kinetic
energy stops when the jet reaches its asymptotic cylindrical shape.
This decrease of the jet asymptotic speed with the increase of the
magnetic rotator efficiency may seem contradictory with the usual picture.
However, in axial outflows the contribution of the Poynting flux to
the total acceleration remains weak. This is of course different
from relativistic disk wind models, where the acceleration is
dominated by the conversion of the Poynting flux to the kinetic energy flux
(Vlahakis & Königl 2004; Contopoulos 1994; Li et al 1992). Those jets are characterized by a strong
inclination of the magnetic field lines and the rotation at the base
of the outflow is almost Keplerian.
Note also that, as expected, the efficiency of the acceleration
increases as well with the degree of expansion, i.e., as
decreases.
|
Figure 2:
In a) we plot the Alfvén number M2 and in b) the cylindrical jet
cross section G2 as functions of the distance for
|
| Open with DEXTER | |
3.1 Estimation of the free parameters
In the sections below, we mainly explore two examples of typical solutions for relativistic jets. One is associated with an IMR so that the contribution of the external pressure is comparable to the magnetic one, while the second is associated to an EMR so that the jet is magnetically self-collimated. In order to find these solutions we first make an estimation of the free parameters of the model using our knowledge of the properties of FR I and FR II jets, in particular in the launching region on one hand and in the far asymptotic region on the other hand.
At the base of the outflow, we assume that the corona starts at the radial distance of the last stable orbit, that is around the radius of the Schwarzschild black hole, as discussed below. We consider that the last open streamlines, which emerge from the corona should be in sub-Keplerian rotation if they are anchored in the thick disk surrounding the central black hole. The last open streamline in the coronal jet is the one that crosses the equatorial plane at the edge of the magnetic dead zone, which we assume to have a dipolar configuration.
We also use some observational constraints in the asymptotic
region of the jet. The opening angle of the jet has to be a few degrees.
Six degrees is the value inferred
for the well measured jet of M 87 (Biretta et al. 2002;
Kovalev et al. 2007). We guess that the spine jet
opening angle is even smaller and we took a value of ![]()
at 1 pc.
Then, from the expression of the dimensionless magnetic
flux
,
by knowing the last streamline,
we can deduce the asymptotic value of
:
where
We know that the asymptotic Lorentz factors should be
between
3 and 10 (see Piner et al. 2003). From the expression of the asymptotic
velocity along the polar axis (Eq. (6)) we can
deduce the value of the free parameter
from Eq. (13),
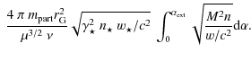
We used on purpose a rather lower limit for the Lorentz factor in order to avoid high effective temperatures in our model. Indeed, we can use the same solutions and upscale them to obtain higher Lorentz factors, but then the effective temperature would attain extremely high values above the mass temperature. However, the corresponding high pressure could receive a large contribution from a turbulent magnetic or ram pressure component in the jet (see Aibéo et al. 2007, for the solar wind). In that case the kinetic temperature would be lower. Nevertheless, as far as the collimation is concerned, this does not qualitatively affect our discussion about the dichotomy between FR I and FR II, and we kept this relatively low Lorentz factor.
We also used the observed mass-loss rate in the outflow to constrain
the free parameter
.
However, the spine jet probably carries only a small
fraction of the observed energy flux in AGN jets,
(Allen et al. 2006)
The energy flux of the coronal wind
remains weak compared to the total mass carried by the disk-wind
which is supposedly denser (Vlahakis & Konigl 2004), a situation similar to stellar jets
associated with YSOs (Meliani et al. 2006b).
Then
is deduced from the assumed value for the mass-loss rate,
| |
= | ||
| = |
|
(18) |
We get an equation for
,
where C is another constant given by,
The variable
For the mass-loss rate we choose
,
where
is the Eddington mass-loss rate. It
corresponds to the value found for the
relativistic Parker wind (Meliani et al. 2004). The asymptotic density is taken equal to
cm-3 (Meliani et al. 2004), with n0a dimensionless free parameter.
We suppose that the rotation is sub-Keplerian on the last open
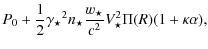
streamline of the jet at the equator. The parameter
measures the deviation of the rotation function
from its Keplerian value,
From the definition of
| |
= |
|
|
| = |
|
(22) |
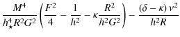
As we mentioned earlier we assume that the corona forms above the last stable orbit at r0 = 3 rG. We choose a typical magnetic lever arm (i.e. Alfvén radius) of 10 times the Schwarzschild radius,
The parameter
|
(24) |
To summarize, our free parameter estimates are:
- 1.
- the Alfvén radius
(25) - 2.
- the jet opening angle at
pc is
,
which gives
the asymptotic value of
for the last streamline
;
- 3.
- for the asymptotic Alfvén number we chose
;
- 4.
- the asymptotic Lorentz factor is taken to be
;
- 5.
- the asymptotic density is taken
equal to
cm-3;
- 6.
- the new parameter
,
which measures how sub-Keplerian the velocity is (the values
differ from solution to solution);
- 7.
- the corona is supposed to be formed above the last stable orbit,
,
which gives
.
Before going further into our modeling of FR I and FR II jets, we need to introduce the notion of effective temperature.
3.2 Temperature
In polytropic relativistic winds (Meliani et al. 2004), the
temperature is usually defined by the ideal gas equation of state
P/n = kB T. Therefore, the knowledge of the specific pressure
P/n, the specific thermal energy
and the density completely
describe the thermodynamics of the fluid (temperature T, enthalpy w and pressure P). However, as discussed in
Meliani et al. (2004), flows cannot be adiabatic. The
polytropic approximation is just a convenient way to mimic
the heating that is ongoing in the flow. Therefore pressure, temperature
and enthalpy are not the actual values but effective quantities that
hide the necessary extra heating.
The temperature definition in meridional self-similar models is
similarly delicate. Indeed, as indicated in
STT99 and Meliani et al. (2006a)
the total gas pressure is
not necessarily limited to be the kinetic pressure. Moreover, the
generalized specific thermal energy of the model,
,
is not
restricted to the thermal energy. In self-similar model these two
quantities are also effective quantities. They account for different
physical processes of energy and momentum transport and dissipation.
They can include the contribution of magnetohydrodynamic waves and
viscous and/or radiative mechanisms. Actually, the
complexity and variety of MHD processes that can contribute to the
internal energy of a magnetized fluid makes the definition of the
real thermal energy impossible.
Therefore the quantities
and
are simply the specific effective temperature and
thermal energy imposed by the dynamics of the outflow. They do not
necessarily represent the kinetic temperature or the thermal
energy. Instead they are simple tools to analyze the energetics of
the flow. Below, we discuss the thermodynamical properties of the
fluid with this effective temperature and not the kinetic
temperature, which we cannot calculate.
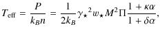
Thus along the polar axis, the specific thermal energy is deduced from the Bernoulli equation as follows
We also define
where
4 Application I - Model of FR I spine jets
4.1 Parameters
The first solution we show here is adapted to model the spine jet of radio-loud galaxies of the FR I type. The environment of these jets, i.e. the host galaxy, is known to be rich and to contain dense gas. Moreover, the properties of the FR I jets on the pc scale are quite different from that on kpc scales. Indeed, in the region close to the nucleus (on the scale of a pc), FR I jets are accelerated to highly relativistic speeds.
Beyond this region, the jets interact with the external medium, which
is denser. This interaction induces an observed deceleration of the
jet. Thus, we assume that the outflow is likely confined by the
pressure of the ambient medium, at least partially. In our model,
these types of jets correspond to solutions associated with inefficient
central magnetic rotators. In this solution
,
which gives an
inefficient magnetic rotator.
The solution corresponds to parameters
| |
= | 0.1 , | |
| = | 0.69 , | ||
| = | 0.85 , | ||
| = | 1.45 , | ||
| = | 0.42 , | ||
| = | -0.8475 . | (30) |
4.2 Morphology of the FR I-type jet
As seen in Fig. 3, the jet solution shows an initial expansion up to a distance of 100Schwarzschild radii, which then stops, after which the jet recollimates. The expansion of the jet is due to the strong initial inertia of the plasma carried along the external streamlines. The jet becomes collimated once it interacts with the ``external'' ambient medium that compresses it. What we call ``external'' medium refers to the gas surrounding the last valid streamline of the solution; this can be the actual external medium of the host galaxy, but considering the transverse expansion of the solution, it more likely corresponds to the over-pressured gas of the surrounding disk wind.
|
Figure 3:
Plot of the morphology of the solution corresponding
to a FR I-type spine jet. In a) the projection of the
streamlines on the poloidal plane is shown. The solid lines in the center correspond to
lines where the conditions
xA2 G2<10-2 and
|
| Open with DEXTER | |
The jet compression for inefficient magnetic rotators
generates strong oscillations in the asymptotic region of the jet
even in the relativistic case (Meliani et al. 2006a). The light
cylinder of this jet solution is at infinity. These oscillations
result from a transfer of energy between the enthalpy and the Lorentz factor because
remains constant to first order with respect to
.
|
Figure 4:
In a) we plot the energetic fluxes normalized to the mass
energy of the first solution for a ``FR I-type''' spine jet. In b) we plot for the same solution, the Lorentz factor |
| Open with DEXTER | |
4.3 FR I-type jet kinematics
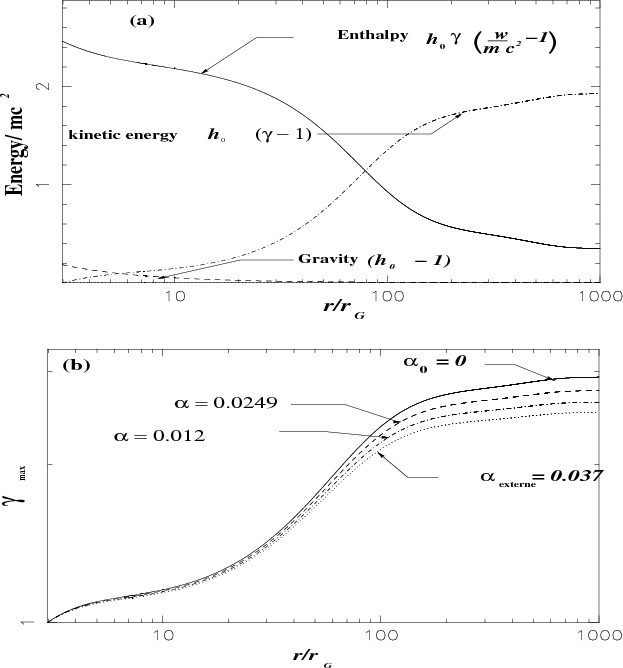
The jet acceleration occurs mainly in the intermediate region (Fig. 4b) where gravity becomes weak. Thus, all the enthalpy still remaining in the outflow is converted to kinetic energy.
The maximum Lorentz factor in this solution (
)
is obtained at the largest
expansion of the jet radius, where the effective temperatures are already ultra relativistic (
1013 K).
To explain this high effective temperature,
part of the pressure must be of non-kinetic origin, with contribution from
turbulent ram and magnetic pressure, as we discussed in Sect. 3.1. Thus this value
of
is close to the lower observed ones,
but already corresponds to a highly turbulent medium. The model can produce higher
Lorentz factors provided the turbulent pressure level is sufficient. This is
not the main topic of the qualitative discussion we address on the collimation
of the jet itself.
In the region of
re-collimation, the increase of the pressure induces a deceleration
of the jet. The Lorentz factor decreases from
,
its
maximum value before the re-collimation, to
in
the
asymptotic region. As a matter of fact such a deceleration is a
characteristic of FR I jets, as we mentioned. It is
remarkable that
this solution clearly shows that the main effect of the
re-collimation by some external pressure is a global deceleration of
the outflow, as observed in FR I jets. The distance of
recollimation
in this solution is smaller however than the usual parsec scale.
This may be because we are dealing here only with the inner
part of the jet, while observations may correspond to the surrounding
disk-wind,
or it can be because our Lorentz factor is too low.
Moreover, we assume here that the external pressure of the host galaxy
is somehow transmitted to the disk-wind, which in turn confines the
spine jet. Keeping in mind these necessary precautions, this result by
itself seems interesting, if we take into account the simplicity of our
model.
4.4 FR I-type jet energetics
The temperature profile is characterized by four different regimes.
The three first are the same as for the ``FR II'' jet solution, and we
shall discuss it below. The fourth one corresponds to the asymptotic
recollimated region of the ``FR I'' jet. There, the effective
temperature reaches the high value of
,
because of the strong compression of the outflow by
the external medium (Fig. 5b).
This effective temperature is high compared to the observed
temperature in AGN jets that are usually on the order of
.
This large difference can be explained however by
some increase of the contribution of non-thermal mechanisms to the
effective specific thermal energy
.
As we mentioned before,
we cannot directly compare this effective temperature with the
kinetic temperature in the frame of this model.
5 Application II - model for FR II spine jets
5.1 Parameters
Conversely to the case of FR I, the environment of FR II
radio-loud galaxies is relatively poor. Thus, jets from FR II
galaxies should interact only slightly with the ambient medium. In
these outflows, the velocity increases continuously until the
asymptotic region. Indeed, unlike FR I outflows, the velocity in
FR II jets is relativistic both on the parsec and kilo-parsec
scales. Besides, FR II jets are so well collimated on large scales
that they are very likely to have an asymptotic cylindrical shape.
In our model these types of jets correspond to a solution
associated with an efficient central magnetic rotator. Therefore, the value
of the free parameter
is probably lower, i.e. the rotation
is closer to Keplerian velocity than for the solution for FR I.
This increases the available Poynting flux at the base of the jet. Therefore, the jet will be
collimated by the toroidal magnetic pinching without any oscillations.
The parameters for this specific solution are:
| |
= | 0.1 , | |
| = | 0.65 , | ||
| = | 1.051 , | ||
| = | 1.35 , | (31) | |
| = | 0.3 , | ||
| = | 0.334 . |
This is an efficient magnetic rotator. It corresponds to a slightly lower value of
|
Figure 5:
In a) we plot the temperature profile and in b) the
density profile for the FR I-type jet solution. The density is normalized
to n0 so that the mass-loss rate is
|
| Open with DEXTER | |
This FR II-type jet solution is characterized by a continuous expansion up to a distance of about 100 Alfvén radii again, but the outflow after this distance remains cylindrical, slightly expanding further out. This expansion is related to the high magnetic pressure at the base, together with the strong gravity, in addition to some non negligible contribution of the force of charge separation. However, the collimation of the jet in the asymptotic region is exclusively of magnetic origin. It is induced by the toroidal magnetic pinching force and the transverse magnetic pressure. These two forces balance the centrifugal and charge separation forces. Oscillations in the jet are very weak because to the relatively small contribution of the thermal confinement, as expected.
The opening angle of the last open streamline of the solution at a
distance of one parsec is only
,
which is rather narrow
compared to our initial guess. This definitely rules out the
possibility
to describe the whole jet completely with this model. Instead,
we prefer to see it as the spine or inner part of the jet that carries
away the angular momentum of the central black hole. The situation is
similar to what happens in YSOs
where the stellar
jet is responsible for the spinning down of the protostar, while the outer
disk wind is responsible for the observed mass-loss.
5.2 FR II-type jet kinematics
The acceleration of this solution is continuous. First, there is a small but effective thermal acceleration in the lower region of the corona. In this region, the high thermal energy both accelerates the fluid up to 0.4c at a distance of 6 rG and enables it to escape from the deep gravitational potential. A second stronger thermal acceleration of the jet occurs beyond the Alfvén surface up to the collimation region. In this region, the pressure drops rapidly and asymptotically goes to negligible values. Therefore, the thermal energy is transformed into kinetic energy more effectively. In this intermediate regime the velocity in the flow increases from 0.4c to 0.92c on a scale on the order of 200 rG.
5.3 The light cylinder of the FR II-type solution
The light cylinder in the asymptotic region of the jet (Fig. 6) is roughly vertical and asymptotically parallel to the poloidal streamlines, which remain inside the light cylinder. However, in this solution conversely to the previous one, the light cylinder is not at infinity but at a distance of about 20 rG from the polar axis. This reduces the validity domain of the solution around its axis (cf. Meliani et al. 2006a) where the effects of the light cylinder can be neglected. Indeed self-similar disk-wind models can produce solutions crossing the light cylinder (Vlahakis & Königl 2003a,b). These solutions undergo a strong magnetic acceleration ideal to obtain high Lorentz factors in GRBs for instance. This is of course not necessarily the case for the spine jet, which can be accelerated by other means than the magnetocentrifugal process.
|
Figure 6: The same as in Fig. 3 for the second solution corresponding to a FR II-type spine jet. |
| Open with DEXTER | |
|
Figure 7:
In a) we plot the energetic fluxes normalized to the mass
energy of the second solution for a ``FR II-type'' spine jet. In b) we
plot for the same solution, the Lorentz factor |
| Open with DEXTER | |
|
Figure 8:
In a) we
plot the temperature profile and in b) the density profile for the
FR II-type jet solution. On the left the vertical lines delimitate
the various domains of the temperature profile. On the right the
density is normalized to n0 such that the
mass-loss rate is
|
| Open with DEXTER | |
5.4 FR II-type jet energetics
The effective temperature profile of this second solution goes through four different regimes.
First, in the lower corona, the effective temperature increases
extremely rapidly (Fig. 8a) from
about
at the base to about
.
This
increase is
due to some strong initial heating in the expanding corona. The large
expansion induces a strong decrease of the density, but because of the
heating, the pressure decreases less rapidly.
Second, in the intermediate region, the effective temperature still
increases up to its maximum value of about
after a
relatively small decrease, because of the global expansion and drop
of the density.
Third, we have a transition region after the maximum and the
asymptotic part. The effective temperature decreases again to attain values around
.
This decrease is induced by the magnetic
compression of the jet that brakes the density decreasing (Fig. 8b).
The effective temperature obtained in this solution is of course
high compared to observed temperatures in AGN jets, which are
typically on the order of
in the asymptotic
regions. As for FR I this
indicates that the contribution of non-thermal
energies to the acceleration and the heat of the jet are relevant.
6 Conclusions
We have applied exact GRMHD solutions from Meliani et al. (2006a) to the canonical classification of AGN jets (Urry & Padovani 1995) according to their morphology. Our model is constructed in the frame of general relativity using the metric of a central Schwarzschild black hole. It validates the classification of AGN proposed in Sauty et al. (2001) where the classical MHD solutions were used with some additional features due to relativistic effects. In this study it was proposed that the inner regions of jets (spines) are collimated by an external denser medium in FR I and by the force of magnetic pinching in FR II.
We first proposed a method to estimate the free parameters of
the model from the known properties of AGN jets. In particular, the
departure from Keplerian rotation at the footpoints of the fieldlines is measured by
an extra parameter
.
It turns out that we get very different
classes of solutions by slightly changing this parameter.
First we obtained a
recollimating solution for
.
On a small spatial scale the outflow expands and
the Lorentz factor reaches a maximum of
in the
intermediate region.
This Lorentz factor is obviously smaller by a factor of 2 to 3 than the
observed values. We could rescale the whole solution to attain higher
Lorentz factors, but at the prize of high temperature in the jet.
Similarly to the Solar wind this would require extra sources to account for the heating.
However, we were mostly interested in describing the general features
of the solution and tried to explain the dichotomy between FR I and FR II jets rather than
model specific observed jets.
Then the solution obtained for a typical FR I jet recollimates, undergoes
several oscillations, and decelerates to a Lorentz factor of
in
the asymptotic region. This decrease is related to
thermal compression of the jet in the asymptotic region by the outer
medium. We insist that this recollimation occurs on a
scale smaller than one parsec and that the external pressure is
certainly the pressure of the surrounding disk wind rather than the
external gas from the host galaxy. However, if we assume that
the extra pressure of the host galaxy can enhance the pressure
in the
disk wind, it is striking to note that our simple toy model for the
spine jet shows a typical feature of FR I jets. Indeed FR I
jets sometimes show
a deceleration on the kiloparsec scale to non-relativistic
speeds though they are usually highly relativistic on
smaller scales. Besides this they are also known to have a rich
ambient medium, and the external gas pressure is important, as
seen in the X-ray (Capetti et al. 2002). Finally, that the FR I
jet radius is larger on the kiloparsec scale can be due precisely to
this recollimation effect, which enhances the density in a way that
probably a larger part of the radio jet is emitted than suggested in
the double component jet of Sol et al. (1989).
For the FR II jets, the optimal value found is
,
which also gives a maximum Lorentz factor of
.
That
changes very little when we pass from the
``FR I''-type solution to the ``FR II''-type shows that the outflow
properties are highly sensitive to the rotation velocity of the
corona. The solution obtained is however very different because the gas
expands monotonically and remains highly relativistic up to large
distances, as observed in FR II jets. Moreover it is self-collimated
by its own magnetic field throughout the length of the jet, something that is again
characteristic of FR II jets, wherein there is evidence that the host
galaxy gas is rather underdense.
On the other hand, that in these two cases
is slightly
smaller than 1 shows that the central launching region of the
spine jet has to be slightly sub-Keplerian.
We did not discuss Seyfert
galaxies, which are known to have outflows, though their winds are
not very well collimated and are not relativistic with velocities of
the order on 30 000 km s-1, as observed by the HST. Again, these flows can
be understood in the frame of this simple self-similar model as non-collimated
solutions, which are radial and exist only if the velocity
does not reach relativistic values (Meliani et al. 2006a). These
solutions are obtained if the magnetic rotator efficiency is very
low, i.e. for
very negative, in a way similar to the
solar wind.
To summarize, we may conclude that using a simple toy model for spine jets, the usual classification of radio sources can be understood on one hand by projection effects and Doppler boosting and on the other by considering the efficiency of the central magnetic rotator. Of course this does not exclude any of the other explanations such as the role of the external confinement or shear instabilities. Indeed our FR I-type solution is at least partially confined by the disk wind, which may be a signature of external pressure confinement as well. This idea needs to be further explored with more sophisticated models or simulations combining the central coronal jet with an external disk wind, something worth to pursue in another study.
The next step we consider is the extension of the model to the Kerr metric. This is a unique chance to construct the first analytical models for a jet around a rotating black hole. One issue of this extension is to test the Blandford-Znajek mechanism (Blandford & Znajek 1977).
AcknowledgementsZ. Meliani acknowledges financial support from the FWO, grant G.027708. The authors thank Nektarios Vlahakis for helpful discussions and suggestions.
References
- Aibeo, A., Lima, J. J. G., & Sauty, C. 2007, A&A, 461, 685 [NASA ADS] [CrossRef] [EDP Sciences] [Google Scholar]
- Allen, S. W., Dunn, R. J. H., Fabian, A. C., Taylor, G. B., & Reynolds, C. S. 2006, MNRAS, 372, 21 [NASA ADS] [CrossRef] [Google Scholar]
- Aloy, M. A., Ibáñez, J. M., Martí, J. M., & Müller, E. 1999, ApJS, 122, 151 [NASA ADS] [CrossRef] [Google Scholar]
- Asada, K., Inoue, M., Uchida, Y., et al. 2002, PASJ, 54, L39 [NASA ADS] [Google Scholar]
- Bardeen, J. M., & Berger, B. K. 1978, ApJ, 221, 105 [NASA ADS] [CrossRef] [Google Scholar]
- Baum, S. A., Zirbel, E. L., & O'Dea, C. P. 1995, ApJ, 451, 88 [NASA ADS] [CrossRef] [Google Scholar]
- Bicknell, G. V. 1995, ApJS, 101, 29 [NASA ADS] [CrossRef] [Google Scholar]
- Biretta, J., Junor, W., & Livio, M. 2002, New Astron. Rev., 46, 239 [NASA ADS] [CrossRef] [Google Scholar]
- Begelman, M. C., & Celotti, A. 2004, MNRAS, 352, L45 [NASA ADS] [CrossRef] [Google Scholar]
- Blandford, R. D., & Payne, D. G. 1982, MNRAS, 199, 883 [NASA ADS] [CrossRef] [Google Scholar]
- Blandford, R. D., & Znajek, R. L. 1977, MNRAS, 179, 433 [NASA ADS] [CrossRef] [Google Scholar]
- Bridle, A. H. 1992, Testing the AGN paradigm, AIP Conf. Proc., 254, 386 [Google Scholar]
- Camenzind, M. 1986, A&A, 156, 137 [NASA ADS] [Google Scholar]
- Canvin, J. R., Laing, R. A., Bridle, A. H., & Cotton, W. D. 2005, MNRAS, 363, 1223 [NASA ADS] [CrossRef] [Google Scholar]
- Capetti, A., Trussoni, E., Celotti, A., et al. 2002, New Astron. Rev., 46, 335 [NASA ADS] [CrossRef] [Google Scholar]
- Celotti, A. 2003, Ap&SS, 288, 175 [NASA ADS] [CrossRef] [Google Scholar]
- Contopoulos, J. 1994, ApJ, 432, 508 [NASA ADS] [CrossRef] [Google Scholar]
- Das, S., & Chakrabarti, K. 2002, JApA, 23, 143 [NASA ADS] [Google Scholar]
- De Young, D. S. 1993, ApJ, 405, L13 [NASA ADS] [CrossRef] [Google Scholar]
- Duncan, C., & Hughes, P. 1994, ApJ, 436, 119 [Google Scholar]
- Fabian, A. C., & Rees, M. J. 1995, MNRAS, 277, L55 [NASA ADS] [Google Scholar]
- Fanaroff, B. L., & Riley, J. M. 1974, MNRAS, 167, 31 [NASA ADS] [CrossRef] [Google Scholar]
- Fendt, C. 1997, A&A, 319, 1025 [NASA ADS] [Google Scholar]
- Fendt, C. 2009, ApJ, 692, 346 [NASA ADS] [CrossRef] [Google Scholar]
- Ferreira, J. 1997, A&A, 319, 340 [NASA ADS] [Google Scholar]
- Ferreira, J., Dougados, C., & Cabrit, S. 2006, A&A, 453, 785 [NASA ADS] [CrossRef] [EDP Sciences] [Google Scholar]
- Gabuzda, D. C. 2003, Ap&SS, 288, 39 [NASA ADS] [CrossRef] [Google Scholar]
- Gabuzda, D. C., Mullan, C., Cawthorne, T. V., et al. 1994, ApJ, 435, 140 [NASA ADS] [CrossRef] [Google Scholar]
- Giovannini, G., Taylor, G. B., Feretti, L., et al. 2005, ApJ, 618, 635 [NASA ADS] [CrossRef] [Google Scholar]
- Gómez, J. L., Marscher, A. P., Jorstad, S. G., Agudo, I., & Roca-Sogorb, M. 2008, ApJ, 681, L69 [NASA ADS] [CrossRef] [Google Scholar]
- Gopal-Krishna, & Wiita, P. J. 2000, A&A, 363, 507 [NASA ADS] [Google Scholar]
- Gopal-Krishna, & Wiita, P. J. 2002, New Astr. Rev., 46, 357 [Google Scholar]
- Gracia, J., Vlahakis, N., Tsinganos, K. 2006, MNRAS, 367, 201 [NASA ADS] [CrossRef] [Google Scholar]
- Gracia, J., Vlahakis, N., Agudo, I., Tsinganos, K., & Bogovalov, S. V. 2009, ApJ, 695, 503 [NASA ADS] [CrossRef] [Google Scholar]
- Hardcastle, M. J., & Worrall, D. M. 2000, MNRAS, 319, 562 [NASA ADS] [CrossRef] [Google Scholar]
- Hardee, P., Mizuno, Y., & Nishikawa K.-I. 2007, Ap&SS, 311, 281 [NASA ADS] [CrossRef] [Google Scholar]
- Henri, G., & Pelletier, G. 1991, ApJ, 383, L7 [NASA ADS] [CrossRef] [Google Scholar]
- Horiuchi, S., Meier, D. L., Preston, R. A., & Tingay S. J. 2006, PASJ, 58, 211 [NASA ADS] [Google Scholar]
- Kaiser, C., & Alexander, P. 1997, MNRAS, 286, 215 [NASA ADS] [CrossRef] [Google Scholar]
- Kaiser, C., & Best, P. 2007, MNRAS, 381, 1548 [NASA ADS] [CrossRef] [Google Scholar]
- Kazanas, D., & Elison, D. C. 1986, ApJ, 304, 178 [NASA ADS] [CrossRef] [Google Scholar]
- Kellermann, K. I., Lister, M. L., Homan, D. C., et al. 2004, ApJ, 609, 539 [NASA ADS] [CrossRef] [Google Scholar]
- Keppens, R., Meliani, Z., van der Holst, B., Casse, F. 2008, A&A, 486, 663 [NASA ADS] [CrossRef] [EDP Sciences] [Google Scholar]
- Koide, S., Shibata, K., & Kudoh, T. 1998, ApJ, 495L, 63 [Google Scholar]
- Koide, S., Shibata, K., & Kudoh, T. 1999, ApJ, 522, 727 [NASA ADS] [CrossRef] [Google Scholar]
- Komissarov, S. S. 1999, MNRAS, 308, 1069 [NASA ADS] [CrossRef] [Google Scholar]
- Komissarov, S. S., & Falle, S. A. 1998, MNRAS, 297, 1087 [NASA ADS] [CrossRef] [Google Scholar]
- Komissarov, S. S., Barkov, M. V., Vlahakis, N., & Königl, A. 2007, MNRAS, 380, 51 [NASA ADS] [CrossRef] [Google Scholar]
- Kovalev, Y. Y., Lister, M. L., Homan, D. C., & Kellermann, K. I. 2007, ApJ, 668, L27 [NASA ADS] [CrossRef] [Google Scholar]
- Laing, R. A., Parma, P., & de Ruiter, H. R. 1999, MNRAS, 306, 513 [NASA ADS] [CrossRef] [Google Scholar]
- Ledlow, M. J., & Owen, F. N. 1996, AJ, 112, 9 [NASA ADS] [CrossRef] [Google Scholar]
- Li, Z.-Y., Chiueh, T., & Begelman, M. C. 1992, ApJ, 394, 459 [NASA ADS] [CrossRef] [Google Scholar]
- Leismann, T., Antón, L., Aloy, M. A., et al. 2005, A&A, 436, 503 [NASA ADS] [CrossRef] [EDP Sciences] [Google Scholar]
- Martí, J. M., Müller, E., Font, J. A., et al. 1997, ApJ, 479, 151 [NASA ADS] [CrossRef] [Google Scholar]
- Matsakos, T., Massaglia, S., Trussoni, E., et al. 2009, A&A, 502, 217 [NASA ADS] [CrossRef] [EDP Sciences] [Google Scholar]
- McKinney, J. C. 2006, MNRAS, 368, 1561 [NASA ADS] [CrossRef] [Google Scholar]
- McKinney, J. C., & Blandford, R. D., 2009, MNRAS, 394, L126 [NASA ADS] [CrossRef] [Google Scholar]
- Meier, D. L. 1999, ApJ, 522, 753 [NASA ADS] [CrossRef] [Google Scholar]
- Meier, D. L. 2002, New Astron. Rev., 46, 247 [Google Scholar]
- Meliani, Z., & Keppens, R. 2009, ApJ, 705, 1594 [NASA ADS] [CrossRef] [Google Scholar]
- Meliani, Z., Sauty, C., Tsinganos, K., & Vlahakis, N. 2004, A&A, 425, 773 [NASA ADS] [CrossRef] [EDP Sciences] [Google Scholar]
- Meliani, Z., Sauty, C., Vlahakis, N., Tsinganos, K., & Trussoni, E. 2006a, A&A, 447, 797 [NASA ADS] [CrossRef] [EDP Sciences] [Google Scholar]
- Meliani, Z., Casse, F., & Sauty, C. 2006b, A&A, 460, 1 [NASA ADS] [CrossRef] [EDP Sciences] [Google Scholar]
- Meliani, Z., Giacomazzo, B., & Keppens, R. 2008, A&A, 491, 391 [Google Scholar]
- Mignone, A., Rossi, P., Bodo, G., Ferrari, A., & Massaglia, S. 2010, MNRAS, 402, 7 [NASA ADS] [CrossRef] [Google Scholar]
- Mizuno, Y., Hardee, P., & Nishikawa, K.-I. 2007, ApJ, 662, 835 [NASA ADS] [CrossRef] [Google Scholar]
- Piner, B. G., Unwin, S. C., Wehrle, A. E., et al. 2003, ApJ, 588, 716 [NASA ADS] [CrossRef] [Google Scholar]
- Porth, O., & Fendt, C. 2010, ApJ, 709, 1100 [NASA ADS] [CrossRef] [Google Scholar]
- Pushkarev, A. B., Kovalev, Y. Y., Lister, M. L., & Savolainen, T. 2009, A&A, 507, L33 [NASA ADS] [CrossRef] [EDP Sciences] [Google Scholar]
- Rossi, P., Mignone, A., Bodo, G., et al. 2008, A&A, 488, 795 [NASA ADS] [CrossRef] [EDP Sciences] [Google Scholar]
- Reynolds, C. S., Di Matteo, T., Fabian, A. C., et al. 1996, MNRAS, 283, 111 [Google Scholar]
- Sauty, C., & Tsinganos, K. 1994, A&A, 287, 893 [NASA ADS] [Google Scholar]
- Sauty, C., Tsinganos, K., & Trussoni, E. 1999, A&A, 348, 327 [NASA ADS] [Google Scholar]
- Sauty, C., Tsinganos, K., & Trussoni, E. 2001, in Relativistic flows in astrophysics, ed. A. W. Guthmann, et al. (Heidelberg: Springer-Verlag), Lecture Notes in Physics, 589, 41 [Google Scholar]
- Sauty, C., Trussoni, E., & Tsinganos, K. 2002, A&A, 389, 1068 [NASA ADS] [CrossRef] [EDP Sciences] [Google Scholar]
- Sauty, C., Trussoni, E., & Tsinganos, K. 2004, A&A, 421, 797 [NASA ADS] [CrossRef] [EDP Sciences] [Google Scholar]
- Sol, H., Pelletier, G., & Asseo, E. 1989, MNRAS, 237, 411 [NASA ADS] [Google Scholar]
- Trussoni, E. 1998, Astrophysical Jets: Open Problems, ed. S. Massaglia, & G. Bodo (Amsterdam, The Netherlands: Gordon and Breach Science Publishers), 109 [Google Scholar]
- Tsinganos, K., & Bogovalov, S. 2002, MNRAS, 337, 553 [NASA ADS] [CrossRef] [Google Scholar]
- Urry, C. M., & Padovani, P. 1995, PASP, 107, 803 [NASA ADS] [CrossRef] [Google Scholar]
- van Putten, M. H. P. M. 1996, ApJ, 467, L57 [NASA ADS] [CrossRef] [Google Scholar]
- Vlahakis, N., & Königl, A. 2003a, ApJ, 596, 1104 [NASA ADS] [CrossRef] [Google Scholar]
- Vlahakis, N., & Königl, A. 2003b, ApJ, 596, 1080 [NASA ADS] [CrossRef] [Google Scholar]
- Vlahakis, N., & Königl, A. 2004, ApJ, 605, 656 [NASA ADS] [CrossRef] [Google Scholar]
- Wold, M., Lacy, M., & Armus, L. 2007, A&A, 470, 531 [NASA ADS] [CrossRef] [EDP Sciences] [Google Scholar]
- Zavala, R. T., & Taylor, G. B. 2005, ApJ, 626, L73 [NASA ADS] [CrossRef] [Google Scholar]
All Tables
Table 1:
The asymptotic jet speed in units of the escape speed from
the base of the corona, for various values
of the parameters
and
.
All Figures
|
Figure 1: Standard classification of AGN sources following Urry & Padovani (1995). The horizontal axis represents the inclination of the source axis with the line of sight. The vertical axis we suggest that it may be linked to the efficiency of the underlying magnetic rotator to collimate the flow. |
| Open with DEXTER | |
| In the text | |
|
Figure 2:
In a) we plot the Alfvén number M2 and in b) the cylindrical jet
cross section G2 as functions of the distance for
|
| Open with DEXTER | |
| In the text | |
|
Figure 3:
Plot of the morphology of the solution corresponding
to a FR I-type spine jet. In a) the projection of the
streamlines on the poloidal plane is shown. The solid lines in the center correspond to
lines where the conditions
xA2 G2<10-2 and
|
| Open with DEXTER | |
| In the text | |
|
Figure 4:
In a) we plot the energetic fluxes normalized to the mass
energy of the first solution for a ``FR I-type''' spine jet. In b) we plot for the same solution, the Lorentz factor |
| Open with DEXTER | |
| In the text | |
|
Figure 5:
In a) we plot the temperature profile and in b) the
density profile for the FR I-type jet solution. The density is normalized
to n0 so that the mass-loss rate is
|
| Open with DEXTER | |
| In the text | |
|
Figure 6: The same as in Fig. 3 for the second solution corresponding to a FR II-type spine jet. |
| Open with DEXTER | |
| In the text | |
|
Figure 7:
In a) we plot the energetic fluxes normalized to the mass
energy of the second solution for a ``FR II-type'' spine jet. In b) we
plot for the same solution, the Lorentz factor |
| Open with DEXTER | |
| In the text | |
|
Figure 8:
In a) we
plot the temperature profile and in b) the density profile for the
FR II-type jet solution. On the left the vertical lines delimitate
the various domains of the temperature profile. On the right the
density is normalized to n0 such that the
mass-loss rate is
|
| Open with DEXTER | |
| In the text | |
Copyright ESO 2010
Current usage metrics show cumulative count of Article Views (full-text article views including HTML views, PDF and ePub downloads, according to the available data) and Abstracts Views on Vision4Press platform.
Data correspond to usage on the plateform after 2015. The current usage metrics is available 48-96 hours after online publication and is updated daily on week days.
Initial download of the metrics may take a while.
![\begin{figure}
\par\includegraphics[height=7.4cm]{12920fg1.eps}
\end{figure}](/articles/aa/full_html/2010/13/aa12920-09/Timg13.png)






