Free Access

This article has an erratum: [https://doi.org/10.1051/0004-6361/200913741e]


Issue
A&A
Volume 521, October 2010
Article Number A39
Number of page(s) 9
Section Galactic structure, stellar clusters, and populations
DOI https://doi.org/10.1051/0004-6361/200913741
Published online 19 October 2010
A&A 521, A39 (2010)

A revisit to the region of Collinder 132 using Carte du Ciel and Astrographic Catalogue plates[*]

R. B. Orellana1 - M. S. De Biasi1 - I. H. Bustos Fierro2 - J. H. Calderón2

1 - Facultad de Ciencias Astronómicas y Geofisicas, UNLP, Paseo del Bosque s/n, 1900 La Plata, Argentina and Instituto de Astrofisica de La Plata - CONICET, UNLP, CCT La Plata, Argentina
2 - Observatorio Astronómico, Laprida 854, 5000 Córdoba, Argentina

Received 25 November 2009 / Accepted 27 May 2010

Abstract
Aims. Based on stellar positions and proper motions, we aim to re-analyse the region of the controversial open cluster Collinder 132.
Methods. We have developed a model which analyses the proper motion distribution and the stellar density to find moving groups. The astrometric data were obtained from four Carte du Ciel (CdC) and one Astrogaphic Catalogue (AC) plates of the Córdoba Astronomical Observatory collection (Argentina).
Results. We detected an open cluster from the field stars and calculated the mean proper motion and the membership probabilities of the region's stars. We report new coordinates of its centre $\alpha_{\rm c} = 108\hbox{$.\!\!^\circ$ }347$, $\delta_{\rm c} = -31\hbox{$.\!\!^\circ$ }011$, the components of mean proper motion $\mu_{\alpha} \cos\delta= -2.62\pm0.44$ mas/yr, $\mu_{\delta} = 4.79\pm0.88$ mas/yr. Thirteen stars are astrometric members giving a value of $20\hbox{$^\prime$ }$ for the cluster angular diameter. Six stars fulfil the astrometric and photometric criteria for being cluster members and locate the cluster at 360 pc from the Sun. We propose a simple model for the analysis of the proper motion distribution of an association. We report the components of the association mean proper motion $\mu_{\alpha}\cos\delta= -1.38\pm0.14$ mas/yr, $\mu_{\delta} = 2.26\pm0.16$ mas/yr. We found 149 astrometric members, 11 of which have reliable photometric data that locate them betweeen 417 and 660 pc from the Sun.

Key words: open clusters and associations: general - open clusters and associations: individual: Cr132 - astrometry

1 Introduction

Collinder 132 is a controversial open cluster located at Canis Major ( $l = 243\hbox{$.\!\!^\circ$ }3, b = -9\hbox{$.\!\!^\circ$ }2, \alpha= 7^{\rm h}$14 $^{\rm m},\delta=-31\hbox{$^\circ$ }10\hbox{$^\prime$ }$). During the last 30 years, different authors have given different interpretations about its nature.

It was first recognized as a physical group by Collinder (1931) in the Franklin Adams plates. He found an open cluster caracterized by a low concentration of stars, containing 18 stars at a distance of 270 pc within an area of $85 \hbox{$^\prime$ }$.

With photoelectric UBV measurements for 35 stars and H$\beta$ measurements for 18 stars, Clariá (1977) detected two open clusters in the region: Cr132a and Cr132b. The former has 12 stars at a distance of 560 pc and the latter 8 stars at 330 pc.

Eggen (1983) found two groups in this region by intermediate-band and H$\beta$ photometry for 14 stars. He concluded that one group was connected with Collinder 140 and another group contained members of the CMa OB2 association. They have the following number of members and distances: four stars at 490 pc for the first one, six stars at 832 pc for the other group.

Baumgardt (1998) discussed the nature of the object using parallaxes, proper motion and photometry data from the Hipparcos and ACT catalogues. He concluded the presence of an association in agreement to Eggen's second group and the probable existance of an open cluster with five members. He also suggested that the association, composed by six members, migth be connected with Collinder 121.

Robichon et al. (1999) found eigth members at a distance of 650 pc with Hipparcos data. Dias et al. (2002) determined the mean absolute proper motion of the cluster and found 110 members through Tycho-2 proper motion data.

More recently, Kharchenko et al. (2005) estimated the mean absolute proper motion and found seven members with the ASCC-2.5 catalogue data, and the distance estimated was 411 pc. Caballero & Dinis (2008) applyed the DBSCAN data clustering algorithm to find spatial overdensities in the region and detected 11 members at 450 pc.

In the present paper, we propose to revisit the region of Collinder 132 using Carte du Ciel (CdC) and Astrogaphic Catalogue (AC) plates of the Córdoba Astronomical Observatory (Argentina). This photographic plates archive contain more than 1300 CdC and 2200 AC plates and represents an invaluable source of data (Calderón et al. 2004). As the survey covered a part of the Milky Way toward the Galactic centre, there are many astronomical objects in the plates which are of great value for studying the dynamics of the Galaxy. Therefore, we used these plates to determine the precise proper absolute motion of 8774 stars within a region of $4\hbox{$^\circ$ }\times 4\hbox{$^\circ$ }$ including Collinder 132.

In Sect. 2, the data used in the present paper are determined. Section 3 describes the model employed in the data analysis. Sections 4 and 5 show the results for the open cluster and for the association. The conclusions of our research are found in Sect. 6.

2 Córdoba Carte du Ciel and Astrographic Catalogue plates: photographic material

The data used in this work come from the Córdoba CdC and AC plates. Each Córdoba plate covers an area of $2\hbox{$^\circ$ }\times 2\hbox{$^\circ$ }$ in the sky with a platescale of 1$^\prime$/mm. Carte du Ciel plates have three equal consecutive exposures of 20 min each, resulting in an equilateral triangle image of approximately 7 $.\!\!^{\prime\prime}$0 per side for every star. The Astrogaphic Catalogue plate has four exposures of 5 min, 5 min, 80 s and 8 s shifted in declination. All plates have a superimposed grid with 5 mm separation between lines (Fig. 1).

\begin{figure}
\par\includegraphics[width=9cm,clip]{13741fg1.eps}
\end{figure} Figure 1:

Region near the plate centre in a Córdoba CdC plate ( left) and in an AC plate ( right). The multiple exposures, scratches, and emulsion granularity can be observed.

Open with DEXTER

\begin{figure}
\par\includegraphics[width=17cm]{13741fg2.eps}
\vspace*{8mm}
\end{figure} Figure 2:

Selected Córdoba plates covering the area around Collinder 132.

Open with DEXTER

We selected four CdC and one AC plates in the region of the open cluster Cr132. The former were CdC6453, CdC6571, CdC7033 and CdC7054, the latter plate, AC4115, was chosen to improve the overlapping between CdC plates, as shown in Fig. 2. Information about the plates is given in Table 1.

The photographic plates were digitized by the MAMA measuring machine from the Paris Observatory (Bustos Fierro & Calderón 2000), with a spatial resolution of 10 µm/px. The object detection was performed through a multithreshold algorithm by SExtractor (Bertin & Arnouts 1996). Instrumental positions and magnitudes as well as shape and orientation indicators were obtained with the same software.

SExtractor detects the multiple exposures of each star as well as the grid lines, scratches, and even the granularity of the photographic emulsion. A software for the elimination of spurious detection and the idenfitication of the stars considering the multiple exposure as a single object was developed following the algorithm given by Bustos Fierro & Calderón (2003). The number of detected stars was 254 in AC plate and varied from 808 to 4666 in CdC plates.

The nominal centering errors in the coordinates for CdC plates were found to range between $0\hbox{$.\!\!^{\prime\prime}$ }12$and $0\hbox{$.\!\!^{\prime\prime}$ }17$, with a very slight dependence on instrumental magnitude and a noticeable dependence on the distance to the plate centre. On the other hand, the nominal centering errors for AC plate were almost constant and equal to $0\hbox{$.\!\!^{\prime\prime}$ }06$. These errors are similar to those obtained by other authors (Bustos Fierro & Calderón 2003; Dick et al. 1993; Geffert et al. 1996; Ortiz Gil et al. 1998).

2.1 Astrometric reduction

In order to transform the instrumental coordinates into celestial ones, stars from the Tycho-2 catalogue (Høg et al. 2000), whose proper motion errors were lower than 2.0 mas/yr, were used as reference stars after calculating their mean positions at the epoch of each plate. Every plate was reduced independently from the others adopting a first order polynomial in the measured coordinates.

The residuals with respect to the Tycho-2 reference positions at the plate epochs do not show any systematic behaviour, where the average is near zero and the rms in right ascension and declination $0\hbox{$.\!\!^{\prime\prime}$ }16$ and $0\hbox{$.\!\!^{\prime\prime}$ }14$, respectively, as seen in Fig. 3.

Finally, 9055 star positions were identified, some of them by taking a weighted average on the positions of stars lying in the overlapping zone of the plates. The resulting first epoch catalogue was called Córdoba CdC-AC (CCAC). The median of the nominal errors for the coordinates $\alpha \cos \delta$ and $\delta$ were $0\hbox{$.\!\!^{\prime\prime}$ }17$ and $0\hbox{$.\!\!^{\prime\prime}$ }16$, respectively.

2.2 Stellar proper motion determinations

Proper motions were calculated with the Córdoba CdC-AC positions as first epoch, and as second epoch the positions given by UCAC2 (Zacharias et al. 2004) and USNO-B1.0 (Monet et al. 2003). Proper motions for stars with two epochs were calculated as the angular variation with respect to time intervals, whereas for stars with three epochs they were calculated by applying a weighted least-squares method, using as weights the nominal errors in the positions. Figure 4 shows the distribution of errors in $\mu_{\alpha}\cos\delta$ and $\mu_\delta$, for two and three epochs, left and right panels, respectively. For proper motions for stars with two epochs, two peaks were identified: one around 2 mas/yr for proper motions calculated from UCAC2 positions and another one around 3 mas/yr for proper motions calculated from USNO-B1.0 positions. The median of the internal errors of the proper motions is shown in Table 2.

The calculated proper motions were compared with those from Tycho-2 and UCAC2 in order to estimate their errors.

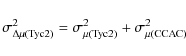
The following expressions were used to compute the Córdoba CdC-AC (CCAC) proper motion components errors:

\begin{displaymath}\sigma^2_{\Delta\mu({\rm Tyc2})}= \sigma^2_{\mu({\rm Tyc2})} + \sigma^2_{\mu({\rm CCAC})}\\
\end{displaymath} (1)

\begin{displaymath}\sigma^2_{\Delta\mu({\rm UCAC2})}= \sigma^2_{\mu({\rm UCAC2})} + \sigma^2_{\mu({\rm CCAC})},\\
\end{displaymath} (2)

$\sigma_{\mu({\rm Tyc2})}$and $\sigma_{\mu({\rm UCAC2})}$ were estimated as the median of the proper motion nominal error and $\sigma_{\Delta\mu({\rm Tyc2})}$ and $\sigma_{\Delta \mu({\rm UCAC2})}$ were derived from the rms of the differences with the Tycho-2 and UCAC2 catalogues. These errors turned out to be: $\sigma(\mu_{\alpha}, \mu_{\delta}) = (3.2,2.8)$ mas/yr, when proper motions are compared with those of Tycho-2, and $\sigma(\mu_{\alpha},\mu_{\delta}) = (2.2,1.0)$ mas/yr, when the comparison is made with UCAC2. As can be seen, the internal errors derived for the proper motions were consistent with those resulting from the comparison with external catalogues, as shown in Table 3.

The CCAC catalogue was constructed with 9055 mean stellar positions on the International Celestial Reference System (ICRS) with their corresponding epochs in the selected field, including the components of proper motion with their errors for only 8774 stars. A full display of this catalogue is available in electronic form at the CDS.

3 Confirming the nature of Cr132 as an open cluster

Table 1:   Plate position diagram.

Several studies in the region of Collinder 132 have shown different results for the open cluster, as seen in Table 4 (Clariá 1977; Baumgardt 1998; Dias et al. 2002; Kharchenko et al. 2005; Robichon et al. 1999), where $\alpha_{J2000.0}$, $\delta_{J2000.0}$ in degrees are the coordinates of the centre, $R_{\rm cl}$ in arcmin is the radius, $\mu_{\alpha}\cos\delta$ and $\mu_\delta$ in mas/yr are the components of its mean absolute proper motion, VR in km s-1 is the radial velocity, $N_{\rm c}$ is the number of the members, D in parsec is the distance and t in years represents the age.

3.1 Centre coordinates

\begin{figure}
\par\mbox{\includegraphics[width=8.5cm]{13741fg3a.eps} \includegraphics[width=8.5cm]{13741fg3b.eps} }\end{figure} Figure 3:

Residuals in both equatorial coordinates obtained through the individual reduction method. No systematic behaviour is observed.

Open with DEXTER

\begin{figure}
\par\mbox{\includegraphics[width=8.5cm]{13741fg4a.eps} \includegraphics[width=8.5cm]{13741fg4b.eps} }\end{figure} Figure 4:

Distribution of internal errors for stars with proper motions from two epochs ( left) and from three epochs ( right).

Open with DEXTER

In order to resolve the discrepancy in the coordinates of the centre, we first studied the projected stellar density in a region of $1^\circ \times 1^\circ$ covering all the centres mentioned by the different authors. We determined the stellar density of the stars from the UCAC2 catalogue up to a magnitude of 12.5, as this is near the limit magnitude of the plates.

We evaluated the observed local density at the nodes of a grid sized $1\hbox{$^\prime$ }\times 1\hbox{$^\prime$ }$ by adding the stars within a circle of the radius $s_0=3\hbox{$^\prime$ }$ weighted by a smoothing parameter $w(s_{\rm ij})$ chosen following Stock and Abad's rule (Stock & Abad 1988):

                      $\displaystyle w(s_{\rm ij})$ = $\displaystyle \sqrt{1-({s_{\rm ij}\over s_0})^2} \hskip 1.4cm s_{\rm ij} \lid s_0$ (3)
$\displaystyle w(s_{\rm ij})$ = $\displaystyle 0 \hskip 3cm s_{\rm ij}>s_0,$ (4)

where $s_{\rm ij}$ is the distance from the ith star to the node of the jth cell.

Figure 5 shows the resulting projected stellar density. The centre of the cluster was adopted as the position of the grid- point with the highest projected spatial density, getting the values of $\alpha_{\rm c} = 108\hbox{$.\!\!^\circ$ }345$ and $\delta_{\rm c} = -31\hbox{$.\!\!^\circ$ }030$.

3.2 Model adopted for the cluster analysis

An over-density in the sky as well as in the vector point diagram (VPD) indicates the existence of an open cluster. It is possible to analyse these over-densities adopting the mathematical model suggested by Vasilevskis et al. (1958) and the technique based upon the maximum likelihood principle developed by Sanders (1971).

The proper motion distribution consists in the overlapping of two bivariate normal frequency functions in an elliptical subregion of the VPD:

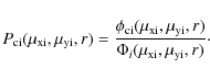
$\displaystyle \Phi_{\rm i}(\mu_{xi},\mu_{\rm yi},r)=\phi_{\rm ci}(\mu_{\rm xi},\mu_{\rm yi},r) + \phi_{\rm fi}(\mu_{\rm xi},\mu_{\rm yi}),$   (5)

where $\phi_{\rm ci}$ is a circular distribution for cluster stars, $\phi_{\rm fi}$ is an elliptical distribution for field stars; $\mu_{\rm xi}$, $\mu_{yi}$are the ith star proper motion in x and y, respectively. These coordinate axes are coincident with the field distribution ones after rotating the VPD by an angle $\theta$.

Table 2:   Median of the internal errors of the proper motions.

Table 3:   Errors in proper motions.

Table 4:   Data of Cr 132 available in the literature.

The results obtained from this model are function of the angular size of the selected field, therefore the membership probabilities may be overestimated for stars far from the cluster centre and underestimated for stars near it. This aspect will enlarge the uncertainty in membership determination.

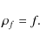
Jones and Walker (1988) improved the method using an exponential function $\rho_{\rm c}$ to describe the areal stellar density for the cluster stars according to van den Bergh and Sher (1960)

\begin{displaymath}\rho_{\rm c}(r)= \rho_0 \exp(-r/ r_0),
\end{displaymath} (6)

where $\rho_0$ is the central cluster stellar density, r0 is the characteristic radius and r the distance from the cluster's centre. The function for the areal stellar density for field stars is constant

\begin{displaymath}\rho_f= f.
\end{displaymath} (7)

The stellar radial density profile of the region is modelled by the overlapping of the functions mentioned above:

\begin{displaymath}
\rho(r)= \rho_{\rm c}(r)+\rho_f.
\end{displaymath} (8)

Therefore, the circular and elliptical distributions take the following form
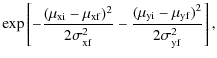
               $\displaystyle \phi_{\rm ci}(\mu_{\rm xi},\mu_{\rm yi},r)$ = $\displaystyle {\rho_{\rm c}(r)\over 2\pi\sigma^2}$  
  $\textstyle \quad \times$ $\displaystyle \exp\left[-{(\mu_{\rm xi}-\mu_{\rm xc})^2 + (\mu_{\rm yi}- \mu_{\rm yc})^2\over 2\sigma^2}\right],$ (9)

and
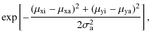
                 $\displaystyle \phi_{\rm fi}(\mu_{\rm xi},\mu_{\rm yi})$ = $\displaystyle {\rho_f \over 2\pi\sigma_{\rm xf} \sigma_{\rm yf}}$  
  $\textstyle \quad \times$ $\displaystyle \exp\left[-{(\mu_{\rm xi}-\mu_{\rm xf})^2\over 2\sigma_{\rm xf}^2} -
{(\mu_{\rm yi}- \mu_{\rm yf})^2\over 2\sigma_{\rm yf}^2}\right],$ (10)

where $\mu_{\rm xf}$, $\mu_{\rm yf}$ are the field mean proper motion, $\sigma_{\rm xf}$, $\sigma_{\rm yf}$ the elliptical dispersions for field stars, $\mu_{\rm xc}$, $\mu_{\rm yc}$ the cluster mean proper motion, and $\sigma$ its circular dispersion.

The parameters $\rho_0$, r0 and $\rho_f$ have been obtained by fitting the Eq. (8) to the radial stellar density profile after counting the number of stars within the concentric annuli around the cluster centre. The other seven parameters present in Eqs. (9) and (10) would be found by applying the maximum likelihood principle. The cluster's unknowns, therefore, would be entirely determined.

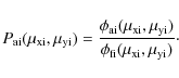
The probability for the ith star has been calculated as

\begin{displaymath}
P_{\rm ci}(\mu_{\rm xi},\mu_{\rm yi},r)= {\phi_{\rm ci}(\mu_...
...\mu_{\rm yi},r)\over \Phi_i(\mu_{\rm xi},\mu_{\rm yi},r)}\cdot
\end{displaymath} (11)

A cluster member is found when $P_{\rm ci}\gid 0.5$ , according to the Bayesian criterion.

\begin{figure}
\par\includegraphics[width=9cm,clip]{13741fg5.eps}
\end{figure} Figure 5:

Projected density map of UCAC2 stars in the studied region. The scale of gray represent the different values of the density. The point with the highest density was adopted as the centre of the cluster.

Open with DEXTER

Even that the contamination by background and foreground objects due to the observational projection effect cannot be avoided, it is possible to estimate the effectiveness of the membership determination by the index E following Shao & Zhao (1996)

$\displaystyle E=1-{N\sum_{i=1}^{n} P_{\rm ci}[1-P_{\rm ci}]\over \sum_{i=1}^{n} P_{\rm ci} \sum_{i=1}^{n} [1-P_{\rm ci}]}\cdot$     (12)

Su et al. (1998) have shown the advantage of the model considering the stellar density $\rho (r)$ for membership determination with respect to Sander's model by calculating the efficiency for both methods in the region of the open cluster M 11. The values were $E_{\rm Sanders}=0.67$ and $E_{\rho(r)}=0.85$, giving strong support to the improved method. The successful determination of mean proper motion and membership probabilities of some open clusters by this method is explained in Giorgi et al. (2007) and Orellana & De Biasi (2006, 2008a, b).

3.3 Mean proper motion and membership determination

We selected the stars from the CCAC catalogue with centred at ( $\alpha_{\rm c}$, $\delta_{\rm c}$) in a circular region with the radius $50\hbox{$^\prime$ }$ containing 491 stars (Fig. 6), making sure that all the values for the radius in Table 4 were taken into account.

\begin{figure}
\par\includegraphics[width=9cm]{13741fg6.eps}
\end{figure} Figure 6:

Stellar positions in the region of Collinder 132 at the epoch 1923.04. Black circles represent the astrometric cluster-members and crosses the rest of the region's stars.

Open with DEXTER

We analysed the proper motion data in an elliptical subregion of the VPD containing N= 431 stars, where $\theta= 78\hbox{$.\!\!^\circ$ }84$ (Fig. 7).

\begin{figure}
\par\includegraphics[width=9cm]{13741fg7.eps}
\end{figure} Figure 7:

Vector point diagram in the region of Collinder 132. Black circles represent the astrometric cluster-members and crosses the rest of the stars of the elliptical subregion.

Open with DEXTER

The function $\rho (r)$ given in Eq. (8) was adjusted to the radial stellar density profile, as seen in Fig. 8 with the following parameters: $\rho_0 = 0.172\pm0.016$ stars/ $(\hbox{$^\prime$ })^2$, $ r_0 =4\hbox{$.\mkern-4mu^\prime$ }129\pm0\hbox{$.\mkern-4mu^\prime$ }369$and $\rho_f = 0.055\pm0.001$ stars/ $(\hbox{$^\prime$ })^2$.

\begin{figure}
\par\includegraphics[width=9cm]{13741fg8.eps}
\end{figure} Figure 8:

Stellar density profiles in the region of Collinder 132 as a function of the distance from the cluster centre. The plots represent the stellar radial density profiles of the stars in the elliptical subregion (black circles), and the function $\rho (r)$ (white circles).

Open with DEXTER

After applying the method of maximum likelihood to Eqs. (9) and (10), the cluster parameters became $\mu_{\rm xc}= -4.54\pm0.89$ mas/yr, $\mu_{\rm yc}= -1.50\pm0.45$ mas/yr, $\sigma=2.54\pm0.32$ mas/yr and the field parameters $\mu_{\rm xf}= -2.36\pm0.10$ mas/yr, $\mu_{\rm yf}= -1.91\pm0.21$ mas/yr, $\sigma_{\rm xf}= 6.05\pm0.15$ mas/yr and $\sigma_{\rm yf}= 4.35\pm0.13$ mas/yr.

Once the cluster and field parameters were determined, the membership probability $P_{\rm c}$ of the ith star was given by Eq. ( 11).

Among the 491 stars in the region of Cr132, we found 13 stars with probabilities higher or equal to 0.5 which should be considered as the astrometric members of the cluster. Figures 6 and 7 show the location of the 13 cluster members in the sky and in the VPD with black circles.

The following information of the astrometric cluster membres is found in Table 5: $N_{\rm cat}$ is the numbering of the CCAC catalogue, r in arcmin is the distance from the cluster centre, ($\alpha$, $\delta$) in degrees are the coordinates, $\mu_{\alpha}\cos\delta$ and $\mu_\delta$ in mas/yr are the components of the proper motion, $P_{\rm c}$ is the probability obtained in the first reduction and $P^*_{\rm c}$ is the probability obtained in the second one, TY is Tycho-2 identifier, $B_{\rm T}$ and $V_{\rm T}$ are Tycho-2 magnitudes.

Table 5:   Astrometric cluster members of Cr 132.

The efectiveness of the membership determination was E=0.47. Compared with Shao's paper (Shao & Zhao 1996), our results agree well with the peak value of E obtained from a sample of 43 open clusters.

3.4 Colour magnitude diagram

As can be seen in Table 5, eigth stars were identified as Tycho-2 stars, with the known photometric parameters $B_{\rm T}$ and $V_{\rm T}$. We then have another way to confirm the cluster members from the color magnitude diagram (CMD).

\begin{figure}
\par\includegraphics[width=9cm]{13741fg9.eps}
\end{figure} Figure 9:

Color magnitude diagram of the eight Tycho-2 astrometric cluster members. (See detailed discussion in the text).

Open with DEXTER

Figure 9 shows the CMD of this group of stars. $B_{\rm T}$ and $V_{\rm T}$ are transformed to the Johnson photometry following the indications of the catalogue. Reddening-free colours and magnitude of probable cluster members can be obtained by correcting the observed colours with the colour excess E(B-V)= 0.02 mag and the observed magnitude with Av=0.06 mag (Clariá 1977).

The location of eigth stars in the diagram clearly suggests the existance of an open cluster in the region, with the exception of stars 7644 and 7687.

Afterwards, the Schmidt-Kaller ZAMS (1982) was fitted into the CMD and the distance modulus was derived, aproximately V0-MV= 7.8, locating the cluster at 360 pc from the Sun. There are two Hipparcos stars in the group: star 248 (HIP 34937) and star 238 (HIP 34898) with paralaxes $2.71\pm0.62$ mas and $1.25\pm 0.92$ mas, respectively. The star HIP 34937 agrees well with the value of the distance modulus mentioned above.

3.5 Discussion

The CMD suggests that some stars considered cluster members from an astrometric point of view have a contamination effect, so the weigth of the photometric analysis should not be disregarded. Therefore, we decided that a star is a cluster member if it satisfies both the astrometric and photometric analysis. It can then be seen that only stars 7644 and 7687 do not fulfil the condition and are not considered to be cluster-members.

The rest of the astrometric members that could not be identified in the Tycho-2 catalogue, stars 237, 7664, 7666, 7680 and 7724, migth be taken into account as possible cluster members and it is neccesary to determine their photometric parameters in order to detect their real nature.

After removing non-member stars 7644 and 7687 from the sample, the model described in Sect. 3.2 was again applied.

The resulting cluster parameters are $\rho_0 = 0.103\pm0.010$ stars/ $(\hbox{$^\prime$ })^2$, $ r_0 =4\hbox{$.\mkern-4mu^\prime$ }863\pm0.495$, $\sigma=2.34\pm0.35$ mas/yr, $\mu_{\rm xc}= -5.20\pm0.88$ mas/yr, $\mu_{\rm yc}= -1.64\pm0.45$ mas/yr or in usual equatorial components $\mu_{\alpha} \cos\delta= -2.62\pm0.44$ mas/yr, $\mu_{\delta} = 4.79\pm0.88$ mas/yr.

The field parameters are $\rho_f = 0.054\pm0.001$ stars/ $(\hbox{$^\prime$ })^2$, $\mu_{\rm xf}= -2.44\pm0.31$ mas/yr, $\mu_{\rm yf}= -1.89\pm0.23$ mas/yr, $\sigma_{\rm xf}= 6.23\pm0.13$ mas/yr and $\sigma_{\rm yf}= 4.60\pm0.14$ mas/yr, or in usual equatorial components $\mu_{\alpha \cos\delta}= -2.33\pm0.23$ mas/yr, $\mu_{\delta}= 2.03\pm0.30$ mas/yr.

Finally, 11 stars with probability $P^*_{\rm c}\gid 0.5$ were found to be cluster members and the efectiveness of membership determination is E=0.49. The cluster centre is located at $\alpha_{\rm c} = 108\hbox{$.\!\!^\circ$ }347$ and $\delta_{\rm c} = -31\hbox{$.\!\!^\circ$ }011$ ( $l_{\rm c} = 243\hbox{$.\!\!^\circ$ }365$, $b_{\rm c} = -8\hbox{$.\!\!^\circ$ }991$). The cluster angular diameter is $20\hbox{$^\prime$ }$, which is less than the values found by other authors.

We compared our results with those obtained from Caballero & Dinis (2008), Kharchenko et al. (2005), Dias et al. (2002), Baumgardt (1998) and Clariá (1977).

A detailed comparison of our results with those of Kharchenko et al. shows that there are six stars in common: stars 238, 241, 243, 244, 248 and 7714. Both results agree in four cluster members, star 243 is a member in our work only and star 7714 is a member in their work only.

A similar analysis shows that there are four stars in common with Dias et al. stars 238, 241, 244 and 248. Except for star 238, both results agree in the cluster-member stars.

Comparing our results with Caballero & Dinis, Baumgardt and Clariá, there are only two stars in common, stars 238 and 248. They are members in Baumgardt, Caballero & Dinis and our work. Otherwise, star 238 is member of Cr132b and star 248 is member of Cr132a in Clariá's work.

4 Suggesting an association in the region of Cr132

Cr 132 is a nearby young open cluster, which is situated near the Gum Nebula, a star forming region. Stellar associations are usually located in or near these regions, and besides Eggen (1983) and Baumgardt (1998) suggested an OB2 association in the region of Collinder 132. This led us to re-examine the region.

If the association does exist, we expected to find an over-density in the VPD due to the low values of the velocity dispersions of the members. Therefore, a selection based on proper motions is the most reliable method for the separation of the association from field stars.

4.1 Model adopted for data analysis

In order to identify the possible members of an association, we first removed cluster members from the sample. Figure 10 shows the stellar positions in the new region.

\begin{figure}
\par\includegraphics[width=8.6cm,clip]{13741fg10.eps}
\end{figure} Figure 10:

Stellar positions in the new region at the epoch 1923.04. Black circles represent the astrometric and photometric association-members, white circles represent the astrometric ones and crosses the rest of the new region's stars.

Open with DEXTER

As can be seen in Fig. 11, an over-density is still present in the VPD, which suggests an association.

\begin{figure}
\par\includegraphics[width=8.6cm,clip]{13741fg11.eps}
\end{figure} Figure 11:

Vector point diagram in the new region. Black circles represent the astrometric and photometric association-members, white circles represent the astrometric ones and crosses the rest of the new region's stars.

Open with DEXTER

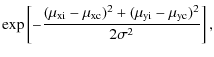
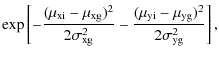
The new subregion contains $N_f=N-N_{\rm c}$ stars, the proper motion distribution is the function $\phi_{\rm fi}$ present in Eq. (5). An association would make $\phi_{\rm fi}$ consisting in the overlapping of two bivariate normal frecuency functions, $\phi_{\rm ai}$ for the association stars and $\phi_{\rm gi}$ for the rest of the field stars. As a first approximation, we considered $\phi_{\rm ai}$ a circular function and $\phi_{\rm gi}$ an elliptical one.

$\displaystyle \phi_{\rm fi}(\mu_{\rm xi},\mu_{\rm yi})=\phi_{\rm ai}(\mu_{\rm xi},\mu_{\rm yi}) + \phi_{\rm gi}(\mu_{\rm xi},\mu_{\rm yi}),$   (13)

where
                   $\displaystyle \phi_{\rm ai}(\mu_{\rm xi},\mu_{\rm yi})$ = $\displaystyle {N_{\rm a} \over 2\pi\sigma_{\rm a}^2}$  
  $\textstyle \quad \times$ $\displaystyle \exp\left[-{(\mu_{\rm xi}-\mu_{\rm xa})^2 + (\mu_{\rm yi}- \mu_{\rm ya})^2\over 2\sigma_{\rm a}^2}\right],$ (14)

and
                  $\displaystyle \phi_{\rm gi}(\mu_{\rm xi},\mu_{\rm yi})$ = $\displaystyle {N_g \over 2\pi\sigma_{\rm xg}\sigma_{\rm yg}}$  
  $\textstyle \quad \times$ $\displaystyle \exp\left[-{(\mu_{\rm xi}-\mu_{\rm xg})^2\over 2\sigma_{\rm xg}^2} -
{(\mu_{\rm yi}- \mu_{\rm yg})^2\over 2\sigma_{\rm yg}^2}\right],$ (15)

where $\sigma_{\rm xg}$, $\sigma_{\rm yg}$ are the elliptical dispersions for the field stars, $\sigma_{\rm a}$ circular dispersion for the association stars, $\mu_{\rm xg}$, $\mu_{\rm yg}$ the field mean proper motion and $\mu_{\rm xa}$, $\mu_{\rm ya}$ is the association mean proper motion, $N_{\rm a}$ is the number of the members of the association. If Ng is set equal to $N_f-N_{\rm a}$, these nine parameters present in Eqs. (14) and (15) would be found by applying the maximum likelihood principle. It would determined the association and field unknowns.

The probability for the ith star has been calculated as

\begin{displaymath}
P_{\rm ai}(\mu_{\rm xi},\mu_{\rm yi})= {\phi_{\rm ai}(\mu_{\...
..._{\rm yi})\over \phi_{\rm fi}(\mu_{\rm xi},\mu_{\rm yi})}\cdot
\end{displaymath} (16)

4.2 Some results

We analysed the proper motion data of the Nf= 420 stars and applied the method of the maximum likelihood to Eqs. (14) and (15). The parameters for the association were found to be $N_{\rm a} = 149$, $\mu_{\rm xa}= -2.48\pm0.16$ mas/yr, $\mu_{\rm ya}= -0.91\pm0.14$ mas/yr, $\sigma_{\rm a}=2.48\pm0.12$ mas/yr or in usual equatorial components $\mu_{\alpha}\cos\delta= -1.38\pm0.14$ mas/yr, $\mu_{\delta} = 2.26\pm0.16$ mas/yr.

The field parameters are Ng=271, $\mu_{\rm xg}= -2.30\pm0.49$ mas/yr, $\mu_{\rm yg}= -2.46\pm0.34$ mas/yr, $\sigma_{\rm xg}= 7.26\pm0.21$ mas/yr and $\sigma_{\rm yg}= 5.04\pm0.18$ mas/yr or in usual equatorial components $\mu_{\alpha \cos\delta}= -2.86\pm0.36$ mas/yr, $\mu_{\delta}= 1.78\pm0.48$ mas/yr.

The membership probability of the ith star was given by Eq. (16). The contamination effect in the astrometric-members due to the field stars would be minimized by adding a photometric analysis. Table 6 (only available in electronic form at the CDS) list the following information of the astrometric members: $N_{\rm cat}$ is the numbering of the CCAC catalogue, r in arcmin is the distance from the cluster centre, ($\alpha$, $\delta$) in degrees are the coordinates, $\mu_{\alpha}\cos\delta$ and $\mu_\delta$ in mas/yr are the components of the proper motion, $P_{\rm a}$ is the probability, TY is Tycho-2 identifier, $B_{\rm T}$ and $V_{\rm T}$ are Tycho-2 magnitudes, $e_{\rm BT}$ and $e_{\rm VT}$ are their respective errors.

This table shows that only 86 astrometric members have been identified as Tycho-2 stars. Adopting the same values of the cluster analysis for the colour excess E(B-V) and for the interstellar absorption Av, a CMD was drawn (Fig. 12).

The errors in the values of $B_{\rm T}$ and $V_{\rm T}$ (Figs. 13 and 14) lead to doutbful parameters for fainter magnitudes. Consequently, two empirical ZAMS at the distance modulus V0-MV= 8.1 mag and V0-MV= 9.1 mag were fitted up to the 11th mag, placing 11 astrometric members between 417 and 660 pc (stars 159, 169, 171, 210, 227, 228, 7505, 7604, 7752, 7802 and 7899). An exahustive study of the region is necesary to obtain more accurated photometric data.

5 Concluding remarks

We try to resolve the discrepancy present in the literature about the region of the open cluster Cr132. We developed a model based on stellar positions and proper motions to analyse a stellar region where moving groups can be found. These astrometric data were taken from the CCAC catalogue. It was constructed by reducing four CdC and one AC plates between 1913.16 and 1923.13 from the Córdoba Astronomical Observatory.

\begin{figure}
\par\includegraphics[width=8.6cm,clip]{13741fg12.eps}
\end{figure} Figure 12:

Color magnitude diagram of 86 Tycho-2 astrometric members of the association. Black circles represent the astrometric and photometric members, white circles represent only the astrometric ones (see detailed discussion in the text).

Open with DEXTER

\begin{figure}
\par\includegraphics[width=8.6cm,clip]{13741fg13.eps}
\end{figure} Figure 13:

Error in $B_{\rm T}$ Tycho-2 magnitudes.

Open with DEXTER

\begin{figure}
\par\includegraphics[width=8.6cm,clip]{13741fg14.eps} \vspace*{1.5mm}
\end{figure} Figure 14:

Error in $V_{\rm T}$ Tycho-2 magnitudes.

Open with DEXTER

From the analysis of the proper motion distribution and stellar projected density in a region containing 491 stars, it is possible to detect an open cluster whose centre has been newly determined. The mean proper motion was calculated, and initially 13 stars were found as astrometric members. The photometric Tycho-2 data available for eight astrometric members confirmed that only six are cluster members and locate the cluster at 360 pc from the Sun. Our results determined that the angular diameter is $20\hbox{$^\prime$ }$.

Besides, we continued analysing the region excluding cluster members and identified an over-density in the VPD, which made us suppose that an association exists. A simple model of the proper motion distribution led us to calculate the mean proper motion of the association and to identify 149 astrometric members. The photometric Tycho-2 data of 86 astrometric members showed that 11 of them with reliable data are located between 417 pc and 660 pc. A better photometric study of the region and afterwards an improved association proper motion distribution are needed in order to resolve the controversy on this object.

Acknowledgements
We thank the referee for many helpful comments that significantly improved the manuscript. This work is supported by the PIP 6373 grant from Consejo Nacional de Investigaciones Científicas y Técnicas (CONICET).

References

  1. Baumgardt, H. 1998, A&A, 340, 402 [NASA ADS] [Google Scholar]
  2. Bertin, E., & Arnouts, S. 1996, A&AS, 117, 393 [NASA ADS] [CrossRef] [EDP Sciences] [Google Scholar]
  3. Bustos Fierro, I. H., & Calderón, J. H. 2000, Bol. Asoc. Arg. Astron., 44, 62 [NASA ADS] [Google Scholar]
  4. Bustos Fierro, I. H., & Calderón, J. H. 2003, Rev. Mexicana Astron. Astrofis., 39, 303 [Google Scholar]
  5. Caballero, J. A., & Dinis, L. 2008, Astron. Nachr., 329, 801 [NASA ADS] [CrossRef] [Google Scholar]
  6. Calderón, J. H., Bustos Fierro, I. H., Melia, R., et al. 2004, Ap&SS, 290, 345 [NASA ADS] [CrossRef] [Google Scholar]
  7. Clariá, J. J. 1977, A&AS, 27, 145 [Google Scholar]
  8. Collinder, P. 1931, Medd. Lunds. Astron. Obs. 2. [Google Scholar]
  9. Dias, W. S., Alessi, B. S., Moitinho, A., et al. 2002, A&A, 389, 871 [NASA ADS] [CrossRef] [EDP Sciences] [Google Scholar]
  10. Dick, W. R., Tucholke, H. J., Brosche, P., et al. 1993, A&A, 279, 267 [NASA ADS] [Google Scholar]
  11. Eggen, O. J. 1983, AJ, 88, 197 [NASA ADS] [CrossRef] [Google Scholar]
  12. Geffert, M., Bonnefond, P., Maintz, G., et al. 1996, A&AS, 118, 277 [Google Scholar]
  13. Giorgi, E., Vázquez, R. A., Solivella, G. R., et al. 2007, New A, 12, 461 [NASA ADS] [CrossRef] [Google Scholar]
  14. Høg, E., Fabricius, C., Makarov, V. V., et al. 2000, A&A, 355, L27 [NASA ADS] [Google Scholar]
  15. Jones, B. F., & Walker, M. F. 1988, AJ, 95, 1755 [NASA ADS] [CrossRef] [Google Scholar]
  16. Kharchenko, N. V., Piskunov, A. E., Röser, S., et al. 2005, A&A, 438, 1163 [NASA ADS] [CrossRef] [EDP Sciences] [MathSciNet] [Google Scholar]
  17. Monet, D. G., Levine, S. E., Canzian, B., et al. 2003, AJ, 125, 984 [NASA ADS] [CrossRef] [Google Scholar]
  18. Orellana, R. B., & De Biasi, M. S. 2006, Bol. Asoc. Arg. Astron. , 49, 93. [NASA ADS] [Google Scholar]
  19. Orellana, R. B., & De Biasi, M. S. 2008a, Rev. Mex. Astron. Astrofis. Conf. Ser., 34, 111. [NASA ADS] [Google Scholar]
  20. Orellana, R. B., & De Biasi, M. S. 2008b, Bol. Asoc. Arg. Astron., 51, 93. [NASA ADS] [Google Scholar]
  21. Ortiz Gil, A., Hiesgen, M., & Brosche, P. 1998, A&AS, 128, 621 [Google Scholar]
  22. Robichon, N., Arenou, F., Mermilliod, J.-C., et al. 1999, A&A, 345, 471 [NASA ADS] [Google Scholar]
  23. Sanders, W. L. 1971, A&A, 14, 226 [NASA ADS] [Google Scholar]
  24. Shao, Z. Y., & Zhao, J. L. 1996, Acta Astron. Sin., 37, 377 [NASA ADS] [Google Scholar]
  25. Schmidt-Kaler, Th. 1982, ed. N. S. Landolt-Börnstein, VI/2b (Berlin, Heidelberg, New York: Springer), 1 [Google Scholar]
  26. Stock, J., & Abad, C. 1988, Rev. Mexicana Astron. Astrofis., 16, 63 [Google Scholar]
  27. Su, C. G., Zhao, J. L., & Tian, K. P. 1998, A&AS, 128, 255 [Google Scholar]
  28. van den Bergh, S., & Sher, D. 1960, Publ. David Dunlap Obs., 2, 203 [Google Scholar]
  29. Vasilevskis, S., Klemona, A., Preston, G. 1958, AJ, 63, 387 [NASA ADS] [CrossRef] [Google Scholar]
  30. Zacharias, N., Urban, S. E., Zacharias, M. I., et al. 2004, AJ, 127, 3043 [NASA ADS] [CrossRef] [Google Scholar]

Footnotes

... plates[*]
The Córdoba CdC-AC Catalogue (CCAC) and Table 6 are only available in electronic form at the CDS via anonymous ftp to cdsarc.u-strasbg.fr (130.79.128.5) or via http://cdsarc.u-strasbg.fr/viz-bin/qcat?J/A+A/521/A39
Copyright ESO 2010

All Tables

Table 1:   Plate position diagram.

Table 2:   Median of the internal errors of the proper motions.

Table 3:   Errors in proper motions.

Table 4:   Data of Cr 132 available in the literature.

Table 5:   Astrometric cluster members of Cr 132.

All Figures

  \begin{figure}
\par\includegraphics[width=9cm,clip]{13741fg1.eps}
\end{figure} Figure 1:

Region near the plate centre in a Córdoba CdC plate ( left) and in an AC plate ( right). The multiple exposures, scratches, and emulsion granularity can be observed.

Open with DEXTER
In the text

  \begin{figure}
\par\includegraphics[width=17cm]{13741fg2.eps}
\vspace*{8mm}
\end{figure} Figure 2:

Selected Córdoba plates covering the area around Collinder 132.

Open with DEXTER
In the text

  \begin{figure}
\par\mbox{\includegraphics[width=8.5cm]{13741fg3a.eps} \includegraphics[width=8.5cm]{13741fg3b.eps} }\end{figure} Figure 3:

Residuals in both equatorial coordinates obtained through the individual reduction method. No systematic behaviour is observed.

Open with DEXTER
In the text

  \begin{figure}
\par\mbox{\includegraphics[width=8.5cm]{13741fg4a.eps} \includegraphics[width=8.5cm]{13741fg4b.eps} }\end{figure} Figure 4:

Distribution of internal errors for stars with proper motions from two epochs ( left) and from three epochs ( right).

Open with DEXTER
In the text

  \begin{figure}
\par\includegraphics[width=9cm,clip]{13741fg5.eps}
\end{figure} Figure 5:

Projected density map of UCAC2 stars in the studied region. The scale of gray represent the different values of the density. The point with the highest density was adopted as the centre of the cluster.

Open with DEXTER
In the text

  \begin{figure}
\par\includegraphics[width=9cm]{13741fg6.eps}
\end{figure} Figure 6:

Stellar positions in the region of Collinder 132 at the epoch 1923.04. Black circles represent the astrometric cluster-members and crosses the rest of the region's stars.

Open with DEXTER
In the text

  \begin{figure}
\par\includegraphics[width=9cm]{13741fg7.eps}
\end{figure} Figure 7:

Vector point diagram in the region of Collinder 132. Black circles represent the astrometric cluster-members and crosses the rest of the stars of the elliptical subregion.

Open with DEXTER
In the text

  \begin{figure}
\par\includegraphics[width=9cm]{13741fg8.eps}
\end{figure} Figure 8:

Stellar density profiles in the region of Collinder 132 as a function of the distance from the cluster centre. The plots represent the stellar radial density profiles of the stars in the elliptical subregion (black circles), and the function $\rho (r)$ (white circles).

Open with DEXTER
In the text

  \begin{figure}
\par\includegraphics[width=9cm]{13741fg9.eps}
\end{figure} Figure 9:

Color magnitude diagram of the eight Tycho-2 astrometric cluster members. (See detailed discussion in the text).

Open with DEXTER
In the text

  \begin{figure}
\par\includegraphics[width=8.6cm,clip]{13741fg10.eps}
\end{figure} Figure 10:

Stellar positions in the new region at the epoch 1923.04. Black circles represent the astrometric and photometric association-members, white circles represent the astrometric ones and crosses the rest of the new region's stars.

Open with DEXTER
In the text

  \begin{figure}
\par\includegraphics[width=8.6cm,clip]{13741fg11.eps}
\end{figure} Figure 11:

Vector point diagram in the new region. Black circles represent the astrometric and photometric association-members, white circles represent the astrometric ones and crosses the rest of the new region's stars.

Open with DEXTER
In the text

  \begin{figure}
\par\includegraphics[width=8.6cm,clip]{13741fg12.eps}
\end{figure} Figure 12:

Color magnitude diagram of 86 Tycho-2 astrometric members of the association. Black circles represent the astrometric and photometric members, white circles represent only the astrometric ones (see detailed discussion in the text).

Open with DEXTER
In the text

  \begin{figure}
\par\includegraphics[width=8.6cm,clip]{13741fg13.eps}
\end{figure} Figure 13:

Error in $B_{\rm T}$ Tycho-2 magnitudes.

Open with DEXTER
In the text

  \begin{figure}
\par\includegraphics[width=8.6cm,clip]{13741fg14.eps} \vspace*{1.5mm}
\end{figure} Figure 14:

Error in $V_{\rm T}$ Tycho-2 magnitudes.

Open with DEXTER
In the text


Copyright ESO 2010

Current usage metrics show cumulative count of Article Views (full-text article views including HTML views, PDF and ePub downloads, according to the available data) and Abstracts Views on Vision4Press platform.

Data correspond to usage on the plateform after 2015. The current usage metrics is available 48-96 hours after online publication and is updated daily on week days.

Initial download of the metrics may take a while.