| Issue |
A&A
Volume 521, October 2010
|
|
|---|---|---|
| Article Number | A62 | |
| Number of page(s) | 26 | |
| Section | Stellar structure and evolution | |
| DOI | https://doi.org/10.1051/0004-6361/201014307 | |
| Published online | 21 October 2010 | |
AmFm and lithium gap stars
Stellar evolution models with mass loss
M. Vick1,3 - G. Michaud2,3 - J. Richer3 - O. Richard1
1 - GRAAL UMR 5024, Université Montpellier II, CC072, Place E.
Bataillon, 34095 Montpellier Cedex 05, France
2 - LUTH, Observatoire de Paris, CNRS, Université Paris Diderot, 5
place Jules Janssen, 92190 Meudon, France
3 - Département de physique, Université de Montréal, Montréal, Québec,
H3C 3J7, Canada
Received 23 February 2010 / Accepted 13 June 2010
Abstract
Aims. A thorough study of the effects of mass loss
on internal and surface abundances of A and F stars is carried out in
order to constrain mass loss rates for these stars, as well as further
elucidate some of the processes which compete with atomic diffusion.
Methods. Self-consistent stellar evolution models
of 1.3 to 2.5
stars
including atomic diffusion and radiative accelerations for all
species within the OPAL opacity database were computed with mass loss
and compared to observations as well as previous calculations with
turbulent mixing.
Results. Models with unseparated mass loss rates
between
and
reproduce observations for many cluster AmFm stars as well as
Sirius A and o Leonis. These
models also explain cool Fm stars, but not the Hyades lithium gap. Like
turbulent mixing, these mass loss rates reduce surface abundance
anomalies; however, their effects are very different with respect to
internal abundances. For most of the main-sequence lifetime of an A or
F star, surface abundances in the presence of such mass loss depend on
separation which takes place between
and -5.
Conclusions. The current observational constraints
do not allow us to conclude that mass loss is to be preferred over
turbulent mixing (induced by rotation or otherwise) in order to explain
the AmFm phenomenon. Internal concentration variations which could be
detectable through asteroseismic tests should provide further
information. If atomic diffusion coupled with mass loss are to explain
the Hyades Li gap, the wind would need to be separated.
Key words: diffusion - stars: mass-loss - stars: evolution - stars: chemically peculiar - stars: abundances - open clusters and associations: individual: Hyades
1 Astrophysical context
As instruments become more sophisticated and precise observations are readily made available for a growing number of chemical elements, additional constraints are steering the evolution of stellar models. The inclusion of atomic diffusion and radiative accelerations into the standard stellar evolution model resulted in some early success in describing abundance patterns for AmFm stars (Turcotte et al. 1998a). In these models, particle transport within the radiative zone was calculated from all physics known through first principles. However, the calculated surface anomalies were greater than the observed anomalies, and it was determined that additional transport processes were flattening the surface abundance patterns. With the addition of turbulent mixing, the Montreal group's stellar evolution code (Talon et al. 2006; Michaud et al. 2005; Richard et al. 2001; Michaud et al. 2004; Richer et al. 2000) was able to explain and reproduce the particular abundances of many cluster and field stars with a single tunable parameter: the mixed mass. Nonetheless, other studies have suggested that mass loss could also reduce the predicted anomalies to observed levels (Michaud & Charland 1986; Alecian 1996; Michaud et al. 1983). Since these studies considered static stellar models incorporating a limited number of species, a rigorous investigation of the effects of mass loss on stellar chemical evolution is warranted. Previously, Vauclair & Charbonnel (1995) have introduced mass loss to reduce the effect of Li settling in Pop II evolutionary models.
AmFm stars (7000
10 000 K)
are slowly rotating (
km s-1,
Abt 2000), non-magnetic stars
of the main-sequence (MS). They
are interesting candidates for testing evolutionary models because they
lie within the temperature range for which the depth of the surface
convection zone varies quite rapidly. Chemical separation within the
stable radiative zones of these stars generates
surface abundance anomalies within timescales that depend strongly on
the depth of the surface convection zone, although the exact depth at
which the separation occurs is still debated. The original explanation
for these chemically peculiar stars stipulated that the separation
occurred immediately below the surface H convection zone (Alecian 1996,1986; Watson 1971);
however, with the inclusion of turbulent mixing, more recent models
(Richer et al. 2000)
have suggested that separation occurs much deeper in the star (T > 200 000 K).
Though the second scenario
has had success not only with AmFm stars, but also with Pop II
(Korn
et al. 2006; Richard et al. 2005)
and Horizontal Branch (HB) stars
(Michaud
et al. 2008,2007), it is still premature to
accept turbulence as the sought-after macrospcopic process since all
models with turbulence necessarily involve at least one
adjustable parameter. Turbulence models often implicitely assume a link
between turbulence and
rotation; however, even the most slowly rotating AmFm stars have
anomalies
which are significantly smaller than those obtained with atomic
diffusion only models. This suggests the presence of a competing
process even in non rotating stars.
Typical anomalies on the surface of AmFm stars include overabundances of iron peak elements, as well as underabundances of Ca and/or Sc (see Cayrel et al. 1991, for a more complete description). Recent studies have obtained abundance determinations for numerous A and F stars of open clusters for a number of chemical species (Burkhart & Coupry 2000; Monier 2005; Gebran et al. 2008; Gebran & Monier 2008; Fossati et al. 2007; Hui-Bon-Hoa 2000) in an effort to confront relatively well constrained stars to current evolutionary models. The advantage of observing cluster stars is that they generally have the same age and initial metallicity, which greatly facilitates a comparison with models.
At the cool end of the Fm star domain, the well documented Li
dip, first observed in the Hyades open cluster (Boesgaard & Tripicco 1986),
has challenged theoretical astronomers for decades (Michaud 1986;
Michaud
& Charbonneau 1991; Vauclair 1988; Talon &
Charbonnel 2005). The lithium abundance has also been
observed in many other open clusters (e.g. Burkhart & Coupry 2000;
Balachandran
1995; Anthony-Twarog
et al. 2009).
The Be abundances in these stars (Boesgaard et al. 2004;
Randich
et al. 2007; Boesgaard & King 2002)
provide additional constraints on particle transport. Recently, Talon &
Charbonnel (2003,2005) have modeled shear
turbulence induced by differential rotation and mixing induced by
internal gravity waves in order
to describe both the hot and cold side of the dip. Other models have
also
explored the effects of horizontal
-gradients on rotationally induced mixing in
these stars
(Palacios et al. 2003).
However, the potential effects of atomic diffusion, more specifically
of radiative accelerations, in competition with mass loss, were not
fully investigated.
At some level, mass loss is present in all stars, and it is
important to quantify its effects on observed abundances.
Unfortunately, for A and F stars in particular, the mass loss rates are
not known. In O and B stars, the radiatively driven winds produce mass
loss rates as important as 10-4
(Lamers & Cassinelli 1999).
In colder stars of types G and K, winds are driven by
active coronas. The best known example is the solar wind which has a
mass loss rate of 2
10-14
(Feldman et al. 1977).
For intermediate stars, our understanding is at best nebulous. Abbott (1982) suggests that
radiative accelerations are too small in stars with
K
for radiatively driven mass loss to be significant. On the other hand,
the thinning of the surface convection zone
in F and particularly in A stars might be too important for
solar type winds to exist (Parker 1960).
Are winds of A and F stars driven by radiation, coronal heating, both
or neither? What are the expected mass loss rates? Both of these
questions remain unanswered, and answering one could shed light on the
other.
Observational constraints on A and F star mass loss rates are
limited. Lanz & Catala (1992)
as well as Brown et al. (1990)
gave an upper limit of 10-10
for
main sequence A stars. Asymmetries in Mg II spectral lines of
Sirius A led Bertin
et al. (1995) to conclude that mass loss is present
with a rate between 10-13
and
10-12
.
On the theoretical side, the radiatively driven wind model of Babel (1995) suggests a mass loss
rate of 10-16
for
A stars. However, according to his results, only heavier elements
are evacuated by the radiative field. Similarly, Michaud et al. (1983, see also
Michaud & Charland 1986)
suggested that mass loss rates between 10-14
and
10-15
could
satisfy observational constraints from CP star surface anomalies.
Given the large disparity in values, the mass loss rates used in this
study will be constrained strictly by surface abundance variations (see
also Sect. 4.2).
In this paper, we consider mass loss in non rotating stars. In these stars, mass loss is arguably the only macroscopic process competing with atomic diffusion within the radiative zones. We will start with a brief description of our stellar evolution code in Sect. 2 after which we will discuss the method for calculating radiative accelerations for lithium, beryllium and boron (Sect. 3). In Sect. 4 we will describe the treatment of mass loss. In Sect. 5 we will discuss its effect on internal structure and surface abundances as the models move along the main-sequence and the subgiant branch. In Sects. 6 and 7 we will compare our models to turbulence models and observations respectively. In Sect. 8, a brief overview of the main results will be followed by a discussion on how asteroseismology could help decipher the effects of advective processes including meridional circulation from those incurred through turbulent processes caused by differential rotation.
2 Calculations
This paper is part of the Montreal stellar model development project (Richard et al. 2001; Turcotte et al. 1998b and references therein). The models were evolved from the initially chemically homogeneous pre-main-sequence
|
Figure 1:
H-R diagram for all the models shown in Fig. 4. Though all
models were calculated from the PMS to the bottom of the subgiant
branch, the complete tracks are only shown for the 1.7 and
2.3
|
| Open with DEXTER | |
The chosen values of the mixing length parameter and initial
He fraction are respectively
and Y0=0.27769
(see Model H of Turcotte
et al. 1998b), which are calibrated by fitting the
current solar radius and luminosity. We chose
Z0=0.01999
as the initial mass fraction of metals
.
Some models were also calculated for Z0=0.01
and Z0=0.03.
These are the first fully self-consistent stellar models which
include mass loss. Models were calculated from 1.30
to
2.50
.
The mass loss rates considered vary from 1
10-16
to
1
10-12
.
Our treatment of mass loss will be further discussed in Sect. 4.1.
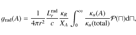
3 Radiative accelerations
Rosseland opacities as well as radiative accelerations are continuously
computed for all 28 species as the relative concentration of
each species varies with time. For all elements included in the OPAL
database (Iglesias & Rogers
1996), the radiative acceleration calculations are carried
out using direct summations over the actual spectrum (i.e.
opacity sampling,
see Richer et al. 1998).
At large optical depths (where the diffusion approximation is valid),
the radiative acceleration,
(A),
of an element A at a radius r
in a star may be approximated by:
where
|
(2) |
The radiative luminosity at a radius r is
| (3) |
Since the competition for photons between element A and all other elements present in the plasma determines the value of
The corrections for redistribution of momentum are from Gonzalez et al. (1995) and LeBlanc et al. (2000).
3.1 Radiative accelerations for Li, Be and B
3.1.1 Methods
Li, Be, and B are not included in OPAL since they are not significant
in the calculation of Rosseland mean opacity
.
We have nonetheless computed the radiative accelerations in a manner
which is consistent with OPAL spectra. The various corrections
determined by
Richer et al. (1997)
are also included.
The atomic data required for LiBeB are taken from Wiese
et al. (1966). Since
these elements are not sufficiently abundant for pressure broadening to
be important (the lines are never saturated), only oscillator strengths
are required to compute opacities.
The calculation of
for these elements is delicate because of two factors which can lead to
large fluctuations: (1) non optimal frequency sampling and (2) random
background changes.
Both problems arise from the fact that LiBeB not only have very few
lines contributing to their
,
but these lines are also very narrow.
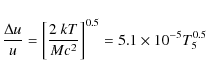
(1) The fluctuations due to sampling not being sufficiently
refined
has an effect on Li as well as on the background (see Fig. 2). The Doppler
width of a
line is given by:
where u is the adimensional energy difference between the upper and lower levels of the transition, M is the mass of the element, T is the local temperature and T5=T/105 K. In this case, one typically has
which is to be compared to the frequency grid interval,
Likewise, the sampling is not refined enough to reproduce all features of the background spectra (see Fig. 3 of Richer et al. 1998). Variations can therefore result from overlooking an important background line which occurs near a lithium line.
(2) The frequency sampling grid is a function of u
and not of
.
Therefore, when one considers an adjacent grid point of
different T, the background, as a function
of u, changes, and the consequent random
variation in background affects the flux available for a specific
lithium line. This is largely due to the narrowness of most lines. For
example, in the inset of Fig. 2, the Li line
does not encounter any important Fe line
for that specific (
,
T) table; however, in the inset of Fig. 1
of Richer & Michaud (2005),
which
shows the same u interval for a different (
,
T) table, the Li line is overlapped by a
strong Fe line, and the available flux is consequently reduced.
|
Figure 2:
Opacity spectra for Li, Fe as well as the total opacity in cm2 g-1
at a depth where |
| Open with DEXTER | |
One can alleviate these problems by combining a modified version of the
opacity sampling method with the known position of all the line centers
for LiBeB. In order to reduce the
fluctuations, while preparing the spectra of, say, Li, for the
calculations of
(Li),
it was assumed that each Li line was
spread uniformly over the
interval in which the Li line
center occurs (i.e. the Li lines become square functions of width
and so
it becomes impossible for the sampling to overlook them). This will
leave fluctuations caused by
random variations of the opacity background when the line
center moves from one
interval to another (2), but the variations due to
non optimal sampling (1) will be reduced significantly.
Note that if the frequency sampling is refined (e.g. 105 as in OP data) in order to better represent the background spectra, errors due to the inexact position (in frequency) of each background feature remain. The line center positions for Fe, the main contributor to the total opacity in this region, are only known to about 1%.
The resulting error bars on
are discussed in Sect. 3 of Richer
& Michaud (2005). As an example, for Population I
stars, there is a factor of 2 uncertainty for
(Li).
In Pop II stars, the uncertainty is much less important (e.g.
only 3% for a star with Z=0.0001).
The same errors and limitations should be expected for
scandium around the minima of its
since the radiative
accelerations in these regions are computed with only a few narrow
lines. Unfortunately, Sc is not included in OPAL data, and its
must be calculated through alternate methods (LeBlanc
& Alecian 2008).
|
Figure 3:
Variation of radiative accelerations with temperature for Li and Be at
100 Myr (dotted line), 700 Myr (dashed line) and
1.3 Gyr (long dashed line) in a 1.55
|
| Open with DEXTER | |
3.1.2 Results
The radiative accelerations for Li and Be are shown in Fig. 3 for a star of 1.55In the 1.47
model,
(Li)
has about the same value as in the 1.55
model
for
,
but, for
it is reduced
by the competition of Fe, which absorbs most of the flux where the Li
lines are important. This occurs when
mass loss is small enough for Fe to accumulate in and above this
region, as is the case for the
1.47
model
(or in the 1.50
model
with a mass loss rate of
shown
in Fig. 5).
On the other hand,
(Be)
does not vary with Fe abundance likely because
most Be
lines, particularly the ones which contribute the most to its
,
lie outside of the
frequency interval which is dominated by Fe lines.
The horizontal arrows in Fig. 3 show the
total movement of the bottom of
the surface convection zone (BSCZ) for 4 models without mass
loss (1.40, 1.43, 1.45 and 1.47
),
as well as for a model of 1.55
with
a mass loss rate of
.
The interval for which the BSCZ is plotted
spans from 50 Myr to 625 Myr for all models except
for the 1.47
,
model
which goes from 50 Myr to 425 Myr (the simulation's
last converged model). For most models, the depth of the BSCZ does not
vary much between 50 and 625 Myr (most of the
main-sequence lifetime before
the age of the Hyades cluster); however, for the 1.47
model,
the BSCZ moves significantly and extends over an interval in
which
(Li)
also varies significantly.
If we compare the curves for the 1.55
model
with those shown in Fig. 1 of Richer
& Michaud (1993), we first note the similarity in the
temperature dependence
of the curves. For Li, we have verified that they are nearly equal for
.
The maxima occur at very nearly the same temperature as well. However,
the maximum values of
(Li)
and
(Be)
are respectively about 2 and 6 times larger in Richer
& Michaud (1993). Furthermore, their results show
very smooth curves
compared to the many variations seen in our calculations.
Although there is a slight difference in stellar mass
(a 1.54
model
is shown in Fig. 1 of Richer
& Michaud 1993), this cannot account for the
relatively large differences close to
the maximum. There are nonetheless a few other explanations. Our
calculations were carried out with integrations over
complete OPAL spectra for all species at each time step and each mesh
point. Since these spectra were not available in
1993, the calculations of Richer
& Michaud (1993) were done using averaged spectra
whose frequency
dependence (Eq. (18) of Borsenberger
et al. 1979) did not include the frequency
dependence of
Fe lines, particularly near
K,
where
(Li)
is affected the most. From Fig. 2, one can see
that Fe lines dominate
the region where Li lines are strongest. As Fe lines which occur near
Li lines were absent in the old opacities, the available flux for Li
lines is very
different (see Sect. 3.1.1).
Moreover, the evolution of individual metal abundances and its impact on local opacity are not included in the calculations of Richer & Michaud (1993). This is particularly important in AmFm stars since heavier metals such as iron and nickel tend to accumulate below the surface convection zone when mass loss is not too strong.
4 Mass loss
We first discuss how to include mass loss in evolutionary models (Sect. 4.1). In Sect. 4.2, we discuss a few theoretical analyses of coronal and radiatively driven winds followed by a brief look into separated winds4.1 Treatment of mass loss
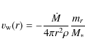
Mass loss is assumed spherical and chemically unseparated. If we simply
apply mass conservation arguments, the net result of mass loss is the
appearance of an outward flowing interior velocity due to the wind:
where
with a Neumann condition imposed at the surface and with
Here, c is the time and depth dependent composition, D the total diffusion coefficient,
4.1.1 Mass flux equation
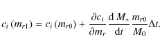
Mass loss has the effect of ejecting (or peeling) the outermost layers of a stellar model. The model must then be reconverged with a slightly reduced mass. This scenario can be described within the formalism of operator splitting. If a massTo implement mass loss in a stellar evolution code, one can
imagine the solution process to be broken down into 2 steps. In a first
step, the model can be converged at a time t1as
if there were no mass loss, with the composition changes due to nuclear
reactions and diffusion processes. Then, the grid at t1
is reinterpreted as
corresponding to a mass
with
all variables expressed as a function
of mr/M*
except for the composition which is kept unchanged as a function of mr.
The star is then reconverged a second time at t1
with a mass M1 and with the
concentration
profiles which include the effect of mass loss. As more mass is lost,
the model inches toward less massive structures, and so evolution
progressively corresponds to that of a lower mass star. This is a
correct description of mass loss which in practice is as accurate as
the operator splitting
procedure is accurate.
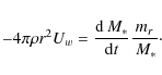
However, going from the mr/M0 to the mr/M* grid while keeping ci as a function of mr implies interpolating. In practice, performing interpolations on ci during computations can introduce unwanted numerical diffusivity. It is relatively easy to show that these interpolations on ci resulting from mass loss can be avoided by introducing a local mass flux into the conservation equation, while keeping the grid constant (i.e. the grid points have the same values of mr/M* in spite of M* varying from M0 to M1).
Let us consider the concentration on a grid point (mr/M*)
at t1 as a function of the
concentration on the same grid point
at t0. The grid points shift
on the mr
axis. Then
which is a simple Taylor series development and where
By definition, mr1 is the position on the mr axis, of the grid point
which can trivially be solved to give:
Now we substitute Eq. (13) in Eq. (10), replace
The second term on the right has the same effect on ci as the introduction of a flux term
must then be introduced in the conservation equation in order to take into account the effect of the mr shift caused by the peeling of surface layers while keeping the same grid as a function of
For smaller mass loss rates, structural effects of mass loss
are often negligible to the extent that only the shift of ci
remains and mass loss may be viewed as a mass flux going through a star
of constant mass (i.e. it is not necessary to change the stellar mass
during evolution calculations). Consider the case of the present Sun.
Assuming that it is constant in time, its current mass loss rate of
yr-1
leads to a loss of 10-4
up
to the Sun's age which
for most purposes corresponds to negligible structural changes. This is
only
of the mass of the superficial convection zone.
Since we are not certain about the nature of the winds at the surface of A and F stars, the present models do not take into account any energy dissipation which would be required to produce these winds.
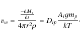
4.2 Stellar winds of A and F stars
This study will use observed surface abundances to constrain mass loss since the stellar winds associated with A and F stars are not well known. The winds could be radiative, coronal, a combination of both or even completely negligeable. Comparisons with stellar wind models are difficult. Indeed, even the hottest A stars maintain a thin surface H convection zone, and stars as early as A7 (and possibly earlier, see Simon & Landsman 1997; Neff & Simon 2008) can support active coronas and chromospheres which could harbor solar type winds. It is also plausible that both mechanisms act simultaneously. A few properties of coronal and radiatively driven winds for A and F stars will be reviewed in the two following subsections, in so far as they relate to chemical separation.4.2.1 Coronal winds
With simple physical considerations, it is possible to obtain an
approximate value of the mass loss rate above which coronal winds are
necessarily unseparated. For a spherically
symmetrical mass loss, the wind velocity (Eq. (6) with Mr=M*)
may be compared to the maximal downward diffusion velocity (given by
the gravitational settling
velocity without any contribution from radiative accelerations).
Equating the two gives an evaluation of the maximum mass loss that
allows for separation to occur. One may then write:
|
(16) |
which can be rewritten as:
|
(17) |
( T5=T/105 K) where Ai and Zi are the atomic mass and atomic number respectively of element i and where the Coulomb term in the calculation of Dip is replaced by an approximate value. This applies both in the atmosphere and in the outer parts of the wind solution. For a solar type wind, assuming an isothermal corona of T=106 K, one obtains a limiting mass loss rate
4.2.2 Radiatively driven winds
Babel (1995) found that for
stars within
K,
all radiatively driven winds must be fully separated. In these stars
the Coulomb coupling is not sufficient to redistribute the momentum
acquired by the heavier, radiatively accelerated elements onto the
bound, more abundant H and He (Krticka et al. 2003; Springmann
& Pauldrach 1992; Owocki & Puls 2002).
Since only metals are ejected from the star, the mass loss rates are
much smaller: between
and
.
However, the multicomponent hydrodynamical model put forth in Babel (1995) and Babel (1996) only considers an
average metal, rather than solving for each metal individually,
therefore metal-specific mass loss rates are not known.
Furthermore, the interaction of radiatively driven winds with magnetic
fields as well as convection is still poorly understood. This is
particularly important for A stars, and the consequent uncertainties
require us to be cautious before constraining our analysis with these
results. For cooler stars, such as F stars, radiative
accelerations are not believed to be able to generate significant mass
loss (Abbott 1982).
Unglaub (2008)
found that radiatively driven winds of sdB stars must be separated
(accelerated metals cannot drag H and He) if the mass
loss is smaller than 10-12
(10 times
larger than the approximate value obtained in
Sect. 4.2.1).
However, although the author's calculations are quite thorough, they
are not complete in so far as some other poorly understood factors
could play a significant role in determining wind properties. How does
convection or magnetic fields, particularly flux tubes, affect the wind
structure and velocity? Furthermore, the omission of line shadowing in
the calculations could have a significant impact on the author's results
. In fact, the author
stipulates in Sect. 6.2 of his article that including line
shadowing could diminish
by a factor of 100 for the stronger photoshperic lines, thus
leading to an overestimation of
by a factor of 10.
4.3 Unseparated vs. separated mass loss
The object of this study is to constrain the effects of mass loss solely via observed abundance anomalies. To do so, we use simple wind models in order to minimize the arbitrariness of the analysis. Accordingly, most calculations were done assuming simple unseparated winds, although a few calculations were also carried out assuming separation in the wind in order to assess potential effects. Three cases of separated winds were considered: (1) only metals are ejected, (2) the separation mimics the solar wind with H treated as a high-FIP (First Ionization Potential; Meyer 1985) element and (3) the separation again mimics the solar wind but with H as a low-FIP element.
In case 1, all metals are ejected with the same composition as
the stellar surface, while H and He remain bound. For this scenario,
mass loss rates were varied from 10-17 to
in
order to
account for the fact that only metals are leaving the star (around 2%
of the superficial mass fraction).
The other scenarios (2 and 3) consider chemical
separation in the solar wind as established by Meyer
(1985), who found that elements with a FIP smaller than
9 eV were approximately 4 times more abundant
relative to hydrogen in the corona than in the photosphere, while
higher-FIP elements, including hydrogen, kept their photospheric
abundances. Although this scenario is generally favored, Meyer (1996) questioned his own
results a decade later by implying that instead of having overabundant
low-FIP elements in the wind, higher-FIP
elements, including H, could be depleted in the corona
. Both configurations are
investigated: case 2 has H as a bound high-FIP
element,
and case 3 has it as a low-FIP element.
Our approach was to divide all elements into two groups: low-FIP
elements (below 11 eV) and high-FIP elements (He, C, N, O, Ne,
Cl and Ar). All low-FIP elements were depleted
4 times faster than high-FIP elements
.
Numerically, in cases (2) and (3), the destruction term in
Eq. (9)
was multiplied by a factor of 4 in the SCZ for all low-FIP
elements. A weight term, which was continuously updated as
concentrations changed in the SCZ, was
added to the denominator for normally depleted high-FIP elements to
account for the fact that
their destruction is not, in this case, proportional to the total mass
loss rate multiplied by individual concentration (Eqs. (7) and (9)) since their
relative concentration
in the photosphere is not the same as in the wind. The interior wind
velocities are not affected since the
term does not depend on relative concentrations, but
simply on the mass loss rate.
5 Evolutionary models
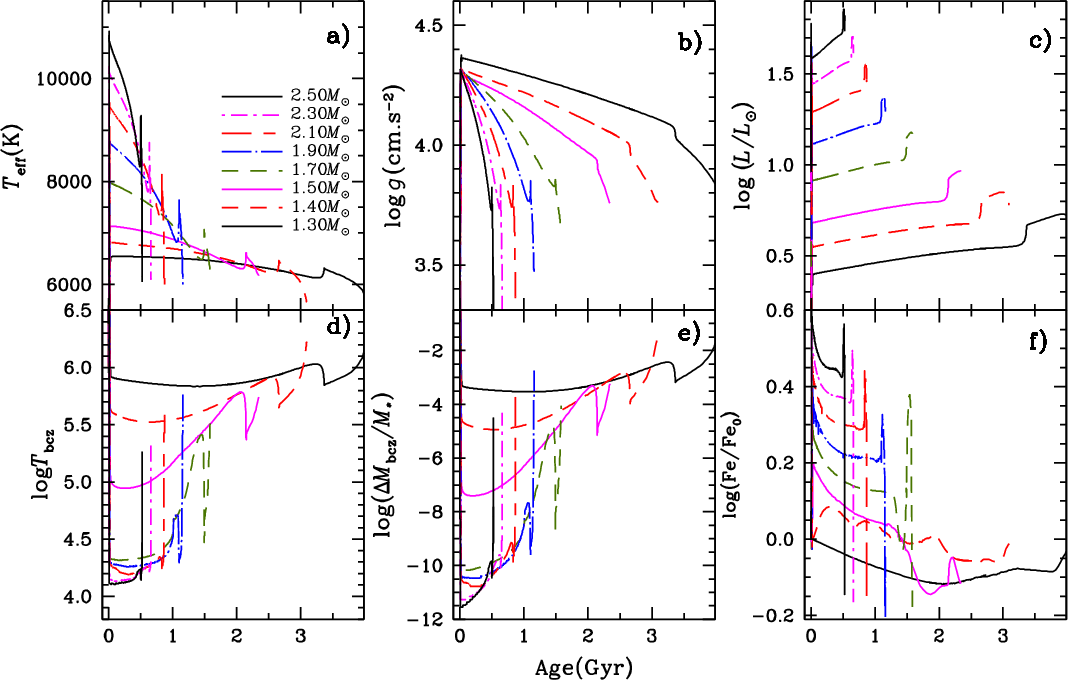
In Fig. 4, the evolution ofThe main-sequence lifetime ranges from about 500 Myr
for the 2.5
model
to more than 3 Gyr for the 1.3
model.
The Fe surface abundance is intimately coupled with the movement
of the surface convection zone; for the models with the thinnest SCZ,
Fe is predicted to be overabundant over most of the MS lifetime (in the
2.5
model
by a factor of about 3).
All models of at least 1.5
are
marked by a rapid Fe abundance peak which occurs at
the beginning of the main sequence. The rise of X(Fe),
which is related to the depth change of the surface convection zone as
the star stabilizes (see Fig. 4f), is so rapid
that it is not resolved in Fig. 4f. Similarly,
there is a sharp spike towards the end of the MS for most models which
is once again
correlated with the sharp variation in SCZ depth (in this case the most
important variation is for the
1.7
model,
which has a difference of a factor of 2.5 in
Fe abundance within less than 100 Myr). As we will
see in
the following sections, these variations are larger when the mass loss
rate is smaller.
|
Figure 4:
Evolution of
|
| Open with DEXTER | |
5.1 Radiative accelerations, internal abundance variations and structure
In Figs. 5 and 6 the radiative accelerations as well as the corresponding spatial abundance variations for a few selected elements are shown for models of 1.5
|
Figure 5:
(Top row) Radiative accelerations (solid line) and
local gravity (dotted line) for a few selected elements in a
1.5
|
| Open with DEXTER | |
The MS lifetime of the 1.5
model
is about 2 Gyr whereas the 2.5
star
has a MS lifetime of about 520 Myr (see Fig. 4). The
1.5
model
with a
mass loss rate of
(see bottom panel of Fig. 5) was stopped
at 575 Myr because the solution became numerically unstable.
Throughout most of the stellar envelope, the mass loss rate
does not significantly affect the resulting
s,
as seen in the upper row of Fig. 5. However, if
mass loss is small enough to permit iron peak accumulation below the
SCZ, as is the case for the 1.50W1E-14 model,
then all
s
will be affected by competition in the region where metals have
accumulated.
We present in Sects. 5.1.1 and 5.1.2 approximate equations which will facilitate the interpretation of the detailed solutions shown in Figs. 5 and 6, which will be discussed in Sect. 5.2.
5.1.1 The interior wind solution
Consider the approximate solution to Eq. (7), in a regime
for which the
term is small compared to the others (which is true over most of the MS
lifetime). Then one may write:
if nuclear terms are negligeable, which is true for the stellar envelope, and
where
Here A and Z are the atomic mass and charge number respectively, and
which expresses the conservation of particle flux throughout the stellar envelope. In this discussion, for the purpose of illustration, one may also neglect the term involving
The implications of flux conservation are illustrated in
Fig. 7
for three atomic species (Ca, Mn and Ni) from the 2.5
model
of Fig. 6.
|
Figure 6:
Top row Radiative accelerations (solid line)
and local gravity (dotted line) in a 2.5
|
| Open with DEXTER | |
The net elemental flux toward the surface quickly becomes
nearly constant in time once the local abundance has adjusted itself to
conserve the flux. The remaining slow variation in time of the flux
comes from the
variation of
where the matter originated, deep in the star, at
.
|
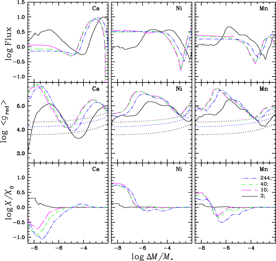
Figure 7:
Comparison of the normalized local flux with radiative accelerations
and internal abundances for 3 elements at 4 different
ages (in Myr) for a 2.5
|
| Open with DEXTER | |
5.1.2 The kinematic approximation
By following the analysis of Michaud
& Charland (1986), the surface abundance of elements
which are pushed upwards by
and/or dragged by the wind throughout
the stellar envelope can be approximated by using a simple kinematic
equation so long as the evolutionary effects and the
contribution of
are
small (i.e. there is no significant accumulation). The
problem of determining surface abundances thereby reduces to a
kinematic problem. The only required quantity is the local velocity
and, consequently, the radiative acceleration. Elements which
originated at r1 at t=0
arrive at
,
the radius at the bottom of the surface convection zone at a time t1
given by:
Because of flux conservation, the flux of an element A entering the convection zone at t1 is then given by:
where c0(A,r1) is the initial abundance of A at r1 and
where
5.2 Discussion: internal variations
By comparing Figs. 5
and 6,
it is clear that the same mass loss rate leads to quite different
internal concentration variations
in stars of different mass. There are two main reasons for this.
First, in the more massive star, the surface convection zone is much
thinner, therefore the radiative zone is extended upward into regions
where the diffusion timescales are much shorter. Second, because of the
dependence
of the photon flux, most
s
are stronger in more massive stars.
For both models, diffusion mainly affects the outer 10-3 of the star's mass; the point above which the effects of atomic diffusion become visible in Figs. 5 and 6 will be defined as the point of separation. Atomic diffusion can also act deeper in the star (e.g. in the core), though in A and F main-sequence stars, its effects are much smaller below than above the point of separation.
5.2.1 The 1.5 M
models
For the 1.5
In the lower row of Fig. 5, one sees
that when the wind is 10 times smaller, the internal variations are
much stronger since the advection by
is not strong enough to prevent elemental accumulation. Lithium has an
interesting behavior: it has a local maximum where its
equals gravity.
The underabundances of Li and O drop to -0.95 and
-1.35 dex respectively, while underabundances
greater than 2 dex are reached for S and Ca. Through
Eq. (21),
when
is smaller, the change in U due to
has a larger effect on concentration. This is particularly true for Fe:
due to a dip in
(see Fig. 5),
it accumulates near
(where T=200 000 K).
The overabundances of Fe and Ni reach 1.25
and 1.45 dex respectively. The implications of this
accumulation are analyzed in Fig. 8.
The local opacity bump in the region between
leads to the appearance of an iron peak convection zone (
changes
sign) at
around 70 Myr which survives until the end of the simulation.
Fe and Ni reinforce each other.
|
Figure 8:
Internal abundances (Fe, Ni), radiative accelerations (Fe, Ni),
Rosseland opacity, the difference between the radiative and adiabatic
temperature gradients as well as the mean molecular weight per nucleus
for three 1.5
|
| Open with DEXTER | |
In fact, a noteworthy transition occurs in internal solution
types between the 1.50W1E-14 and 1.50W2E-14 models (Fig. 8). In the
1.50W1E-14 model, Fe is overabundant where
(Fe) >g,
whereas Fe is minimal at the
(Fe)
maximum in the 1.50W2E-14 model (similarly, Ca is minimal at
the
(Ca)
maximum in
the 2.50W1E-13 model shown in Fig. 7). This is due to
the relationship between
and the settling velocities
for each individual species; if the
settling velocity
dominates locally, the element will accumulate locally, and the
solution will behave as does Fe in the 1.50W1E-14 model. When
dominates throughout the envelope, the solution is determined by flux
conservation, as shown in Fig. 7.
This transition separates the solution in which the surface abundances
reflect matter which is advected from deep inside the star (
>
)
from the solution in which the surface reflects variations at the
bottom of the SCZ (as in the models of
Watson 1971 and Alecian 1996). This transition
occurs only for elements
whose
has a minimum smaller than gravity close to the bottom of the SCZ.
A large enough mass loss rate also affects the position of the bottom of the surface H-He convection zone by keeping He from sinking. Since it also modifies the accumulation of metals, mainly iron and nickel, its effect is complex: the relative position of the bottom of the convection zone for the three mass loss rates in Fig. 8 is different at 70 and 500 Myr.
The inversion of the molecular
weight gradient (bottom row of Fig. 8 at
500 Myr), which eventually follows the appearance of the iron
accumulation around 200 000 K, has been suggested to
affect the presence
of the iron peak convection zone (Théado
et al. 2009). In the present calculations however,
the iron peak convection
zone appears (as seen at 70 Myr) before the inversion
appears so that while the size of the convection zone could be affected
by the
gradient inversion, its appearance cannot be affected. This will be
further discussed in Sect. 8.
5.2.2 The
2.5 M
models
|
Figure 9:
Internal abundances (Fe, Ni), radiative accelerations (Fe, Ni),
Rosseland opacity, the difference between the radiative and adiabatic
temperature gradients as well as the mean molecular weight per nucleus
for two 2.5
|
| Open with DEXTER | |
| Figure 10:
Wind velocities (long dashed line: 10-14
|
|
| Open with DEXTER | |
Wind and diffusion velocities are compared in Fig. 10. The wind
velocity decreases more rapidly than the diffusion velocity as
increases. For instance, the absolute value of the
settling velocity is 50 times smaller than the larger of the
two wind velocities at
but equals it at
.
For smaller mass loss rates the settling velocity dominates closer to
the surface. Calcium has an upward diffusion velocity over the interval
and
it is up to ten times larger than the wind velocity. Fe and Li have
smaller upward diffusion. Those velocities determine local
concentration via Eq. (21)
(see the end of Sect. 5.1.1).
Figure 9
allows an analysis of the effect of varying mass loss rates on surface
convection zones and to distinguish the effects of mass loss from those
of turbulence (see Sect. 6).
The abundances and
of both Fe and Ni are presented since they are the maincontributors to
the appearance of the iron peak convection zones in 1.5
models.
In 2.5
models
however, iron convection zones do not appear for the two mass
loss rates considered. The Fe and Ni abundances remain slightly below
solar where
(Fe)
and
(Ni)
are largest so that they do not lead to an increase of opacity where
they could contribute most to opacity. The wind velocity is ten times
larger than the diffusion velocity of Fe for
so that Eq. (21)
forces the solution to be nearly constant over that range. This is to
be contrasted with their behavior in 1.5
models.
Even a small mass loss rate difference can have important
effects on the stellar structure in 2.5
models.
For both mass loss rates considered, the He I
convection zone disappears early in the evolution, at around
30 Myr (see the sixth row of Fig. 9). The
He II convection zone on the other hand only disappears in the
model with the smaller mass loss rate, the 2.50W5E-14 model, at around
200 Myr. This is because the inward diffusion velocity of He
dominates the wind velocity at a shallower
depth than in the 2.50W1E-13 model (see Fig. 10), so that a
more pronounced He underabundance develops to conserve the flux.
5.3 Surface abundance variations
5.3.1 The 1.5 M
models
The evolution of surface abundances is shown for several 1.5
|
Figure 11:
Surface abundance variations for five 1.50
|
| Open with DEXTER | |
Iron surface
abundances are particularly interesting for this model since it is the
only one to have an iron surface underabundance
which spans 500 Myr
.
This is due to the accumulation of iron under the surface convection
zone, and the subsequent appearance of an
iron peak convection zone (see Fig. 8). Although
not shown here, a separate iron peak
convection zone is expected for all simulations for masses between
1.47
and
3.0
when
the mass loss rate is equal to or below
.
The 1.50W2E-14 and 1.50W5E-14 models generate surface iron
overabundances of about 0.5 and 0.35 respectively at
300 Myr. The calcium abundance is particularly interesting
since for all models, an overabundance is predicted at the beginning of
the main sequence evolution followed by an underabundance. The
underabundance is present over a much larger fraction of the evolution
than the overabundance. The Ca calculations are compared in
Fig. 12
with those
carried out by Alecian (1996).
His calculations were undertaken
in static stellar models; therefore, evolutionary effects were not
included. There are also slight differences in
between our calculations (
K
at the beginning of diffusion but decreases as the star evolves) and
his simulations (
K).
There are also differences in
(Ca):
his calculated
(Ca)
has a peak which is 10 times smaller than obtained in a model of
similar
with our code. Results are compared in Fig. 12 for three
mass loss rates. In all three
cases, the maximum anomaly as well as the overall behavior of the
curves correspond well. The overabundance peaks are however not quite
so wide in our calculations as in his. The agreement seems
satisfactory.
5.3.2 The 2.5 M
models
In the 2.5
|
Figure 12:
Evolution of Ca surface abundances for 1.5
|
| Open with DEXTER | |
As discussed at the end of Sect. 5.1.1, the
initial flux
distribution reflects
since, originally, the concentration is the same throughout the
envelope; then, as time elapses, the internal abundances naturally
evolve in such a way that flux is conserved throughout the envelope
(see Fig. 7).
In so far as the
term is negligible (i.e. flux is conserved),
the surface reflects the point in the initial flux distribution which
is dragged by
.
Therefore, when the initial internal flux profile of an element has
important variations near the surface due to strong variations in
(as is the case for Ca and Ni, see Figs. 6 and 7), these
variations appear
on the surface in a time which is related to the mass loss rate.
Quantatively, in the
2.50W1E-13 model (solid line), a given element's surface abundance at
100 Myr depends on the initial flux
variations (caused by
variations at t=0)
at a depth of
.
In Fig. 11,
the slight bump in surface Ni abundance around 100 Myr for the
2.50W1E-13 model reflects the small bump in the initial flux
distribution of Ni around
(see Fig. 7).
The previous example is an application of Eq. (22) and
shows that the time it takes for a given internal variation to reach
the surface is inversely
proportional to the mass loss rate. This is further illustrated by the
fact that the surface Ni abundance peak around 10 Myr appears
earlier as the mass loss rate increases (see Fig. 11). The
dilution by the convection zone (Eq. (24))
is relatively small because it has a relatively small mass.
Also, the rapid variations seen around this Ni abundance peak reflect
the
many internal flux variations which were above
at t=0. For a mass loss rate of
,
these variations all reach the surface within 107 yr.
|
Figure 13:
The effect of varying initial metallicity on the evolution of abundance
anomalies at the surface of a 2.0
|
| Open with DEXTER | |
As a consequence, the nearer an internal flux variation is to the
surface at t=0, the quicker it appears at the
surface, and the quicker it disappears. A flux variation that spatially
spans from the surface to
at t=0 appears and disappears at the surface in
less
than one million years for a mass loss rate of
.
The amplitude of the surface variations also depends on the mass loss rate; as the mass loss rate increases, each internal variation of the flux at t=0 manifests itself at the stellar surface with a smaller amplitude since more enriched/depleted matter is evacuated from the SCZ (Eq. (24)). This is illustrated by the decreasing amplitude of the initial surface abundance spikes for Mn and Ni as the mass loss rate increases (Fig. 11).
The conservation of the flux down to
to -6.5 (depending on the age and mass loss rate) has another
important consequence: diffusion between the surface convection zones
(i.e. between the H and either of the two He convection zones) has
practically no influence on the surface abundances. Matter which
originates from between the H and He convection zones (
)
appears at the surface within
103 years for a mass loss rate of 10-13
.
The detailed calculation of chemical transport between these
zones is then not required in order to accurately obtain the surface
abundance solution. To verify the accuracy of this
assertion a model was calculated with homogenized abundances between
all surface convection zones, and it was found that
the surface solution was practically identical to the surface solution
obtained when separation was allowed between SCZs. After a mere
3 Myr of a star's main-sequence life with a mass loss rate of
10-13
,
anomalies which appear at the surface reflect the
separation which occurs below
.
Hence, for most of the main-sequence lifetime of models
compatible with observations, the surface abundance solution depends on
the separation which takes place around
to
-6.5.
This is analogous to the turbulence models of Richer et al. (2000), in
which surface abundances depend solely on the separation which occurs
below 200 000 K. In our calculations, however,
abundance variations are present throughout the stellar envelope
because no mixing is enforced outside of convection zones. In that
respect, in the presence of mass loss, it is clear that the chemical
separation responsible for the AmFm phenomenon involves up to
of the star's mass.
5.3.3 The effect of Z, age and T

In Fig. 13,
one sees that the main
features of the time evolution of surface abundances are similar for
three different initial metallicities. However varying the initial
metallicity can have an important effect on the amplitude of surface
anomalies, though not for all
elements. For elements such as CNO, varying Z0
has relatively little effect on the surface abundance anomalies
since these elements are not supported by the radiation field. For
heavier iron peak elements, supported by the radiation field, the
ramifications are much more apparent since their lines are often
saturated and flux sharing becomes prevalent. In fact, the lower
metallicity models have larger
anomalies, when compared to the original abundances of the model, since
the same flux is shared among fewer atoms. Also, the abundance peaks
appear earlier during evolution
as Z decreases since the
profiles with respect to
are shifted toward the surface as Z
decreases. However the situation is different if one compares to a
fixed set of abundances. By comparing Figs. 11 and 13 one notes
that a reduction of mass loss by a factor of 1.5 approximately
compensates for a reduction of Z0
from 0.03 to 0.02 for the absolute final abundance of
Fe and other elements which are supported. It however amplifies the
effect of the reduction for elements which are not supported by
such as CNO.
Figure 14 shows the surface abundances as a function of atomic number for
|
Figure 14:
Surface abundance anomalies at five ages (5, 9, 70, 250 and
524 Myr) for a 2.50
|
| Open with DEXTER | |
|
Figure 15:
The effect of varying
|
| Open with DEXTER | |
Figure 15
shows the superficial abundances at 500 Myr for models of
different masses
with the same mass loss rate (
).
The 1.3
has
much smaller anomalies than the others. At a given age, stars
of 1.5 to 2.3
have
very similar underabundances of elements from He to Ne, since for
a given mass loss rate, they essentially
depend on time. Iron peak
overabundances increase as
increases. This is partly caused by the increase of
with
as well as by the reduction of the mass of the surface convection (if
the SCZ is more massive, the anomalies will be reduced by dilution).
This behavior is different from what is obtained in turbulence models,
and will also be discussed in Sect. 6.
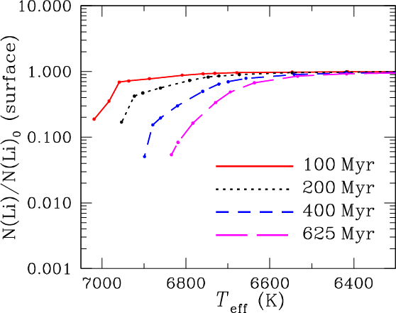
5.3.4 Stars of the lithium gap
The surface Li abundances for stars of the lithium gap without mass loss are shown in Fig. 16.
|
Figure 16:
Evolution of 7Li surface abundances for models
with masses ranging from 1.37
|
| Open with DEXTER | |
A close inspection
of Fig. 16
shows a disctinct separation between the 1.46
and
1.47
models;
the 1.46
model
behaves more like the 1.45
model
while the 1.47
model's
behaviour most resembles the 1.48
model.
Again, this is
because of the appearance of a radiative zone immediately above the
iron peak CZ in the 2 heavier models.
The abundances obtained near the age of the Hyades open
cluster ranged from -0.25 dex for the 1.37
model
to -1.25 dex for the 1.46
model.
Lithium is underabundant for
all models throughout evolution.
By comparing these results with those shown in Fig. 6
of Richer & Michaud (1993),
one first notices that the curves have very similar
behavior in time; the minima occur at nearly the same age and the curve
shapes are
nearly identical. However, the underabundances obtained in our
calculations are
systematically smaller. For
instance, their 1.43
model
is 250 times underabundant around 1.23 Gyr,
while our 1.43
model
is only 14 times underabundant at the same age. A
careful analysis of the results determined that the difference was
principally due
to the difference in the mass of the SCZ. If the convection zone
is homogeneous and emptied through its bottom, then:
|
(25) |
where X is the mass fraction in the SCZ (and on the surface),
In Fig. 17,
|
Figure 17:
The
|
| Open with DEXTER | |
At 100, 200 and 400 Myr, the gap obtained in the
present calculations is 50-80 K hotter than
the gap of the same metallicity shown in Fig. 8 of Richer & Michaud (1993).
Our gap is also slightly deeper, as
the surface lithium on the hotter end of our isochrones keeps
decreasing where surface lithium in the isochrones of Richer & Michaud (1993)
start
increasing. This is a result of the smaller
(Li)
obtained in our models (see Sect. 3.1.2, in
particular
Fig. 3):
the competition with Fe decreases
(Li)
by a factor of 2, so that it doesn't reach g
in the hotter models of our isochrones. Therefore,
lithium is not supported in our diffusion only model.
5.3.5 Separated winds
|
Figure 18:
Surface abundance evolution for selected elements of 1.40
|
| Open with DEXTER | |
In constrast to unseparated mass loss (dotted line) which,
when comparing to the pure diffusion model
(solid line) in Fig. 18, reduces
surface anomalies for all elements, separated mass loss can
affect underabundant and overabundant elements differently. In case 1,
for which all metals are ejected with the same relative concentration
as in the atmosphere
whereas H and He remain bound, a mass loss rate of
yr-1
leads to smaller
overabundances and
larger underabundances than unseparated mass loss.
This is because in case 1, the internal wind term this mass
loss leads to
is negligeable (see Eq. (6)).
Therefore, for underabundant elements, the surface convection zone is
drained from its bottom (because the wind is too weak to support
downward diffusing elements), as well as from its top (i.e. mass loss
at the stellar surface). Overabundant elements, on the other hand, are
depleted through the surface, while the bottom of the surface
convection zone is replenished by atomic diffusion. When the mass loss
rate is increased to
for case 1, the overabundances can rapidly evolve into underabundances
since, without the wind providing sufficient replenishement from deeper
inside the
star, the
elemental depletion at the surface quickly dominates the replenishement
at the bottom of the convection zone. For the model with a mass loss
rate of
underabundances of Li and Fe
reach -1.5 dex and -0.95 dex respectively at
570 Myr, whereas for the
,
the Li underabundance reaches -0.55 dex around
625 Myr, while Fe has an overabundane of 0.45 dex.
Generalized underabundances are attainable in the context of case 1.
In case 2, all low-FIP elements are depleted 4 times
more rapidly than H and other high-FIP elements. Consequently,
in comparison to the anomalies obtained for the 1.40W1E-14 model, the
anomalies for the low-FIP elements (of which Li, Mg, Ca, Mn, Fe and Ni
are shown) are greater for underabunt elements and smaller for
overabundant elements, as in case 1. The Fe overabundance is reduced to
0.2 dex around 625 Myr, and the Li
underabundance reaches -0.6 dex at the same age. However, for
O, which is a high-FIP element, the curve is tucked in between the pure
diffusion and unseparated mass loss curves (and is therefore impossible
to see on the figure), which is what could be expected, since
the rate of depletion as seen by O, a high-FIP element, is
smaller than
because the lost mass has a higher concentration of low-FIP elements
(see Sect. 4.3).
Finally, in case 3, for which H is included among the low-FIP
elements, the results are quite
different: the depletion of H at the surface leads to an important
increase of He. Since the He abundance at the surface remains slightly
above its original value throughout the
simulation, the stellar structure is changed as the H-He SCZ is much
deeper
on the main-sequence than for any of the other models. Around
625 Myr, Fe is barely underabundant, while
Li is underabundant by -0.5 dex
.
At 625 Myr, the model in case 3 is 100 K
hotter than the three other models at the same age.
6 Comparison to turbulence models
As previously mentioned, models with turbulence (Michaud et al. 2005; Richard et al. 2001; Richer et al. 2000) have been quite successful at reproducing observed properties of AmFm stars both on the surface (i.e. abundance anomalies) and in the interior (pulsation properties ofEven when surface abundances are quite similar in turbulent and mass loss models, the interior behaves differently. This can be seen by comparing the 2.50W1E-13 and 2.50T5.2D1M-4 models in Figs. 19 and 20. In Fig. 19, which compares the internal concentrations of all 28 elements for a model with turbulent mixing and a model with mass loss, there is a
|
Figure 19:
Gray coded concentrations of two 2.50
|
| Open with DEXTER | |
With respect to pulsations, one notes that around
250 Myr, the age of Sirius (Liebert
et al. 2005), the He II convection zone is
still present in the turbulence model as well as in
the 2.50W1E-13 model, but not in the 2.50W5E-14 model (see
Fig. 9).
As seen in the
panel,
opacities are quite similar in the He II convection zones for
the 2.50W1E-13 and the turbulence
models, therefore, the mass loss model could be compatible with
observed pulsation properties of
Scuti stars (Turcotte et al. 2000).
Further investigation is required to determine if the He II
opacity bump in the 2.50W5E-14 model is sufficient to drive
kappa mechanism oscillations.
During evolution there are phases in which important surface
abundance differences differentiate models with
mass loss from those with turbulence. For instance, Fig. 14 can be
compared directly to Fig. 15 of Richer
et al. (2000). The most glaring difference is
the surface behavior shortly after the onset of diffusion. In the
turbulence model, abundance anomalies appear slowly
and gradually at the surface, whereas large anomalies appear at the
surface as early as 5 Myr in the
mass loss model. This is because all chemical separation that occurs
near the surface, where timescales
are short, will rapidly be advected to the surface by the wind
(see discussion in
Sect. 5.3.2).
In the turbulence models, mixing is enforced
throughout the upper envelope, and effectively prevents any chemical
separation near the surface.
Likewise, the abundances immediately following the turn-off are also
different; while overabundant iron
peak elements such as Mn and Fe can become underabundant as the SCZ
exposes regions in the envelope with
important gradients (as is the case at 524 Myr), the internal
variations in the turbulence context are much less important (as an
example, compare the Fe underabundance around
in our Fig. 6
and Fig. 4 of Richer
et al. 2000), and so the variations at the surface
will also be smaller. On the main-sequence however, the differences
between the two models
are relatively quite small.
Similarly, for the
dependence, Fig. 15
can be compared directly to Fig. 16 of Richer
et al. (2000). The most glaring difference is the
behaviour of iron peak elements. By comparing the models with masses
between 1.7 and 2.3
in
both figures, one notes that in the turbulence regime, the iron peak
surface distribution is the same for all
s
at a given
age, while there is more significant variations for the same elements
in the mass loss models within the same stellar mass interval. On the
contrary, the lighter elements show less variations in the mass loss
models in comparison
to the models with turbulence in the same mass interval.
|
Figure 20:
Observations of the surface abundances of Sirius A (also known
as |
| Open with DEXTER | |
7 Comparison to observations
In order to constrain stellar models, and to determine whether turbulence or mass loss is the dominant macroscopic process reducing surface abundance anomalies, it is imperative to compare our results with observations. In order to carry out an accurate comparison one needs to constrain age, mass and initial composition, which as shown in the previous section, all affect surface abundances. To reduce the arbitrariness of the comparison, we chose three open cluster stars for which we have a good evaluation of the initial metal content as well as of the approximate age. We will also compare our results to the field star Sirius A and the binary system o Leonis.
In the following sections, [N/H] has its usual meaning:
| (26) |
As mentioned in Sect. 2, this paper is part of a series of papers starting with Turcotte et al. (1998b), where the mixing length used was calibrated using the Sun for given boundary conditions, as well as helium and metal content. For consistency, the same boundary condition, solar composition and mixing length are used for Pop I stars. Our models lead to abundance variations, or anomalies, relative to those original abundances. A number of observers have similarly determined anomalies by differential methods with respect to solar abundances. Moreover, in the model atmospheres used for abundance determinations, most observers used the solar abundance mix either from Anders & Grevesse (1989) or Grevesse et al. (1996). Because determinations were sometimes obtained with different solar photospheric abundances by different observers and sometimes with differential methods, their abundance determinations relative to the Sun (i.e. the anomalies) are used, when available, rather than absolute abundances. The uncertainty that inaccuracies in solar abundances lead to will be discussed in Sect. 8.
7.1 Field stars
Sirius A is the most studied hot Am star (First, for most elements, there is considerable scatter among observers. For instance, there is a 0.3 dex difference in Si abundance, as well as a 0.4 dex difference in Fe abundance, which is the most carefully determined element.
We compared this data to 3 models with mass loss (2.50W1E-12,
2.50W1E-13 and 2.50W5E-14) as well as to
the model with turbulence from Richer
et al. (2000) which best reproduced the data
(2.50T5.2D1M-4). Of the 16
observed elements which are included in our calculations, 12 (He, Li,
O, Na, Mg, Si, P, Ca, Ti, Cr, Fe and Ni) are well reproduced
by both the turbulence
model and the 2.50W1E-13 model. It is interesting to note that Bertin et al. (1995)
determined, from Mg II lines, that the observed mass loss rate
of Sirius A is between
and
.
The overall fit is also just as good for the 2.50W5E-14 model since it
is also able to reproduce the carbon abundance, though it perhaps
overevaluates the iron peak
abundances. The S abundance
is not at all reproduced by our calculations; however, the observer
gives little credibility to its value
(Hill 1995). It is clear that
the model with a mass loss rate of 10-12
does
not lead to the observed surface abundance
pattern. Finally, surface abundance observations are not sufficiently
accurate to enable a differentiation between
turbulence and mass loss models.
|
Figure 21:
A model of 2.2
|
| Open with DEXTER | |
In Michaud et al. (2005),
the binary system o Leonis
(HD 83808/83809) has been interpreted as consisting of two
AmFm stars with masses of 2.12 and 1.87
(Griffin 2002). The authors show
that two models with turbulent mixing, of 2.24 and
1.97
respectively,
are
able to reproduce the observed features (namely both positions in the
H-R diagram as well as surface abundances)
of the A and B components of the binary system within the observational
error bars.
Similarly, models of 2.20 and 1.90
with
a mass loss rate of
are able to reproduce the H-R position of both components. At the age
indicated
by the squares (750 Myr and 750.5 Myr), the
A component is in the rapid evolution stage that follows the
depletion of hydrogen in the core (the luminosity change is related to
the star's adjustement to H-shell burning). At this age,
the B component is still in the slowly evolving MS stage,
which explains why both circles overlap on the graph.
The two squares in Fig. 21 show that the
Fe abundance can vary between -0.2 dex and 0.6 dex
within the
error bar for the A component, while the corresponding Ca surface
abundance varies from -0.18 to -0.4. Throughout
most of this interval, the 2.20
model
has anomalies which are
typical of Am stars (Fe overabundance coupled with a Ca
underabundance). For either of the values for the A component, the
1.90
model
has
an overabundance of Fe of 0.4 dex coupled with an
underabundance of Ca which attains -0.3 dex, both typical Am
star anomalies as well.
Both the turbulent model of Michaud
et al. (2005) and the mass loss model can reproduce
the AmFm character of components A and B. While the
AmFm character of component A can be fitted by the turbulent model for
its exact observed
,
the mass loss model only generates typical AmFm iron overabundances for
a part of the error bar on the hot side of the observed
.
|
Figure 22: Observed surface abundances of 68 Tau (also known as vB 56, HR 1389 or HD 27962), the hottest star (blue straggler) from the Hyades open cluster. Circles, Hui-Bon-Hoa & Alecian (1998); triangles, Roby & Lambert (1990); squares, Burkhart & Coupry (1989); asterisks, Takeda & Sadakane (1997). communication. Calculated values are shown for 4 models with varying mass loss rates as well as the model with turbulence which best reproduced the data (2.30R1K-3Z0.03, see Richer et al. 2000). One model was calculated with Z0=0.02, while all other models were calculated with an initial metallicity of Z0=0.03. Metallicity is indicated in the model name. |
| Open with DEXTER | |
|
Figure 23:
Observed surface abundances of HD 73045 (
|
| Open with DEXTER | |
7.2 Open cluster stars
In Fig. 22,
we compare our results
to observed abundance determinations for the hot Am star
68 Tau (
K,
Netopil et al. 2008)
from the Hyades open cluster. The cluster age has been quoted between
625 Myr (Perryman
et al. 1998) and 783 Myr by
Varenne & Monier (1999).
Its quoted metallicity has also ranged between
(Gratton
2000; Perryman
et al. 1998)
and Z0=0.03(Cayrel et al. 1985)
using F and G star iron abundances as indicators. In
order to reflect this
metallicity, the selected models have been calculated with an initial
metallicity of Z0=0.03,
which was also used in models
from Richer et al. (2000)
. We have attempted to make
a
compromise between fitting age and
:
three models have a mass of 2.50
and
one has a mass of
2.30
.
The 2.50W1E-13Z0.03 and 2.50W5E-14Z0.03 models are on a short
upswing which arises as hydrogen nears depletion in the core (in
Fig. 21
for instance, it is the segment which immediately follows the
main-sequence, spanning from
at its bottom to
at its top). In terms of stellar age, this upswing only lasts
3 Myr before the star starts its descent onto the red giant
branch. While it has very little effect on surface abundances, models
were chosen at this age in order to be closer to the star's surface
temperature. Given the large spread in abundances between observers,
the fit is almost perfect with the 2.30W1E-13Z0.03 model,
which is slightly cooler and younger, yet is still on the
main-sequence. Of 15 observed elements, only Na, Al and Mn
(arguably just Al) are not reproduced. The fit is as good if not better
(because of Ni) than the fit obtained with the model with turbulence.
The 2.50W1e-13Z0.02 model was added in order to illustrate the effect
of reducing initial metallicity on absolute abundances (see also
Fig. 13).
The fit with observations is better than for the 2.50W1-13Z0.03 model,
since the iron peak abundances with respect to solar abundances are
smaller in the lower metallicity model. By comparing these two
curves one can conclude that, for a given mass loss rate, a
0.18 dex reduction of initial metallicity can, at most, lead
to a 0.18 dex reduction for elements which are not supported,
such as C, N and O, and a 0.09 dex reduction for elements
which are supported such as Fe. See also Sect. 5.3.3.
|
Figure 24:
Observed surface abundances of HD 108486 (
|
| Open with DEXTER | |
|
Figure 25:
Lithium, beryllium, iron and calcium abundances for models with and
without mass loss
at 625 Myr, the approximate age of
the Hyades open cluster. All models were calculated with an initial
metallicity of Z0=0.02 and
the original Li abundance was set at N(Li) = 3.05.
The Li observations
are from ( |
| Open with DEXTER | |
In Fig. 23,
we compare 2 models of 1.9
with
mass loss as well as a model with turbulence to the
observations of the star HD 73045 (
K)
from the Praesepe open cluster which has an approximate age of
800 Myr and a solar metallicity.
There are 15 observed elements which can be compared to our
simulations, although 3 determinations (N, K and Mn), result
from a single line and therefore could be inacurrate. Again, note the
large discrepancies between observers. Only the 1.90W5E-14 and the
turbulence model
can reproduce either the overabundant iron peak elements or the
underabundances of C and O.
The abundances of Na and Si are not reproduced by either of
the models.
Finally, we have compared our models to observations of the
Coma Berenices star HD 108486 (Fig. 24). Coma
Berenices is
an open cluster with an age of about 500 Myr and with a
metallicity which is about solar. We have matched the star's
and age quite well with two 1.8
models
with mass loss. Except for O and Na, which are not reproduced by
any of the two models, most elements are fitted by both models.
Assuming error bars for S and
Al which are similar to those for other elements, we can state
that 10 of the 13 abundances can be reproduced by the
1.80W1E-13 model, and 9 by the 1.80W5E-14 model.
Although we have opted not to add any extra figures, our
results are also compatible with observations of Ca overabundances (see
Fig. 12)
in very young open clusters such as the Pleiades (Hui-Bon-Hoa
& Alecian 1998; Gebran & Monier 2008)
and
Persei
(Hui-Bon-Hoa 1999).
This is noteworthy
since models with turbulence do not predict such an overabundance (see
Figs. 10 of Richer
et al. 2000).
7.2.1 Lithium gap
In Fig. 25,
models with and without mass loss are compared to lithium, beryllium,
calcium and iron observations in and around
the Hyades lithium gap. Lithium determinations are shown for F stars
and AmFm stars (normal A stars and other peculiar A stars are omitted).
Iron and calcium abundances are shown only for
stars which had a lithium determination. All beryllium abundances for F
stars in
Boesgaard & King (2002)
are shown
. When multiple
observations for the same star were
available, the different determinations are connected by a line
segment. This gives an evaluation of the uncertainty. All models
calculated with mass loss rates of
and
which were still on the main-sequence at 625 Myr are shown.
Models with a mass loss rate of
are omitted since they result in surface abundances which are very
similar to diffusion only models (compare the diffusion only and
1.40W1E-14 models in Fig. 18).
Therefore in the following
discussion, results from diffusion only models can be assimilated to
models with unseparated mass loss
.
All models were calculated with an initial metallicity of Z0=0.02,
although the metallicity of the Hyades is above solar (Z=0.024,
see Sect. 7.2).
The original value of lithium was set to
A(Li) = 3.05. This value fits lithium determinations
for the stars at the top of the cold side of the gap, which, since
diffusion plays only a small role for these stars, probably reflect
the cluster's original Li content (unless there is significant
pre-main-sequence burning). Following the
same logic, A(Be) was set to 1.40.
According to our calculations, atomic diffusion in the absence
of competing processes leads to an important reduction of surface
lithium abundance. The smallest lithium anomaly was obtained for the
1.10
model,
for which surface lithium was reduced by 0.015 dex at
625 Myr. The largest lithium reduction at 625 Myr is
by about -1.4 dex (or a factor of 25), for the
1.46
model
without mass loss. This does not quite
reach the bottom of the gap of Boesgaard
& Tripicco (1986)
.
As seen in Fig. 16,
the 1.47
model
without mass loss would likely have reached a lower lithium
abundance had it been able to converge up to the age of the Hyades,
thus reconciling some of the difference. In fact,
the mass of the model which would have attained the lithium gap minimum
can be deduced from Fig. 3.
Because Li is not supported until
just below the surface convection zone at 625 Myr, the
heaviest model for which the BSCZ is located where
throughout its evolution will
represent the gap minimum, since it is for this model that Li is
sinking fastest.
From Fig. 3,
while the 1.55
model
is clearly on the hot side and the 1.43
model
on the cold side, it is the 1.46
model
that should be closest to the bottom of the gap. Furthermore, if
the competition with Fe that is prescribed by the OPAL opacities and
calculated in these models without mass loss
is correct, then diffusion alone cannot explain the increase of Li on
the hot side of the gap.
The
(Li)
in the atomic diffusion only models will remain smaller than g
by a factor of at least 2. However, given the uncertainties discussed
in Sect. 3.1.1
on the location of Fe lines,
(Li)
could very well attain g near
,
in which case lithium would be supported, and would consequently
exhibit different surface behavior.
For the models without mass loss on the cold side of the gap,
the Fe abundances are in agreement with observations up to about
6800 K, after which the calculated overabundances become too
large. The discrepancy between the Fe curve and the observations for
K
is related to our models having a solar initial metallicity,
whereas the Hyades stars were formed in a metal rich environment.
The models with mass loss rates of
and
cannot explain the depletion encountered within the gap. However, given
reasonable error bars, they
are consistent with the almost constant lithium and beryllium
abundances observed for
K.
Both mass loss rates lead to models which reproduce the observed Fe
abundances between
K
and, in particular, the increase in Fe abundance for
K,
which is compatible with the AmFm character of these stars.
Given the large discrepencies in determinations, most Ca abundances are
also compatible with the models with mass loss.
Neither the calculated gap minimum nor the shoulder on the
cold side of the gap match the observed position in
.
By comparison to Fig. 9 of Richer
& Michaud (1993), their calculated depth for the gap
(-1.6 dex) resembles
the depth obtained in our calculations (-1.4 dex, see
discussion in Sect. 5.3.4).
The shoulder on the cold side of the gap obtained in the present
calculations matches the curve they obtained
with Z0=0.02 within
50 K.
Accordingly, as also seen in this same Fig. 9, if we had
chosen Z0=0.03
([Fe/H] = +0.18), some of the 150 K
difference would have been recuperated as the gap minimum would have
been shifted toward cooler
temperatures by 50-80 K. There is also a
50-100 K
uncertainty on the observed potition of the gap (see discussion in
Sect. 2.1.2 of Michaud
& Charbonneau 1991). The uncertainty on the age of
the Hyades (from 625 to 783 Myr, see Sect. 7.2) could
also account for some of the difference as illustrated in Fig. 17. As the age of
the isochrones increases, the
at which lithium abundances fall off also decreases. The real problem
in explaining the Li gap with atomic diffusion is not with the exact
of the gap nor its depth, but rather with the calculated Fe
overabundances which are
not observed, and the related difficulty in calculating
(Li)
on the hot side of the gap due to Fe lines.
8 General discussion and conclusion
8.1 Summary of results
Evolutionary models including both atomic diffusion and unseparated
mass loss explain the main abundance anomalies of AmFm stars
(Sect. 7.2).
When
mass loss is assumed to be the only macroscopic process
competing with atomic diffusion, observed abundance anomalies from open
cluster stars as well as Sirius A and o Leonis
constrain mass loss rates to 2-5 times the solar mass loss
rate. As shown in Sects. 7.1 and 7.2, models
involving
mass loss are as capable as models involving turbulence in explaining
observations of AmFm stars. This is because in both instances, the
important separation occurs at the same depth (
)
for most of the main-sequence life.
Whether the mass loss model is to be preferred over the turbulence
model
is difficult to assess given the large observational uncertainties.
However, as shown in
Fig. 19,
the internal distribution of elements is different between the two
cases for most
elements. With differences reaching a factor of 4-5 for abundant
elements such as Fe, there should be effects on local opacities and
thus on pulsations. Asteroseismic tests could perhaps distinguish
between the two
.
In the mass loss regime, chemical separation affects up to 10-5
of
a star's mass or, equivalently, 20 to 25% of the stellar radius (see
Fig. 6
and Fig. 19).
For any given element, as long as the wind velocity is greater in
amplitude than the downward settling velocity, the local abundance
solution is determined by flux conservation; local abundances adjust as
the flux quickly becomes constant throughout the outer envelope (see
Fig. 7).
As a result, the surface abundances depend on matter which is advected
from deep inside the star (see discussion in Sect. 5.3.2). This
differs from the models of Watson
(1971) and Alecian (1996)
in which surface abundances depend on the outer
.
This can also be contrasted to the solution obtained
in the models with weak or fully separated
mass loss presented in Sects. 5.2.1 and
5.3.5.
When flux is conserved throughout the envelope, abundance
gradients which form near the surface, between surface convections
zones for example, have no
effect on the surface solution once the star has
arrived on the main-sequence (see discussion in Sects. 5.3.2
and 5.3.3).
In this instance, if the age of interest is greater than
,
where
is the mass above the bottom of the deepest surface
convection zone, one can obtain a nearly similar surface solution by
approximating that
abundances are homogeneous from the surface
to the bottom of the deepest SCZ. However, early in the evolution, only
matter from superficial layers has had time to be advected,
and thus surface abundances obtained here depend on separation that
occured close to the surface as first studied for
Ca by Alecian (1996, see also
Sect. 5.3.1)
and confirmed observationally (see end of Sect. 7.2).
This favors models involving mass loss rather than turbulence.
Likewise, variations obtained near the surface, which do not appear in
models with turbulence, have an effect on the PMS (Fig. 14) and will
be discussed in
a forthcoming paper.
In all models heavier than 1.47
without
mass loss or with an unseparated mass loss rate
,
the accumulation of Fe and Ni around
T=200 000 K
leads to the appearance of a thin radiative layer which separates the
iron peak convection zone from the surface H-He convection zone. This
accumulation forms
before the appearance of a small inversion of the local molecular
weight gradient
(see Sect. 5.2.1).
The inclusion of thermohaline convection
as suggested by Théado
et al. (2009) could have an effect on abundances in
the region, though convection occurs even when there is no molecular
weight gradient inversion. This would require further investigation.
Nonetheless,
the appearance (or not) of the iron peak convection zone does not have
a significant effect on the
surface solution, nor does it appear in models with mass loss which
adequately reproduce observed
abundance anomalies of AmFm stars (Sect. 7).
Since this paper is
a part of a series which explores the various macroscopic processes
which compete
with atomic diffusion in AmFm stars, it is important that the models be
as similar as possible to those used in previous calculations (e.g.
those with turbulence)
in order
to isolate the effects due specifically to mass loss. This is one of
the
primary motivations for using the same initial solar abundances as in
previous calculations,
rather than the revised Asplund et al. (2005,2009)
abundances (see also the discussion
in Sect.2).
Varying too many
things at once could obscure results and introduce further uncertainty.
Furthermore, there is a controversy on solar abundances, since
heliosismology strongly favors the older (Grevesse
et al. 1996) over the newer (Asplund et al. 2005,2009)
composition. One may then view the abundance differences between the
two sets as an evaluation of uncertainty. Since solar abundances are
used throughout this paper, the uncertainty on solar abundances leads
to uncertainties on the absolute values of all abundances. As shown in
Fig. 22,
a factor of 1.5 reduction (or 0.18 dex) of the
original Z leads to a similar reduction
(0.18 dex) of the expected abundances of atomic species that
are not supported, as well as a smaller reduction of 0.09 dex
for species such as Fe which are supported by
.
The fit for the abundances of 68 Tau is about the same for
both values of Z as seen in Fig. 22. Equivalently,
compensating the change of Fe abundance would require reducing the mass
loss rate from
to
according to the results shown in Fig. 11. This may be
viewed as the uncertainty on the mass loss rate resulting from the
uncertainty of solar abundances
.
8.2 Further implications
Atomic diffusion alone cannot explain all
characteristics of the Hyades lithium gap, nor can unseparated mass
loss. The cold side of the gap can only be
reproduced by diffusion only models or models with
,
whereas the hot
side of the gap and the AmFm character of stars for
K
require a stronger mass loss rate. Moreover,
separated mass loss (see Sects. 5.3.5 and
7.2.1)
seems required to explain observed Li underabundances near the bottom
of
the gap as well as reduce the calculated Fe overabundances. In
Fig. 18,
in comparison to the diffusion only model, the
curve for case 2 shows both larger underabundances of Li as
well as smaller overabundances
of Fe. Well tuned fully separated mass loss
(case 1) could do the same. Similarly, the model for
case 3 has a nearly flat Fe surface abundance coupled with
similar Li underabundances to the diffusion only model.
It does not seem justified to further speculate on the role of
separated winds in Li gap stars
until we have a better understanding of separation mecanisms within
stellar winds.
Since radiative forces
generally increase with
,
the above mentioned increase in mass loss rate seems possible if
winds of A and hot F stars are radiative in nature. Since a star's
changes over time, a mass loss rate which depends on
(or on L*) could also vary
in time (Swenson & Faulkner
1992). Such effects were not introduced in order to limit the
number of adjustable parameters.
The competition between atomic diffusion and meridional circulation in 2D should lead to solutions which resemble those obtained with mass loss, since meridional circulation leads to an additional advective term in the transport equation (Eq. (7)). Therefore, because the internal distribution of elements in the mass loss regime differs considerably from the variations encountered in the turbulent mixing regime (see discussion in Sect. 6), internal distributions due to meridional circulation could also differ significantly from those encountered via turbulence. Hence, when building stellar models, one should be cautious when replacing meridional circulation, which is an advective process, by turbulent mixing. A careful study of the atomic diffusion of metals within the context of meridional circulation, such as the one carried out for helium in Quievy et al. (2009), could help determine the implications of such an approximation. This could perhaps lead to asteroseismic tests which could distinguish between models using rotationally induced turbulence (Talon et al. 2006) and those using meridional circulation (Charbonneau & Michaud 1988), which are both used to explain the disappearance of the AmFm character for rotation velocities greater than 100 km s-1.
Observations of rapid p-mode oscillations in many Ap stars (Kurtz 1978) and in particular in Przybylski's star (see also Mkrtichian et al. 2008) have led to a number of studies of the oscillation mechanisms. In particular, Vauclair et al. (1991) suggested that unseparated mass loss acting solely in polar regions, where the magnetic field is strongest, could induce helium gradients which are compatible with oscillation generating models (Balmforth et al. 2001). Although differences between our stellar model and the one of Vauclair et al. (1991) could have an effect on the predicted anomalies (notably the absence of convection due to magnetic braking/freezing in the latter), our calculations suggest anomalies would reach inwards to about 25% of the star's radius and could have an important effect on opacities. Though it would depend on the strength of the overall mass loss rate, which will be smaller than the mass loss rate at the poles, similar He depletions could be coupled with overabundances of iron peak elements around 200 000 K and perhaps iron convection. It is not clear whether magnetic braking/freezing or thermohaline convection can stabilize iron peak convection. Unfortunately, we are not able to investigate this scenario any further since our models require spherical symmetry.
Perhaps asteroseismology will allow us to answer some of these questions, while revealing the relative importance of meridional circulation, turbulence and mass loss within chemically peculiar stars.
AcknowledgementsWe would like to thank G. Alecian as well as the anonymous referee for useful comments which allowed us to improve the paper. M. Vick thanks the Département de physique de l'Université de Montréal for financial support, as well as everyone at the GRAAL in Montpellier for their amazing hospitality. We acknowledge the financial support of Programme National de Physique Stellaire (PNPS) of CNRS/INSU, France. This research was partially supported by NSERC at the Université de Montreál. Finally, we thank the Réseau québécois de calcul de haute performance (RQCHP) for providing us with the computational resources required for this work.
References
- Abbott, D. C. 1982, ApJ, 259, 282 [NASA ADS] [CrossRef] [Google Scholar]
- Abt, H. A. 2000, ApJ, 544, 933 [NASA ADS] [CrossRef] [Google Scholar]
- Alecian, G. 1986, A&A, 168, 204 [NASA ADS] [Google Scholar]
- Alecian, G. 1996, A&A, 310, 872 [NASA ADS] [Google Scholar]
- Anders, E., & Grevesse, N. 1989, Geochim. Cosmochim. Acta, 53, 197 [Google Scholar]
- Anthony-Twarog, B. J., Deliyannis, C. P., Twarog, B. A., Croxall, K. V., & Cummings, J. D. 2009, AJ, 138, 1171 [NASA ADS] [CrossRef] [Google Scholar]
- Asplund, M., Grevesse, N., & Sauval, A. J. 2005, in Cosmic Abundances as Records of Stellar Evolution and Nucleosynthesis, ed. T. G. Barnes, III & F. N. Bash, ASP Conf. Ser., 336, 25 [Google Scholar]
- Asplund, M., Grevesse, N., Sauval, A. J., & Scott, P. 2009, ARA&A, 47, 481 [NASA ADS] [CrossRef] [Google Scholar]
- Babel, J. 1995, A&A, 301, 823 [Google Scholar]
- Babel, J. 1996, A&A, 309, 867 [NASA ADS] [Google Scholar]
- Balachandran, S. 1995, ApJ, 446, 203 [NASA ADS] [CrossRef] [Google Scholar]
- Balmforth, N. J., Cunha, M. S., Dolez, N., Gough, D. O., & Vauclair, S. 2001, MNRAS, 323, 362 [NASA ADS] [CrossRef] [Google Scholar]
- Basu, S., Chaplin, W. J., Elsworth, Y., et al. 2007, ApJ, 655, 660 [NASA ADS] [CrossRef] [Google Scholar]
- Bertin, P., Lamers, H. J. G. L. M., Vidal-Madjar, A., Ferlet, R., & Lallement, R. 1995, A&A, 302, 899 [NASA ADS] [Google Scholar]
- Boesgaard, A. M., & Budge, K. G. 1988, ApJ, 332, 410 [NASA ADS] [CrossRef] [Google Scholar]
- Boesgaard, A. M., & Friel, E. D. 1990, ApJ, 351, 467 [Google Scholar]
- Boesgaard, A. M., & King, J. R. 2002, ApJ, 565, 587 [NASA ADS] [CrossRef] [Google Scholar]
- Boesgaard, A. M., & Tripicco, M. J. 1986, ApJ, 302, L49 [NASA ADS] [CrossRef] [Google Scholar]
- Boesgaard, A. M., Armengaud, E., King, J. R., Deliyannis, C. P., & Stephens, A. 2004, ApJ, 613, 1202 [NASA ADS] [CrossRef] [Google Scholar]
- Borsenberger, J., Praderie, F., & Michaud, G. 1979, A&A, 76, 287 [NASA ADS] [Google Scholar]
- Brown, A., Veale, A., Judge, P., Bookbinder, J. A., & Hubeny, I. 1990, ApJ, 361, 220 [NASA ADS] [CrossRef] [Google Scholar]
- Burgers, J. S. 1969, in Flow Equations for Composite Gases (New York: Academic Press) [Google Scholar]
- Burkhart, C., & Coupry, M. F. 1989, A&A, 220, 197 [NASA ADS] [Google Scholar]
- Burkhart, C., & Coupry, M. F. 1991, A&A, 249, 205 [NASA ADS] [Google Scholar]
- Burkhart, C., & Coupry, M. F. 2000, A&A, 354, 216 [NASA ADS] [Google Scholar]
- Caffau, E., Ludwig, H., Steffen, M., et al. 2008, A&A, 488, 1031 [CrossRef] [EDP Sciences] [Google Scholar]
- Carrier, F., Eggenberger, P., Leyder, J., Debernardi, Y., & Royer, F. 2007, A&A, 470, 1009 [NASA ADS] [CrossRef] [EDP Sciences] [Google Scholar]
- Cayrel, R., & Burkhart, C. C. V. 1991, ed. G. Michaud, & A. Tutukov, IAU Symp., 145, 99 [Google Scholar]
- Cayrel, R., Cayrel de Strobel, G., & Campbell, B. 1985, A&A, 146, 249 [NASA ADS] [Google Scholar]
- Charbonneau, P. 1993, ApJ, 405, 720 [NASA ADS] [CrossRef] [Google Scholar]
- Charbonneau, P., & Michaud, G. 1988, ApJ, 327, 809 [NASA ADS] [CrossRef] [Google Scholar]
- Delahaye, F., & Pinsonneault, M. H. 2006, ApJ, 649, 529 [NASA ADS] [CrossRef] [Google Scholar]
- Delahaye, F., Pinsonneault, M. H., Pinsonneault, L., & Zeippen, C. J. 2010, ApJL, submitted [1005.0423] [Google Scholar]
- Feldman, U., & Widing, K. G. 2003, Space Sci. Rev., 107, 665 [NASA ADS] [CrossRef] [Google Scholar]
- Feldman, W. C., Asbridge, J. R., Bame, S. J., & Gosling, J. T. 1977, in The Solar Output and its Variation, ed. O. R. White, 351 [Google Scholar]
- Fossati, L., Bagnulo, S., Monier, R., et al. 2007, A&A, 476, 911 [NASA ADS] [CrossRef] [EDP Sciences] [Google Scholar]
- Gatewood, G. D., & Gatewood, C. V. 1978, ApJ, 225, 191 [NASA ADS] [CrossRef] [Google Scholar]
- Gebran, M., & Monier, R. 2008, A&A, 483, 567 [NASA ADS] [CrossRef] [EDP Sciences] [Google Scholar]
- Gebran, M., Monier, R., & Richard, O. 2008, A&A, 479, 189 [NASA ADS] [CrossRef] [EDP Sciences] [Google Scholar]
- Geiss, J., & Buergi, A. 1986, A&A, 159, 1 [NASA ADS] [Google Scholar]
- Gonzalez, J.-F., LeBlanc, F., Artru, M.-C., & Michaud, G. 1995, ApJ, 297, 223 [Google Scholar]
- Gratton, R. 2000, in Stellar Clusters and Associations: Convection, Rotation, and Dynamos, ed. R. Pallavicini, G. Micela, & S. Sciortino, ASP Conf. Ser., 198, 225 [Google Scholar]
- Grevesse, N., Noels, A., & Sauval, A. J. 1996, in Cosmic Abundances, ed. S. S. Holt, & G. Sonneborn, ASP Conf. Ser., 99, 117 [Google Scholar]
- Griffin, R. E. 2002, AJ, 123, 988 [NASA ADS] [CrossRef] [Google Scholar]
- Hill, G. M. 1995, A&A, 294, 536 [NASA ADS] [Google Scholar]
- Hill, G. M., & Landstreet, J. D. 1993, A&A, 276, 142 [NASA ADS] [Google Scholar]
- Hui-Bon-Hoa, A. 1999, A&A, 343, 261 [NASA ADS] [Google Scholar]
- Hui-Bon-Hoa, A. 2000, A&AS, 144, 203 [Google Scholar]
- Hui-Bon-Hoa, A., & Alecian, G. 1998, A&A, 332, 224 [NASA ADS] [Google Scholar]
- Hui-Bon-Hoa, A., Burkhart, C., & Alecian, G. 1997, A&A, 323, 901 [NASA ADS] [Google Scholar]
- Iglesias, C. A., & Rogers, F. 1996, ApJ, 464, 943 [NASA ADS] [CrossRef] [Google Scholar]
- Kato, S. 1966, PASJ, 18, 374 [NASA ADS] [Google Scholar]
- Korn, A. J., Grundahl, F., Richard, O., et al. 2006, Nature, 442, 657 [Google Scholar]
- Krishna-Swamy, K. S. 1966, ApJ, 145, 176 [Google Scholar]
- Krticka, J., Owocki, S. P., Kubát, J., Galloway, R. K., & Brown, J. C. 2003, A&A, 402, 713 [NASA ADS] [CrossRef] [EDP Sciences] [Google Scholar]
- Kurtz, D. W. 1978, Inform. Bull. Variable Stars, 1436, 1 [Google Scholar]
- Lambert, D. L., Roby, S. W., & Bell, R. A. 1982, ApJ, 254, 663 [NASA ADS] [CrossRef] [Google Scholar]
- Lamers, H. J. G. L. M., & Cassinelli, J. P. 1999, Introduction to Stellar Winds (Introduction to Stellar Winds), ed. J. G. L. M. L. Henny, & J. P. Cassinelli (Cambridge, UK: Cambridge University Press), 452 [Google Scholar]
- Landstreet, J. D., Dolez, N., & Vauclair, S. 1998, A&A, 333, 977 [NASA ADS] [Google Scholar]
- Langer, N., El Eid, M. F., & Fricke, K. J. 1985, A&A, 145, 179 [NASA ADS] [Google Scholar]
- Lanz, T., & Catala, C. 1992, A&A, 257, 663 [NASA ADS] [Google Scholar]
- LeBlanc, F., & Alecian, G. 2008, A&A, 477, 243 [NASA ADS] [CrossRef] [EDP Sciences] [Google Scholar]
- LeBlanc, F., Michaud, G., & Richer, J. 2000, ApJ, 538, 876 [NASA ADS] [CrossRef] [Google Scholar]
- Lemke, M. 1989, A&A, 225, 125 [Google Scholar]
- Lemke, M. 1990, A&A, 240, 331 [Google Scholar]
- Liebert, J., Young, P. A., Arnett, D., Holberg, J. B., & Williams, K. A. 2005, ApJ, 630, L69 [NASA ADS] [CrossRef] [Google Scholar]
- Maeder, A. 1997, A&A, 321, 134 [NASA ADS] [Google Scholar]
- Meyer, J.-P. 1985, ApJS, 57, 173 [NASA ADS] [CrossRef] [Google Scholar]
- Meyer, J.-P. 1996, in Cosmic Abundances, ed. S. S. Holt, & G. Sonneborn, ASP Conf. Ser., 99, 127 [Google Scholar]
- Michaud, G. 1986, ApJ, 302, 650 [NASA ADS] [CrossRef] [Google Scholar]
- Michaud, G., & Charbonneau, P. 1991, Space Sci. Rev., 57, 1 [NASA ADS] [CrossRef] [Google Scholar]
- Michaud, G., & Charland, Y. 1986, ApJ, 311, 326 [NASA ADS] [CrossRef] [Google Scholar]
- Michaud, G., & Proffitt, C. R. 1993, in Inside the Stars, ed. W. W. Weiss, & A. Baglin, ASP Conf. Ser., 40, IAU Colloq., 137, 246 [Google Scholar]
- Michaud, G., Tarasick, D., Charland, Y., & Pelletier, C. 1983, ApJ, 269, 239 [NASA ADS] [CrossRef] [Google Scholar]
- Michaud, G., Richard, O., Richer, J., & VandenBerg, D. A. 2004, ApJ, 606, 452 [NASA ADS] [CrossRef] [EDP Sciences] [Google Scholar]
- Michaud, G., Richer, J., & Richard, O. 2005, ApJ, 623, 442 [NASA ADS] [CrossRef] [Google Scholar]
- Michaud, G., Richer, J., & Richard, O. 2007, ApJ, 670, 1178 [NASA ADS] [CrossRef] [Google Scholar]
- Michaud, G., Richer, J., & Richard, O. 2008, ApJ, 675, 1223 [NASA ADS] [CrossRef] [Google Scholar]
- Mkrtichian, D. E., Hatzes, A. P., Saio, H., & Shobbrook, R. R. 2008, A&A, 490, 1109 [NASA ADS] [CrossRef] [EDP Sciences] [Google Scholar]
- Monier, R. 2005, A&A, 442, 563 [NASA ADS] [CrossRef] [EDP Sciences] [Google Scholar]
- Neff, J. E., & Simon, T. 2008, ApJ, 685, 478 [NASA ADS] [CrossRef] [Google Scholar]
- Netopil, M., Paunzen, E., Maitzen, H. M., North, P., & Hubrig, S. 2008, A&A, 491, 545 [NASA ADS] [CrossRef] [EDP Sciences] [Google Scholar]
- Owocki, S. P., & Puls, J. 2002, ApJ, 568, 965 [NASA ADS] [CrossRef] [Google Scholar]
- Palacios, A., Talon, S., Charbonnel, C., & Forestini, M. 2003, A&A, 399, 603 [NASA ADS] [CrossRef] [EDP Sciences] [Google Scholar]
- Paquette, C., Pelletier, C., Fontaine, G., & Michaud, G. 1986, ApJS, 61, 177 [NASA ADS] [CrossRef] [Google Scholar]
- Parker, E. N. 1960, ApJ, 132, 821 [NASA ADS] [CrossRef] [Google Scholar]
- Perryman, M. A. C., Brown, A. G. A., Lebreton, Y., et al. 1998, A&A, 331, 81 [NASA ADS] [Google Scholar]
- Preston, G. W. 1974, ARA&A, 12, 257 [NASA ADS] [CrossRef] [MathSciNet] [Google Scholar]
- Quievy, D., Charbonneau, P., Michaud, G., & Richer, J. 2009, A&A, 500, 1163 [NASA ADS] [CrossRef] [EDP Sciences] [Google Scholar]
- Randich, S., Primas, F., Pasquini, L., Sestito, P., & Pallavicini, R. 2007, A&A, 469, 163 [NASA ADS] [CrossRef] [EDP Sciences] [Google Scholar]
- Richard, O., Michaud, G., & Richer, J. 2001, ApJ, 558, 377 [NASA ADS] [CrossRef] [Google Scholar]
- Richard, O., Michaud, G., & Richer, J. 2005, ApJ, 619, 538 [NASA ADS] [CrossRef] [Google Scholar]
- Richer, J., & Michaud, G. 1993, ApJ, 416, 312 [NASA ADS] [CrossRef] [Google Scholar]
- Richer, J., & Michaud, G. 2005, EAS Publ. Ser. 17, ed. G. Alecian, O. Richard, & S. Vauclair, 53 [Google Scholar]
- Richer, J., Michaud, G., & Massacrier, G. 1997, A&A, 317, 968 [NASA ADS] [Google Scholar]
- Richer, J., Michaud, G., Rogers, F., Turcotte, S., & Iglesias, C. A. 1998, ApJ, 492, 833 [NASA ADS] [CrossRef] [Google Scholar]
- Richer, J., Michaud, G., & Turcotte, S. 2000, ApJ, 529, 338 [NASA ADS] [CrossRef] [Google Scholar]
- Roby, S. W., & Lambert, D. L. 1990, ApJS, 73, 67 [NASA ADS] [CrossRef] [Google Scholar]
- Simon, T., & Landsman, W. B. 1997, ApJ, 483, 435 [NASA ADS] [CrossRef] [Google Scholar]
- Springmann, U. W. E., & Pauldrach, A. W. A. 1992, A&A, 262, 515 [NASA ADS] [Google Scholar]
- Swenson, F. J., & Faulkner, J. 1992, ApJ, 395, 654 [NASA ADS] [CrossRef] [Google Scholar]
- Takeda, Y., & Sadakane, K. 1997, PASJ, 49, 367 [NASA ADS] [Google Scholar]
- Talon, S., & Charbonnel, C. 2003, A&A, 405, 1025 [NASA ADS] [CrossRef] [EDP Sciences] [Google Scholar]
- Talon, S., & Charbonnel, C. 2005, A&A, 440, 981 [NASA ADS] [CrossRef] [EDP Sciences] [Google Scholar]
- Talon, S., Richard, O., & Michaud, G. 2006, ApJ, 645, 634 [NASA ADS] [CrossRef] [Google Scholar]
- Théado, S., Vauclair, S., Alecian, G., & Le Blanc, F. 2009, ApJ, 704, 1262 [NASA ADS] [CrossRef] [Google Scholar]
- Turcotte, S., Michaud, G., & Richer, J. 1998a, ApJ, 504, 559 [NASA ADS] [CrossRef] [Google Scholar]
- Turcotte, S., Richer, J., Michaud, G., Iglesias, C. A., & Rogers, F. 1998b, ApJ, 504, 539 [NASA ADS] [CrossRef] [Google Scholar]
- Turcotte, S., Richer, J., Michaud, G., & Christensen-Dalsgaard, J. 2000, A&A, 360, 603 [NASA ADS] [Google Scholar]
- Unglaub, K. 2008, A&A, 486, 923 [NASA ADS] [CrossRef] [EDP Sciences] [Google Scholar]
- VandenBerg, D. A., Edvardsson, B., Eriksson, K., & Gustafsson, B. 2008, ApJ, 675, 746 [NASA ADS] [CrossRef] [Google Scholar]
- Varenne, O., & Monier, R. 1999, A&A, 351, 247 [NASA ADS] [Google Scholar]
- Vauclair, S. 1975, A&A, 45, 233 [NASA ADS] [Google Scholar]
- Vauclair, S. 1988, ApJ, 335, 971 [NASA ADS] [CrossRef] [Google Scholar]
- Vauclair, S., & Charbonnel, C. 1995, A&A, 295, 715 [NASA ADS] [Google Scholar]
- Vauclair, S., Dolez, N., & Gough, D. O. 1991, A&A, 252, 618 [NASA ADS] [Google Scholar]
- Watson, W. D. 1971, A&A, 13, 263 [NASA ADS] [Google Scholar]
- Wiese, W. L., Smith, M. W., & Glennon, B. M. 1966, Atomic transition probabilities, Hydrogen through Neon. A critical data compilation, NSRDS-NBS 4, Washington, D.C.: US Department of Commerce, National Buereau of Standards [Google Scholar]
Footnotes
- ...
metals
- Asplund et al. (2005,2009) have proposed a downward revision of the solar abundances of some metals; however we have chosen to keep the previous abundances until their determinations are reconciled with helioseismology (Delahaye & Pinsonneault 2006; Basu et al. 2007 and references therein). The abundance of O, the third most abundant element, is particularly uncertain (Caffau et al. 2008; Delahaye et al. 2010).
- ... opacity
- In Turcotte
et al. (1998b) and Turcotte
et al. (1998a),
(Li)
and
(Be)
were approximated using formulae derived previously by Richer & Michaud (1993).
These are however less accurate than
calculated using direct summations over the spectrum throughout stellar
evolution (using Eq. (1)),
which are described here and were used in Richer
et al. (2000) and Richard
et al. (2001).
- ... winds
- In this paper, mass loss is separated when the abundances in the wind are not the same as in the photosphere. On the contratry, mass loss is unseparatedwhen the abundances in the wind are the same as in the photosphere.
- ... function
- Here M1 = M* at t1and similarly M0 = M* at t0.
- ... term
- Often abusively called a ``wind'' term in this context. It seems preferable to restrict the use of ``wind'' to the region above the photosphere.
- ... results
- Line shadowing occurs when the wind velocity is not sufficient to Doppler shift the wind's line centers away from flux attenuated photospheric line centers, thus reducing radiative accelerations. This is often true until the wind reaches the sonic point.
- ... corona
- This question remains unanswered (see Feldman & Widing 2003 for a complete review).
- ... elements
- Helium is assumed to have a 1:1 ratio with high-FIP elements, since the observations which suggest that He would have a ratio of 1:4 with these elements are questioned (see Feldman & Widing 2003).
- ...correction
-
had
been erroneously forgotten in the 2nd and 3rd terms.
- ... coefficient
- This equation is not used for the calculations. For more details see Turcotte et al. (1998b).
- ...))
- This resembles the results for oxygen which are discussed in Landstreet et al. (1998).
- ... 500 Myr
- We may assume however that if the simulation had not encountered significant instabilities, the shown iron abundance trend would have continued and iron would have become overabundant.
- ...=0)
- Remember that at t=0, the flux
distribution is essentially
proportional to the local abundance multiplied by the local
since the composition is homogeneous.
- ...
- This is smaller than the rate of metal depletion for the
unseparated model 1.40W1E-14, since
.
- ... -0.5 dex
- For a given element, [X/H] is about 0.1 dex larger
than
because of the surface underabundance of H.
- ... wind
- This will be discussed in further detail in a forthcoming paper which will look into the effects of diffusion on the pre-main-sequence.
- ...
)
- Using the Hyades iron enrichment factor of Gratton (2000) to multiply the
metallicity determined by
Asplund et al. (2009)
for the solar mixture, the Hyades metallicity becomes
.
The actual value would
likely lie somewhere between 0.019 and 0.03. The
curve with Z0=0.02 in
Fig. 22
illustrates the impact of uncertainties.
- ...Richer et al. (2000)
- Of course, [N/H] at t=0 for models with Z0=0.03 is above solar for all metals.
- ... shown
- Lithium abundances from Boesgaard & Tripicco (1986) and Boesgaard & Budge (1988) are prefered over the revised values from Boesgaard & King (2002) because there is a greater number of stars. Nonetheless, in the more recent paper, all previous determinations are revised upwards by 0.09 to 0.4 dex.
- ...Boesgaard & Tripicco (1986)
- It has been suggested to revise these observations upwards by up to 0.4 dex (see the discussion in Sect. 2.1.2 of Michaud & Charbonneau 1991; and Boesgaard & King 2002). The maximum depletion encountered in the deepest part of the gap might so be closer to a factor of 50.
- ... two
- Carrier et al. (2007) did not detect pulsations which could have been a signature of iron accumulation in the Am star HD 209625.
- ... abundances
- To significantly improve the evaluation of the effect of changing to another set of solar abundances would require first recalibrating the mixing lenght using a solar model, then carrying out calculations for AmFm stars for both turbulence and mass loss, as well as reanalyzing observations of AmFm star abundances using the new solar abundances. This is outside the scope of the present paper.
All Figures
|
Figure 1:
H-R diagram for all the models shown in Fig. 4. Though all
models were calculated from the PMS to the bottom of the subgiant
branch, the complete tracks are only shown for the 1.7 and
2.3
|
| Open with DEXTER | |
| In the text | |
|
Figure 2:
Opacity spectra for Li, Fe as well as the total opacity in cm2 g-1
at a depth where |
| Open with DEXTER | |
| In the text | |
|
Figure 3:
Variation of radiative accelerations with temperature for Li and Be at
100 Myr (dotted line), 700 Myr (dashed line) and
1.3 Gyr (long dashed line) in a 1.55
|
| Open with DEXTER | |
| In the text | |
|
Figure 4:
Evolution of
|
| Open with DEXTER | |
| In the text | |
|
Figure 5:
(Top row) Radiative accelerations (solid line) and
local gravity (dotted line) for a few selected elements in a
1.5
|
| Open with DEXTER | |
| In the text | |
|
Figure 6:
Top row Radiative accelerations (solid line)
and local gravity (dotted line) in a 2.5
|
| Open with DEXTER | |
| In the text | |
|
Figure 7:
Comparison of the normalized local flux with radiative accelerations
and internal abundances for 3 elements at 4 different
ages (in Myr) for a 2.5
|
| Open with DEXTER | |
| In the text | |
|
Figure 8:
Internal abundances (Fe, Ni), radiative accelerations (Fe, Ni),
Rosseland opacity, the difference between the radiative and adiabatic
temperature gradients as well as the mean molecular weight per nucleus
for three 1.5
|
| Open with DEXTER | |
| In the text | |
|
Figure 9:
Internal abundances (Fe, Ni), radiative accelerations (Fe, Ni),
Rosseland opacity, the difference between the radiative and adiabatic
temperature gradients as well as the mean molecular weight per nucleus
for two 2.5
|
| Open with DEXTER | |
| In the text | |
| |
Figure 10:
Wind velocities (long dashed line: 10-14
|
| Open with DEXTER | |
| In the text | |
|
Figure 11:
Surface abundance variations for five 1.50
|
| Open with DEXTER | |
| In the text | |
|
Figure 12:
Evolution of Ca surface abundances for 1.5
|
| Open with DEXTER | |
| In the text | |
|
Figure 13:
The effect of varying initial metallicity on the evolution of abundance
anomalies at the surface of a 2.0
|
| Open with DEXTER | |
| In the text | |
|
Figure 14:
Surface abundance anomalies at five ages (5, 9, 70, 250 and
524 Myr) for a 2.50
|
| Open with DEXTER | |
| In the text | |
|
Figure 15:
The effect of varying
|
| Open with DEXTER | |
| In the text | |
|
Figure 16:
Evolution of 7Li surface abundances for models
with masses ranging from 1.37
|
| Open with DEXTER | |
| In the text | |
|
Figure 17:
The
|
| Open with DEXTER | |
| In the text | |
|
Figure 18:
Surface abundance evolution for selected elements of 1.40
|
| Open with DEXTER | |
| In the text | |
|
Figure 19:
Gray coded concentrations of two 2.50
|
| Open with DEXTER | |
| In the text | |
|
Figure 20:
Observations of the surface abundances of Sirius A (also known
as |
| Open with DEXTER | |
| In the text | |
|
Figure 21:
A model of 2.2
|
| Open with DEXTER | |
| In the text | |
|
Figure 22: Observed surface abundances of 68 Tau (also known as vB 56, HR 1389 or HD 27962), the hottest star (blue straggler) from the Hyades open cluster. Circles, Hui-Bon-Hoa & Alecian (1998); triangles, Roby & Lambert (1990); squares, Burkhart & Coupry (1989); asterisks, Takeda & Sadakane (1997). communication. Calculated values are shown for 4 models with varying mass loss rates as well as the model with turbulence which best reproduced the data (2.30R1K-3Z0.03, see Richer et al. 2000). One model was calculated with Z0=0.02, while all other models were calculated with an initial metallicity of Z0=0.03. Metallicity is indicated in the model name. |
| Open with DEXTER | |
| In the text | |
|
Figure 23:
Observed surface abundances of HD 73045 (
|
| Open with DEXTER | |
| In the text | |
|
Figure 24:
Observed surface abundances of HD 108486 (
|
| Open with DEXTER | |
| In the text | |
|
Figure 25:
Lithium, beryllium, iron and calcium abundances for models with and
without mass loss
at 625 Myr, the approximate age of
the Hyades open cluster. All models were calculated with an initial
metallicity of Z0=0.02 and
the original Li abundance was set at N(Li) = 3.05.
The Li observations
are from ( |
| Open with DEXTER | |
| In the text | |
Copyright ESO 2010
Current usage metrics show cumulative count of Article Views (full-text article views including HTML views, PDF and ePub downloads, according to the available data) and Abstracts Views on Vision4Press platform.
Data correspond to usage on the plateform after 2015. The current usage metrics is available 48-96 hours after online publication and is updated daily on week days.
Initial download of the metrics may take a while.
![\begin{figure}
\par\includegraphics[scale=.505,clip]{14307fg1.eps}
\end{figure}](/articles/aa/full_html/2010/13/aa14307-10/Timg44.png)
![\begin{figure}
\par\mbox{\includegraphics[scale=.68]{14307fg2a.eps}\includegraphics[scale=.68]{14307fg2b.eps} }\end{figure}](/articles/aa/full_html/2010/13/aa14307-10/Timg67.png)
![\begin{figure}
\par\includegraphics[scale=.48,clip]{14307fg3.eps} %\end{figure}](/articles/aa/full_html/2010/13/aa14307-10/Timg70.png)
![\begin{figure}
\par\includegraphics[scale=1.01,clip]{14307fg4.eps}
\end{figure}](/articles/aa/full_html/2010/13/aa14307-10/Timg119.png)
![\begin{figure}
\par\includegraphics[scale=1.01,clip]{14307fg5a.eps}\par\includeg...
...{14307fg5b.eps}\par\includegraphics[scale=1.01,clip]{14307fg5c.eps}
\end{figure}](/articles/aa/full_html/2010/13/aa14307-10/Timg120.png)
![\begin{figure}
\par\includegraphics[scale=1.01,clip]{14307fg6a.eps}\par\includegraphics[scale=1.01,clip]{14307fg6b.eps}
\end{figure}](/articles/aa/full_html/2010/13/aa14307-10/Timg134.png)
![\begin{figure}
\par\includegraphics[scale=.80,clip]{14307fg7.eps}
\end{figure}](/articles/aa/full_html/2010/13/aa14307-10/Timg141.png)
![\begin{figure}
\par\includegraphics[scale=.80,clip]{14307fg8.eps}
\end{figure}](/articles/aa/full_html/2010/13/aa14307-10/Timg161.png)
![\begin{figure}
\par\includegraphics[scale=.80,clip]{14307fg9.eps}\vspace{-3mm}
\vspace{-2mm}
\end{figure}](/articles/aa/full_html/2010/13/aa14307-10/Timg165.png)
![\begin{figure}
\par\includegraphics[scale=1.04,clip]{14307fg11a.eps}\par\includegraphics[scale=1.04,clip]{14307fg11b.eps}
\end{figure}](/articles/aa/full_html/2010/13/aa14307-10/Timg173.png)
![\begin{figure}
\par\includegraphics[scale=.46,clip]{14307fg12.eps}
\end{figure}](/articles/aa/full_html/2010/13/aa14307-10/Timg178.png)
![\begin{figure}
\par\includegraphics[scale=1.04,clip]{14307fg13.eps}
\end{figure}](/articles/aa/full_html/2010/13/aa14307-10/Timg181.png)
![\begin{figure}
\par\includegraphics[scale=.52,clip]{14307fg14.eps}
\end{figure}](/articles/aa/full_html/2010/13/aa14307-10/Timg187.png)
![\begin{figure}
\par\includegraphics[scale=.52,clip]{14307fg15.eps}
\end{figure}](/articles/aa/full_html/2010/13/aa14307-10/Timg191.png)
![\begin{figure}
\par\includegraphics[scale=.42,clip]{14307fg16.eps}
\end{figure}](/articles/aa/full_html/2010/13/aa14307-10/Timg193.png)
![\begin{figure}
\par\includegraphics[scale=.92]{14307fg17.eps}
\end{figure}](/articles/aa/full_html/2010/13/aa14307-10/Timg196.png)
![\begin{figure}
\par\includegraphics[scale=1.04,clip]{14307fg18.eps}
\end{figure}](/articles/aa/full_html/2010/13/aa14307-10/Timg197.png)
![\begin{figure}
\par\mbox{\includegraphics[scale=.42,clip]{14307fg19a.eps}\includegraphics[scale=.42,clip]{14307fg19b.eps} }\end{figure}](/articles/aa/full_html/2010/13/aa14307-10/Timg205.png)
![\begin{figure}
\par\includegraphics[scale=.53,clip]{14307fg20.eps}
\end{figure}](/articles/aa/full_html/2010/13/aa14307-10/Timg209.png)
![\begin{figure}
\includegraphics[scale=.89,clip]{14307fg21.eps}
\end{figure}](/articles/aa/full_html/2010/13/aa14307-10/Timg214.png)
![\begin{figure}
\par\includegraphics[scale=.53,clip]{14307fg22.eps}
\end{figure}](/articles/aa/full_html/2010/13/aa14307-10/Timg215.png)
![\begin{figure}
\includegraphics[scale=.53,clip]{14307fg23.eps}
\end{figure}](/articles/aa/full_html/2010/13/aa14307-10/Timg217.png)
![\begin{figure}
\par\includegraphics[scale=.53,clip]{14307fg24.eps}
\end{figure}](/articles/aa/full_html/2010/13/aa14307-10/Timg224.png)
![\begin{figure}
\par\includegraphics[scale=.98,clip]{14307fg25.eps}
\end{figure}](/articles/aa/full_html/2010/13/aa14307-10/Timg226.png)