| Issue |
A&A
Volume 521, October 2010
|
|
|---|---|---|
| Article Number | A85 | |
| Number of page(s) | 16 | |
| Section | Galactic structure, stellar clusters, and populations | |
| DOI | https://doi.org/10.1051/0004-6361/201014827 | |
| Published online | 25 October 2010 | |
The gravitational wave signal from diverse populations of double white dwarf binaries in the Galaxy
S. Yu - C. S. Jeffery
Armagh Observatory, College Hill, Armagh,
BT61 9DG, Northern Ireland, UK
Received 20 April 2010 / Accepted 19 July
2010
Abstract
Context. The gravitational wave (GW) background in
the range 0.01-30 mHz has been assumed to be dominated by
unresolved radiation from double white dwarf binaries (DWDs). Recent
investigations indicate that, at short periods, a number of DWDs should
be resolvable sources of GW.
Aims. We characterize the GW signal which
would be detected by LISA from DWDs in the Galaxy.
Methods. We have constructed a Galactic model in
which we consider distinct contributions from the bulge, thin disc,
thick disc, and halo, and subsequently executed a population synthesis
approach to determine the birth rates, numbers, and period
distributions of DWDs within each component.
Results. In the Galaxy as a whole, our model
predicts the current birth rate of DWDs to be
yr-1,
the local density to be
and the total number to be
.
Assuming SNIa are formed from the merger of two CO white dwarfs, the
SNIa rate should be 0.0013 yr-1. The
frequency spectra of DWD strain amplitude and number distribution are
presented as a function of galactic component, DWD type, formation
channel, and metallicity.
Conclusions. We confirm that CO+He and He+He white
dwarf (WD) pairs should dominate the GW signal at very high
frequencies (
),
while CO+CO and ONeMg WD pairs have a dominant contribution at
.
Formation channels involving two common-envelope (CE) phases or a
stable Roche lobe overflow phase followed by a CE phase
dominate the production of DWDs detectable by LISA at
.
DWDs with the shortest orbital periods will come from the
CE+CE channel. The Exposed Core plus CE channel is a
minor channel. A number of resolved DWDs would be detected, making up
0.012% of the total number of DWDs in the Galaxy. The majority of these
would be CO+He and He+He pairs formed through the CE+CE channel.
Key words: gravitational waves - binaries: close - white dwarfs - Galaxy: structure - galaxies: stellar content
1 Introduction
Substantial efforts have been made to measure gravitational waves that, according to Einstein, should permeate the whole Universe (Press & Thorne 1972; Tyson & Giffard 1978). Today, four major ground-based detectors are in operation (LIGO, VIRGO, GEO600, and TAMA300), but no direct evidence for the existence of gravitational waves (GW) has been established.
Following the proposed launch of LISA (Laser Interferometer
Space
Antennae), it is anticipated that the most easily detected waves
will originate from close compact binary stars. In addition to
providing a direct test of general relativity, the observations of
GW from such systems will contribute to understanding close
binary
star evolution, the distribution of X-ray sources,
-ray
bursts and supernovae explosions, and may also improve knowledge of
galactic structure.
As a result of recent and current surveys, increasing numbers of candidate compact binaries are being found, including double neutron stars (NS) and double white-dwarf (DWD) systems. AM CVn variables are thought to be semi-detached ultra-compact binary stars systems in which a white dwarf accretes from a degenerate (or semi-degenerate) companion with an orbital period of less than 80 min. Currently the number of known AM CVn systems is approximately 20 (Roelofs et al. 2007; Ramsay et al. 2007), while those of detached DWD and NS systems with known orbital periods are 24 and 8 respectively.
Theoretical studies of the dominant GW signal in the Galaxy have been pursued for several decades. Mironovskii (1966) calculated the spectral density and total flux due to GW from W UMa binaries and predicted a very low flux with a spectrum peaked at a period of about 0.17 d (0.07 mHz) (A- and W-type W UMa binaries have orbital periods in the range 0.4-0.8 d and 0.22-0.4 d, respectively). Subsequently Evans et al. (1987) demonstrated that degenerate dwarf binaries should be detectable sources of gravitational waves. More recent work indicates that DWD binaries are crucial GW sources in the 0.1-100 mHz range (Nelemans et al. 2001b; Willems et al. 2007; Farmer & Phinney 2003; Nelemans et al. 2004; Hils et al. 1990; Hils & Bender 2000). The results of Ruiter et al. (2009) show the halo signal would have a negligible effect on the detection of LISA sources in comparison with that of the disc and bulge.
Such population synthesis models are sensitive to the adopted inputs, including the fast stellar evolution models, the Galactic model, including mass and metallicity distribution, initial mass function, and star formation rate, and various parameters governing binary star evolution, such as mass loss and exchange in binary stars. It is important to ensure that previous results are robust by reproducing them in independent calculations, and to identify the major areas of uncertainty in these models. It is also important to validate a new code by testing it against established benchmarks, before using it to explore new physics. This paper addresses both of these functions.
To discuss the GW background due to a population of galactic DWDs, we have executed a simulation based on a population synthesis approach for DD binaries which uses a multi-component model of the Galaxy. We do not include the contribution of DD's containing an NS or black hole (BH) since the formation and evolution of these await further theoretical and observational constraint. Other parameters of our stellar evolution model are taken from the best model of Han (1998).
In addition to the GW signal, our model provides an estimate of the current birth rate, total numbers and properties (e.g. the primary mass and orbital period) of DWDs which may be compared with observation.
In Sect. 2 we describe the model for generating a GW signal from a binary, the stellar evolution model for generating a population of compact binaries, and the model for generating their galactic distribution. In Sect. 3, we show the main results from these models in terms of the overall Galactic GW signal, and in terms of the contribution from various components of the DWD population. Section 4 compares these results with previous work, and conclusions are drawn in Sect. 5.
2 Simulations
2.1 The GW signal from a binary star
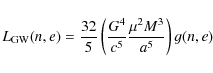
The power of the GW radiated from two point masses in the nth
harmonic is given by
where G is Newton's gravitational constant, c is the speed of light, a is their orbital separation, e is the eccentricity of the orbit, M and
| (2) |
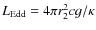
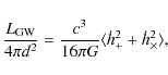
The GW energy flux density incident on the Earth is
where d is the distance, h+ and
where
The so-called strain amplitude h,
defined as
,
describes the
strength of the signal to be measured by GW detectors. From
Eqs. (3)-(5), we obtain
(Nelemans et al. 2001b; Douglass & Braginsky 1979). So from Eqs. (1), (6), and Kepler's law
Equation (7) gives the strain amplitude in the nth harmonic with a frequency
2.2 Stellar evolution models
A binary star population synthesis calculation requires the predicted evolution of many thousands of binary stars, only a fraction of which yield systems of interest (Sect. 2.2.6). We have obtained this predicted evolution using the fast binary star evolution (BSE) code described by Hurley et al. (2002,2000) and previously referred to by Han (1998). However, we have modified the code in a number of ways, including several of the approximation formulae and the treatment of the common envelope ejection mechanism. This section describes these changes, including the approximations used to simulate changes in mass and angular momentum due to the interaction of binary star components.
2.2.1 Common-envelope (CE) evolution
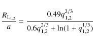
RLOF occurs in binary systems when one star fills its Roche lobe
either by evolutionary expansion or by orbital shrinkage. The Roche
radius of the primary is given by
where a is more generally the semi-major axis of the orbit and q1,2=m1,2/m2,1 (Eggleton 1983). Studies of the critical value for stable RLOF have shown that
|
(10) |
where x = 0.3 is the exponent of the mass-radius relation at constant luminosity for giant stars (Hurley et al. 2002,2000).
The calculation of the properties (e.g. orbital separation) of
a binary after CE ejection in our model is based on the
variation of angular
momentum (
-mechanism).
In the case of non-conservative mass
transfer, the angular momentum loss of a binary system would be
described by the decrease of primary mass times a
factor
(Paczynski
& Ziókowski 1967; Nelemans et al. 2000):
where
where
|
(13) |
Nelemans & Tout (2005) investigated the mass-transfer phase of the progenitors of white dwarfs in binaries employing the
In order to eject a binary star common envelope, conservation
of energy requires that the envelope binding energy, including
gravitational binding and recombination energies, must be equal to the
orbital energy (Webbink
2008,1984).
The ratio of final to initial orbital separation can be expressed as
|
|
= |
|
|
|
(14) |
where the coefficients are given by Webbink (2008).
Both CE ejection mechanisms can reproduce
observations (Webbink
2008; Nelemans
et al. 2000; Nelemans & Tout 2005).
We here adopt the
-algorithm
in order to reduce the number of free parameters in the model.
We note that there is a major difference between the
- and
-algorithms.
In both, the first CE phase can lead to the production of a
low-mass binary with
.
However, the
-algorithm
requires a significant spiral-in stage in order to eject the envelope
whilst the
-mechanism
does not, implying that the orbital separation can be larger after
CE ejection in the latter case (Webbink 2008; Nelemans
et al. 2000).
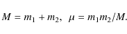
2.2.2 Stellar wind and accretion
We assume that the existence of a close companion will increase the
rate of mass-loss (
)
due to a stellar wind from a star in a
binary system. The tidal enhancement of
is modelled by
Reimers (1975) formula with
an extra tidal term by
Tout & Eggleton (1988):
where r1, l1 and m1 are stellar radius, luminosity and mass in solar units, respectively. We take B=1000(Han 1998).
Some of the mass lost in the wind may be accreted by the
companion.
The classical accretion rate formula is given by Bondi
& Hoyle (1944),
and the mean accretion rate (Boffin
& Jorissen 1988) is
|
(16) |
where
2.2.3 Gravitational radiation and magnetic braking
A close compact binary system driven by gravitational radiation would
eventually undergo a mass transfer phase, ultimately leading to
coalescence. The orbital changes due to gravitational radiation from
two point masses are predicted to be (Hurley
et al. 2002):
|
|
= |
|
|
|
(17) |
|
|
= |
|
|
|
(18) |
Gravitational radiation could explain the formation of cataclysmic variables (CVs) with orbital periods less than 3 h, while magnetic braking of the tidally coupled primary by its own magnetic wind would account for orbital angular-momentum loss from CVs with periods up to 10 h (Faulkner 1971; Zangrilli et al. 1997). We use the formula for the rate of angular-momentum loss due to magnetic braking derived by Rappaport et al. (1983) and Skumanich (1972):
|
(19) |
where r,
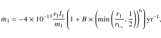
2.2.4 Tidal interaction
Observations indicate that stellar rotation in a close binary system tends to synchronize with the orbital motion (Levato 1974; Strassmeier 1996). The two tidal dissipation processes, i.e. turbulent dissipation of the equilibrium tide and radiative damping of the dynamical tide, are able to account for the observed orbital circularization of close binary and components rotating in synchronism with orbital motion; see Zahn (2005) for a review. The calculation of tidal interaction in our model follows Hurley et al. (2002) and adopts an equilibrium tide for the stars with a convective envelope (Rasio et al. 1996) and a dynamical tide for the stars with a radiative envelope (Zahn 1977,1975).
In addition, we note that a hydrodynamical mechanism may account for the orbital circularization as it is concomitant with the hydrodynamical spin-down of the components both in early-type and late-type detached close binaries (Tassoul 1988). Since this mechanism would be more effective than the tidal interaction at circularizing the orbit of a binary, we adopt the tidal dissipation as an upper limit to the circularization timescale.
The tidal synchronisation
time is then
|
(20) |
for a tide raised on a white dwarf secondary of mass m2(Campbell 1984), where r2, l2 and q2 represent its radius, luminosity and mass ratio respectively.
2.2.5 Mass transfer in compact binaries
As a result of gravitational radiation, mass transfer or direct
merger between two compact binaries is inevitable if the compact
object with lower mass fills its Roche lobe. The analytic
mass-radius relation for zero-temperature white dwarfs, is
(Nauenberg 1972)
|
(21) |
where
where
and C1, C2
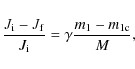
For stable mass transfer, Han
& Webbink (1999) give the critical mass ratio
Here, m2 is donor. If
Nelemans et al.
(2001a) give an alternative value
,
,
using the size of the Roche lobe and the mass transfer rate derived
by Paczynski (1967). We
adopt the Han & Webbink (1999)
approximation.
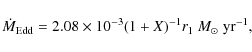
Finally, we give a formula for the Eddington accretion rate
(Hurley
et al. 2002; Cameron & Mock 1967)
which places a significant limit on the amount of mass accreted by compact objects.
We set this limit only for the accretion of compact objects. However, whether the Eddington limit should be applied or not needs to be further investigated, since the luminosity generated by accretion in excess of this limit might be carried away from the system via a strong wind, or transfered to a disc. Super-Eddington accretion rates may be important for the formation of low-mass X-ray binaries and millisecond pulsars (Webbink & Kalogera 1997) and also for modeling X-ray emission from quasars due to accretion from a disc onto a fast rotating black hole (Beloborodov 1998). Imposing the limit diminishes the birth rate of type Ia supernovae (Livio 2000).
2.2.6 The formation channels for compact binaries
One can find a detailed discussion of the formation channels of compact binaries in Han (1998). We here only summarize the three main evolution channels which produce the majority of compact binaries:
- I:
- stable RLOF + CE ejection;
- II:
- CE ejection + CE ejection;
- III:
- exposed core + CE ejection.
| (26) |
where
If the adiabatic response of the radius of the mass donor is
less than the change of its Roche lobe radius with respect to a change
of mass, i.e.
,
mass transfer will be unstable and a common envelope (CE) will form.
Interaction (friction) between the compact cores and the
CE will
convert orbital energy into kinetic energy, heating and expanding
the CE. If the energy conversion mechanism is sufficiently
efficient, the CE will be expelled and a compact binary with a
short
orbital period will result.
Channel II demands that the binary has
so that, if
the primary fills its Roche lobe while in the Hertzsprung gap or on the
red giant branch,
unstable mass transfer will lead to the formation of a CE.
Similarly, if sufficient orbital energy can be extracted, the CE
will be ejected to leave a binary containing a compact object.
Following evolution of the secondary away from the main sequence, a
second CE could form and be ejected to leave a compact
binary.
Channel III represents a variation of channels I and II in which the envelope of a massive primary is removed by a stellar wind rather than a first CE ejection. CE ejection following evolution of the secondary may also give rise to a compact binary.
In summary, CE plus CE represents the major channel. Up to 74% (Han 1998), or 67% in our model (see Table 3), of compact binaries may be generated through this channel depending on the choice of parameters. This may also be the most efficient channel to produce compact binaries with very short orbital periods. The stable RLOF plus CE channel can account for up to 50% of compact binaries (Han 1998), or 30% in our model. Exposed core plus CE is a minor channel which could make a significant contribution when a binary evolves with a strong tidally-enhanced stellar wind. Both the results of Han (1998) and our own show this channel to be negligible for compact binaries with orbital periods shorter than 70 h.
2.3 Galactic structure
A detailed model of the Galaxy is important in order to describe the overall distribution of white dwarf binary systems, including the distance of each from the Sun. It is believed that the current Galaxy mainly comprises the bulge, the thin disc, thick disc and the halo. We summarize our approximation for the Galactic density distribution in Table 1.
Figure 1
shows the distributions of distances to the Earth
of compact binaries in the Galaxy and the bulge plus the thin disc.
We assume that the position of the sun is
kpc
and
pc
(Freudenreich 1998).
- 1.
- We adopt a normal density distribution for the spherical
bulge
with a cut-off radius of 3.5 kpc (Nelemans
et al. 2004),
(27)
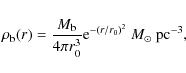
where r is the radius from the center of the Galaxy, r0= 0.5 kpc is the bulge scale length, and
is the mass of bulge (see Sect. 2.4 find the
value). Robin et al. (2003)
suggest that the structure of the inner bulge
(<
from the Galactic center) is not yet well constrained
observationally. Consequently we here focus on the outer bulge and
make no allowance for any additional contribution
to the
compact-binary population from the central region.
- 2.
- A more complicated function is involved in the spatial
density
distribution of stars in the disc. Sackett
(1997) proposed a
double exponential distribution. Phleps
et al. (2000) derived three
functions for the star density distribution in their model of a thin
disc plus thick disc (exponential + exponential, hyperbolic secant
+ exponential, and squared hyperbolic secant + exponential,
respectively) from fits to deep star counts carried out in the Calar
Alto Deep Imaging Survey. Robin
et al. (2003) created a complicated function to
construct the structure of the Galactic disc
which is in agreement with Hipparcos results and the observed
rotation curve.
Table 1: Density laws and associated parameters.
We here model the thin and thick disc components of the Galaxy using a squared hyperbolic secant plus exponential distribution expressed as:
Figure 1: The top panel shows the distribution of stars in the R(Galactic plane)-z(height) diagram for our Galactic model at age 10 Gyr, using a random sample of
70 000 stars.
The lower panel gives the number of DWDs in the Galaxy as a function of
galactic radius, using a bin size of 0.1 kpc. The
inset panel shows the thick disk and
halo distribution. We assume there is no immigration between each
Galactic component, i.e. no mass transfer, no angular momentum
transfer, no collision.
Open with DEXTER
(28)
where R and z are the natural cylindrical coordinates of the axisymmetric disc, and hR=2.5 kpc is the scale length of the disc, h=hz for the thin disc, h=h'z for the thick disc, and
is the mass of the thin disc;
is the mass of the thick disc (see Sect. 2.4 find the
values).
is the distribution in z, with:
(29)
and
(30)
where hz=0.352 kpc is the scale height of the thin disc and h'z=1.158 kpc is the scale height of the thick disc. We neglect the age and mass dependence of the scale height. - 3.
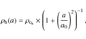
- For the halo, we employ a relatively simple density
distribution
which is consistent with Caldwell
& Ostriker (1981) and Robin
et al. (2003)
:
(31)
where a is the radius of the halo,
and
.
2.4 Population synthesis parameters in the Monte Carlo approach
In order to obtain a sample of compact binaries in the Galaxy, we have performed a Monte Carlo simulation in which we need five physical inputs:
- (i)
- we assume that the star formation rate (SFR) in the bulge
and
thin disc is the combination of a main star forming process (the first
item of the following function) and a minor star formation (the
second item of the function),
(32)
where t is time since the halo was formed. Assuming the current age of the Galaxy is 14 Gyr, t0=4 Gyr defines the age of the bulge and thin disc to be 10 Gyr and
Gyr yields a current
,
1.45
in
the bulge and 3.37
in the thin disc, on
average. These values are consistent with Smith
et al. (1978), Timmes
et al. (1997) and Diehl
et al. (2006). We assume that SFR(t)=0
in the bulge and thin disc when 0<t<t0.
In terms of these assumptions, we infer that the combined mass of thin disc and bulge approaches
,
slightly higher than the mass of
reported by Klypin et al.
(2002). Within this mass, the
bulge contains
and the
remaining
is in the thin disc.
We suppose a burst of star formation, effectively a
function, happened at t = 0 Gyr for the
halo, and at t = 3 Gyr for the thick disc (Robin et al. 2003) and no
star formation thereafter. We assume that the
thick disc and the halo attain baryonic masses of
(5% of thin disc) and
respectively. These numbers are adopted for simplicity
solely to estimate their contribution to the GW signal.
- (ii)
- The initial mass function (IMF) can be constrained by the
local luminosity function, stellar density and potential. We here
adopted the
IMF for the Galactic components based on the results of Robin et al. (2003) and Kroupa et al. (1993)
constrained by the observations of Wielen
et al. (1983), Popper
(1980) and the Hipparcos mission (Creze et al. 1998; Jahreiß
& Wielen 1997).
For the bulge, we suppose an IMF following Robin et al. (2003),
(33)
where m is the primary mass and
is
the number of stars in the mass interval m to m+dm.
For the thin disc, we adopt the IMF of Kroupa et al. (1993)
which is similar to that of Miller
& Scalo (1979) and Zoccali
et al. (2000). The primary mass is generated using
the following formula
To the thick disc and the halo, we also apply a simple IMF of power law,
Here, we take
for the thick disc and the halo.
We have adopted a metallicity Z=0.02 (Population I) for the bulge, thin disc and thick disc, and Z=0.001 for the halo. We have also carried out calculations for the thin disc with metallicity Z=0.001in order to see the effect of metallicity on the GW signal.
- (iii)
- We assume a constant mass-ratio distribution
(Goldberg
& Mazeh 1994; Mazeh et al. 1992),
(36)
- (iv)
- We employ the distribution of initial orbital separations
used
by Han (1998) and Han et al. (2003), where
they assume that all stars are
members of binary systems and that the distribution of separations
is constant in
(a is the separation) for wide binaries
and falls off smoothly at close separations:
where
,
,
pc,
.
This
distribution implies that the number of binary systems per
logarithmic interval is constant. In addition,
approximately 50 per
cent of all systems are binary stars with orbital periods of less
than 100 yr.
- (v)
- The distribution of eccentricities of binaries follows
(Nelemans et al. 2001b).
2.5 Rotation curve and local stellar density
|
Figure 2: Circular velocity as a function of galactocentric distance R from the Galatic model, showing the contribution due to different components, i.e. the bulge, thin disc + thick disc, and halo including dark matter. The dashed line indicates the observational estimate by Brand & Blitz (1993). The spheroidal component due to the interstellar medium was not considered separately. |
| Open with DEXTER | |
In order to see the influence of the Galactic model on the rotation curve of the Milky Way, we plotted Fig. 2. We used the Miyamoto-Nagai potential (Miyamoto & Nagai 1975; Revaz et al. 2009) in cylindrical coordinates for calculating the circular velocity of the bulge and disc components. For the dark matter halo, we adopted the potential of Caldwell & Ostriker (1981). The observational estimate by Brand & Blitz (1993) is included for comparison.
From the Galactic model, the total mass of the halo including
dark matter is
inside a sphere of radius 50 kpc. In this paper, we only focus
on the baryonic mass in the halo which is considered to be
.
With the SFR adopted here, the baryonic mass in the bulge and disc
is at least
and
respectively, implying that our model requires no dark matter
component in the bulge or the thin disc.
Combining the Galactic model and the mass of the Galactic
components, the stellar density in the solar neighbourhood is
,
of which
is in the thin disc,
is in the thick disc, and
is in the halo. This is consistent with the Hipparcos result,
(Creze et al. 1998).
The local dark matter density in our model is about
.
2.6 Procedure
In order to compute birth rates, number densities, space, mass and
orbital distribution of DWDs, we have adopted the following procedure.
For each Galactic component g (bulge, thin disc,
thick disc and
halo) having a total mass
:
- 1.
- calculate a sample distribution of k
coeval binaries having a total mass
and generated by the four Monte-Carlo simulation parameters m,
a, q and e;
- 2.
- follow the evolution of each primordial binary to establish the properties of n(t') DWDs formed from the original sample, and the number x(t') of DWDs which merge, where t' represents time since formation of each binary;
- 3.
- by combining n(t')
and x(t') with the star
formation rate, compute the birth rate of DWDs
;
- 4.
- compute the merger rate of DWDs
;
- 5.
- evaluate the total number of DWDs
;
- 6.
- for a given t (e.g. 14 Gyr), use a second Monte Carlo procedure to generate the orbital properties and spatial distribution of N(t) Galactic DWDs by interpolation and extrapolation on the n DWDs from the simulation;
- 7.
- sort the DWDs by orbital frequency;
- 8.
- calculate the total strain amplitude h2 from the number and distance of DWDs in each frequency bin.
Table 2: Birth rates, local densities and numbers of DWDs.
|
Figure 3:
Distribution of primary masses (left panel),
mass ratio q=m2/m1
(right panel) and orbital periods of DWDs in our
model. The contour scale to the right of the figure represents the
number of
systems in each bin. The present DWD population is plotted, but the
total number of DWDs (
|
| Open with DEXTER | |
3 Results
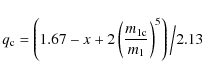
3.1 Birth rates, local densities and numbers of DWDs
The results of our simulation are shown in
Table 2,
where we give the birth and merger rates
(number per year), local densities (pc-3)
and total numbers of DWDs.
Figures are given for each component of the Galaxy and for
the Galaxy as a whole. Table 2 also shows
the
numbers detectable if we assume that DWDs continue to be detectable
up to 108 yr after their formation (Iben et al. 1997). At the
end
of Table 2,
we show the
birthrate for type Ia supernovae = 0.0013 yr-1,
assuming that all SNe Ia are formed from merging double
carbon-oxygen (CO) white dwarfs with total mass >
(Martin et al. 2006).
The local densities of DWDs in our model are
,
,
and
in the thin disc, thick disc, and halo, respectively. The predicted
density of halo DWDs is significantly less than the observed
density of halo white dwarfs =
(Oppenheimer et al. 2001).
This could be partially due to the star formation history, as we only
have a single star burst of
at the formation of the halo. If we assume 10% of halo WDs are in
binary systems (Holberg 2009),
the observation requires the local density of halo DWDs to be
.
This would require the baryonic mass in the halo to be
,
11% of the total mass of the halo, while the dark matter takes up the
remaining 89% of mass of halo.
Table 2 also gives figures for the different thin disc models discussed above. A low metallicity results in a slight increase of the birth rate and number of WD binaries for a given IMF, in line with the results of Han (1998).
Figure 3
shows the distribution of orbital period
as a
function of primary mass (
,
left panel) and mass ratio
(
q=m2/m1,
right panel).
|
Figure 4:
Distribution of the chirp mass and frequency of DWDs. The contour scale
to the right of the figure shows the number of
systems in each bin.
The present DWD population is plotted, but the total number of DWDs (
|
| Open with DEXTER | |
3.2 Chirp masses
We plot the number density distribution of DWD chirp masses against
frequency in Fig. 4.
Using
Eq. (23)
and assuming 15 Gyr for
the age of universe, we obtain a relation between chirp mass and a
critical frequency for DWDs with a circular orbit, i.e. e=0.0,
|
(38) |
Figure 4 shows this relation; DWDs with
We can understand the distribution of chirp mass from the view
of stellar evolution. A star only develops a degenerate helium core to
become a helium WD either if its main sequence progenitor evolves to
the giant branch and loses its hydrogen envelope prior to core helium
ignition, or if the hydrogen-envelope
is removed during main-sequence evolution so that the star fails to
reach the giant branch and evolves directly from either the main
sequence or the
Hertzsprung gap to the He WD cooling track. The mass of the He WD will
be
,
depending somewhat on metallicity.
If the mass of the He core is
,
core helium burning will be ignited. Following core-helium exhaustion,
the star will evolve to become a degenerate carbon-oxygen (CO) or
oxygen-neon-magnesium (ONeMg) WD with mass in the range of
following an asymptotic giant branch, naked helium giant or hot
subdwarf phase, depending on the chemical composition
and mass of the progenitor.
With the population synthesis parameters adopted here,
Fig. 4
shows a principal ridge in chirp mass at
.
Figure 6
demonstrates that this ridge corresponds to the He+He DWDs and
represents the largest population of DWDs in our model. A smaller and
broader ridge is located at
and corresponds to the CO+CO
DWDs (Fig. 6).
CO+He DWDs have a range of chirp masses intermediate between the He+He
and CO+CO DWS (Fig. 6),
making the chirp-mass distribution in Fig. 4 appear
relatively continuous.
|
Figure 5:
The number of DWDs per frequency bin ( right panel)
and their GW signal ( left panel). In the
left panel, |
| Open with DEXTER | |
3.3 The total GW amplitude spectrum from DWDs and comparison with LISA
In order to synthesize the amplitude spectrum for DWDs, we choose a
LISA integration time
s
(1 yr), so that the frequency resolution
,
which we adopt for the
size of the frequency bin. Hereafter, GW frequencies f
are given in
Hz, unless otherwise stated.
Some frequency bins in the high-frequency domain will contain
an
individual source if the bin is small enough, arising from a rapid
decrease in the number of Galactic binaries towards shorter periods.
These are the so-called resolved sources. Evans et al. (1987)
discussed the relation between the detector bandwidth
and
integration time T. They plotted the amplitude of
DWDs with
integrations times of 106 s and 108 s,
and found that
all binaries with a frequency above
3 mHz should be
resolved if the integration time is >108 s.
Figure 5
illustrates the predicted total number of DWDs
per frequency bin (right panel) and the GW signal (left)
these DWDs would produce. Some bins in the range
only
contain a single system (Resolved DWDs), making up
0.012%
(33670, Table 2)
of the total number of DWDs.
LISA is designed to be a space-based GW detector,
consisting of 3 satellites flying in formation to
form a Michelson interferometer with an arm length of
km.
Noise arises mainly from the laser tracking system (position noise) and
parasitic forces on the proof mass of an accelerometer (acceleration
noise) (Larson et al. 2000).
We can convert the noise signal to an equivalent GW signal in
frequency space by
|
(39) |
where
For a continuous monochromatic source, such as a DWD with a
circular orbit, which is observed over a time T,
the root spectral density will appear in a Fourier spectrum as a single
spectral line in the form (Larson
et al. 2000)
|
(40) |
So, for an observation time T = 1 yr, the root spectral density
To demonstrate the detectability of the predicted GW signals due to DWDs, Figs. 5-9 show the expected LISA sensitivity for S/N=1 and 5.
|
Figure 6:
The GW signal due to different types of DWD. |
| Open with DEXTER | |
|
Figure 7:
The GW signal due to DWDs from different formation channels.
The left panel presents the strain amplitudes. The
number distribution is shown in the right.
The LISA sensitivity and frequency bins are as in
Fig. 5.
Note that the exposed core + CE channel is a very minor
channel (< |
| Open with DEXTER | |
3.4 The GW signal from various DWD types and channels
Figure 6 shows the contribution to the GW signal from different types of DWD in our model, including those containing two helium WDs (He+He), a carbon-oxygen WD and a helium WD (CO+He), and two CO WDs (CO+CO). DWDs containing at least one ONeMg white dwarf are designated ``ONeMg''.
Figure 6
shows that CO+CO and ONeMg DWDs have a stronger total strain amplitude
for
(
h), up to almost
0.6 dex higher than that of He+He and CO+He DWDs,
despite being less numerous. Since the strain amplitude for a single
DWD of
given frequency is proportional to
(Eq. (7)), the larger
chirp masses of the CO+CO and ONeMg
DWDs dominate the numerical superiority of the He+He DWDs.
CO+CO and ONeMg DWDs are formed in more massive progenitor binaries than He+He and CO+He DWD progenitors. Such binaries undergo RLOF or CE ejection when the stars are physically larger, and hence are in longer period systems and less likely to form short-period DWDs. Consequently the slope of the number-frequency distribution for CO+CO and ONeMg DWDs is steeper than for less-massive DWDs, and the nett contribution to the strain amplitude falls away more quickly.
Consequently, for
,
the signals from all four DWD types converge and
then at
,
the strain amplitude appears to scale roughly as
the average chirp mass for the DWD type. The main reason is that the
number of
systems per frequency bin is here very small and generally
3.
The contribution from ONeMg DWDs remains highest because of the
chirp-mass effect. However, our model predicts negligibly few ONeMg
DWDs at
,
and negligibly few CO+CO DWDs at
(
min), so these
contributions vanish at these frequencies.
Figure 6
shows that CO+He DWDs are the dominant GW source at very high
frequency (
). This may be understood as a
consequence of evolutionary age. In general, ONeMg DWDs and CO+CO DWDs
correspond to larger progenitor masses and hence a smaller number of
progenitors, faster evolution and a lower detection probability. On the
other hand, He WDs have larger radii, so He+He DWDs tend to merge more
quickly after a double CE phase.
Figure 7
compares the contribution of different DWD
formation channels. The stable RLOF+CE and
CE+CE channels dominate the
production of DWDs, with the CE+CE channel generating 66.7% of
all
DWDs and dominating the GW signal at all frequencies
except in
the range
where the
contribution from the RLOF+CE and CE+CE channels may
be comparable.
The exposed core + CE channel is a very minor channel (<
)
and has almost no influence on the GW signal at frequencies
(
h) in our current
model, but this would depend on a tidally enhanced stellar wind as
discussed by Han (1998) (see
also Sect. 2.2.6).
Table 3: Birth rates of DWDs with various types and different formation channels.
Figure 7 also shows that the highest-frequency DWDs come exclusively from the double CE channel. This channel is expected to be the most important channel for close DWDs because a deep spiral-in phase is necessary to release sufficient orbital energy to eject a common envelope, finally leading to the formation of a very close binary.In Table 3,
we list the total numbers and relative
contributions of various types of DWD and evolutionary channels, as
well as their current birth rate and the potential number of resolved
systems. We find that CO+He and He+He DWDs would be the most
significant
GW sources at
(
min),
at which frequency resolved sources emerge from our sample. We
however cannot neglect the population ``ONeMg'' as they also have a
considerable resolved number. CE+CE is the dominant formation
channel for
resolved DWDs, producing 3.8 times more systems than the
stable
RLOF+CE channel.
|
Figure 8:
The GW signal due to DWDs from different populations (see
key).
The black dashed lines denote the relation of amplitude and frequency
from Eq. (41)
at chirp masses 0.12, 0.22, 0.32, 0.42, 0.52,
0.62, 0.72 and 0.82 |
| Open with DEXTER | |
3.5 The GW signal from various Galactic populations
Figure 8
shows the GW amplitude (right panel) and
the number of DWDs per frequency bin (left panel) due
to each component of the Galaxy, including bulge, thin disc, thick
disc and halo. This figure demonstrates that DWDs in the thin disc
and bulge generate a strong strain amplitude which should be
observable by LISA. DWDs in the halo and thick disc might
make a substantially smaller contribution to the GW amplitude
and only
at
.
These DWDs will not contribute to the LISA
background.
Figure 8 shows that the main difference in the GW signal between different populations is at very high frequencies. At lower GW frequencies the discrepancy is principally caused by the number of DWDs. At very high frequency, the GW signal strongly depends on the star formation history. We note that apersistent quasi-exponential SFR was applied to the bulge and thin disc, but only a single star burst was applied at the beginning of the thick disc and halo. Figure 8 also shows that there is only a slight difference between the signal from the bulge and thin disc, despite having a differnt IMF and spatial distribution.
Figures 1
and 8
show that distance has a only small effect on the DWD signal at high
frequency. Therefore, if we assume
kpc,
take logarithms of Eq. (8),
and combine
with the relation between orbital period and GW frequency (
:
circular orbits), we obtain
We plot this relation in Fig. 8 as black dashed lines, which demonstrates the effect of chirp mass on GW amplitude. Thus at high frequency, where individual DWDs can be resolved, chirp mass will strongly influence the strength of the GW signal. It will be used to compare our results with others in Sect. 4.
3.6 The effect of metallicity
There is a large number of parameters in our model for synthesizing the evolution of large numbers of stars and, since every synthesis takes a large amount of computing time, too many to explore individually in this paper. However, by far the most important parameter in any stellar evolution model, after mass, is metallicity. This will therefore be a crucial factor in determining the properties of the DWD population (Han 1998; Pols et al. 1998; Hurley et al. 2000).
In order to show the influence of metallicity on the GW signal, we performed an additional computation for the thin disc using identical model parameters except for the metallicity. We have compared metallicities Z=0.02 and 0.001.
Figure 9
demonstrates that the shape of the
GW spectrum is slightly affected by metallicity at low
frequency,
but is not much affected at high frequency. A lower
metallicity increases both the total number of DWDs, and the number of
resolved DWDs. In our thin disc model, these numbers are
and 18 870 (22 670) for
Z=0.02
(0.001), respectively.
The difference in the shape of the spectrum arises because at lower metallicities, asymptotic-giant branch stars are able to develop more massive cores, and also achieve higher luminosities and larger radii. This leads to a greater number of more massive WDs in longer initial period orbits, and also to more DWDs surviving.
|
Figure 9: The GW signal obtained for different thin disc models. The red line is for Z=0.02, green for Z=0.001. The LISA sensitivity and frequency bins are as in Fig. 5. |
| Open with DEXTER | |
3.7 Detached, semi-detached and merged DWDs
Following formation of a DWD, evolution under the influence of GW may follow one of several paths:
- 1.
- if the initial binary is too wide, it will not merge within
a
Hubble time or equivalent; we adopt
10 Gyr. Considering only the
thin disc DWDs (Table 2)
this fraction represents some 94% (or
)
of the total;
- 2.
- of the remaining 6% that will evolve into contact
within 10 Gyr,
the majority, 95% or
DWDs are formed
with
and will merge;
- 3.
- the remainder, having
will undergo stable Roche
lobe overflow. This will decrease
their mass ratios further, their orbits will widen,
and the systems will only stay in contact by further
GW radiation.
These correspond to some of the AM CVn systems
.
Their number is 
of those that evolve into contact, or
DWDs, or
of all DWDs formed in the thin
disc
.
3.8 Resolved sources of GW radiation
Evans et al. (1987)
suggested that degenerate dwarf binaries would be
promising sources of GW and pointed out that the detection of
GW is
related to the integration time. By computing a large number of DWDs,
Nelemans et al. (2001b)
concluded that wide DWDs dominate the GW signal
at
,
and that AM CVn systems could be resolved
at
,
but would produce a lower signal due to their
small number. Subsequently, Nelemans
et al. (2004) showed that AM CVn systems
would be good candidates for LISA and that
11 000 AM CVn
systems could be resolved. By ``resolved'', we mean that, over a
certain observation time T, a frequency bin (
)
contains only one binary.
In general, our methods and results are similar. One difference is that, by including their contribution, we confirm that DWDs from the halo and thick disk would make little contribution to the LISA signal. A second difference is that, by adopting a different IMF, star formation rate and total mass for the bulge and the thin disc, we obtain an increase in the total number of compact DWDs at high frequencies, so that the number of resolved sources increases slightly.
Our results confirm that all DWDs with frequency
would be resolved
with a LISA integration time equal to 1 yr.
In Sect. 3.3, we noted that resolved systems with
would account for 0.012% of the total number of DWDs,
of which 29% will become semi-detached.
These numbers agree reasonably with previous results,
although Nelemans
et al. (2001b,2004) found
![]()
to be
semi-detached.
Section 3.4
points out that most resolved DWDs should
have formed from the CE+CE channel and should be dominated by
CO+He
and He+He DWDs. They should be the most significant resolved sources
for
LISA due to their number and strain amplitude and would
dominate the LISA GW signal at
,
(
min).
It may also be possible to infer their type (CO+He or He+He) from
their chirp masses (Eq. (42)) by
determining
and
,
possibly from
optical observations.
CO+CO and ONeMg DWDs have a stronger strain amplitude at
(
h), resulting from
their
larger chirp masses. For frequencies
,
the signal from all four types of DWD would overlap.
Table 4: Main parameters and their value in our simulation.
3.9 Error analysis
Modelling stellar populations and hence estimating the numbers, properties and distributions of stars in the Galaxy is subject to several sources of error (or uncertainty). These may naïvely be divided into statistical errors arising from the implementation of the Monte Carlo process, and systematic errors arising from choices made for the model parameters (of which over thirty may be identified in Sect. 2; principal values are indicated in Table 4).
The Monte Carlo procedures involve two stages, the first of
which
creates a sample of
DWDs in the thin disc for example,
on which subsequent samples are interpolated. Assuming Poisson
statistics,
the error (
)
in this first number is
or
![]()
.
This represents a lower limit on the error in subsequent
quantities, including total birth rates, merger rates and numbers of
DWDs. The statistical error on the number distributions and strain
amplitude spectra will be at least as large as this, increasing as
towards higher frequencies.
In order to investigate some of the systematic errors, we have carried out reduced simulations for the thin disc population with an initial sample of 105 binaries and by varying each of the five most important parameters (Table 5). Whilst we omit other parameters from this exploration (B, for example) to save computation time, their systematics have been discussed by others (Han 1998).
Systematic errors can be estimated by considering the gradient
of the birthrate
with respect
to a model parameter p, and multiplying by an
expectation value
for the uncertainty in p.
Considering
,
metallicity (here expressed as
),
age t, IMF, and SFR to be representative of
inputs with large
uncertainty, fractional errors
are
indicated in Table 5.
To simplify,
we have here assumed the disk IMF takes the simpler form
and the disk SFR takes the form
,
so that they may be characterised by
and
respectively;
is constrained by the current SFR.
is
suggested by comparing Kroupa
et al. (1993) with Kroupa
(2001),
while
is taken from
the uncertainty in the thin disc mass given by Klypin
et al. (2002).
Table 5: Estimated errors in DWD birthrates for the thin disk.
The dominant uncertainties inThese numbers are also useful for comparing results between
different models by substituting the uncertainty
with the
difference between adopted values
.
In our model the Galactic DWD birthrate
(Table 2).
Han (1998) found a similar
value
(
).
For the thin disc alone we find the DWD birthrate to be
while
Nelemans et al. (2001b)
obtained
.
The slight difference between our model and
that of Nelemans et al.
(2001b) can be understood primarily
in terms of the difference
and
The birth rate of supernovae Ia (0.0013 yr-1) in our model is slightly smaller than that of Han (1998) (0.003 yr-1) and Nelemans et al. (2001b) (0.002 yr-1), and is probably also a consequence of the IMF and SFR. The fact that we set a limit to the Eddington accretion rate (Eq. (25)) restricts the SN Ia rate (Livio 2000).
Another effect on the birth rate and number arises from tidally-enhanced stellar winds and / or wind-driven mass transfer, which is related to a coefficient B (Sect. 2.2.2). Han (1998) finds that the birth rate and number vary slightly with B. We adopt B=1000 following Han (1998), but much larger values might be justified; with B=10 000 (Tout & Hall 1991), the mass-loss rate could be 150 times larger than the Reimers' rate when the star nearly fills its Roche lobe.
4 Discussion
In addition to work by Nelemans et al. (2001b,2004) already discussed, the question of GW radiation from DWDs and their contribution to the LISA signal has also been addressed by Webbink & Han (1998), Hils & Bender (2000), Hiscock et al. (2000), Willems et al. (2007), Liu (2009) and Ruiter et al. (2009), amongst others.
In our model, the GW strain amplitude from the total
Galactic
DWD population would be
for
,
and
for
.
The larger strain at lower
frequencies is primarily due to the larger number of DWDs per unit
frequency.
At
,
the GW signal from DWDs in the bulge and thin disc combined
equals the total Galactic GW signal. The thick disc and halo
make no contribution (Fig. 8) because
all DWDs
that formed in these components that will merge have already done so.
At lower frequencies (
),
Ruiter et al. (2009)
found that the halo signal at
,
for example,
)
is a factor
10 lower
than that of the disc+bulge, where
).
They estimated there to be
halo white dwarfs
with a total mass of
in a halo with
Z=0.0001 and age 13 Gyr.
At
,
we have
,
roughly a factor three
stronger than Ruiter et al.
(2009), but in a halo with Z=0.001 and
age 14 Gyr.
Another difference between our model and the model of Ruiter et al. (2009)
arises from the chirp masses (cf. Sect. 3.5).
Figure 8
shows the strain-amplitude relation as a
function of chirp masses; since there are only one or two systems in
the majority of high frequency bins, it is possible to infer that the
chirp masses of most DWDs in our model are greater than
.
In comparison, the chirp masses of high-frequency DWDs in the model of Ruiter et al. (2009)
appear to be less than
.
The different distribution of chirpmass in the two models may be due to
differences in Z and age adopted in each case. Our
results more closely resemble those of Nelemans
et al. (2001b).
The GW radiation from AM CVn binaries and helium cataclysmic variables was calculated by Hils & Bender (2000), who found that these two populations only provide a slight enhancement on the confusion noise for LISA below 3 mHz and even no increase at higher frequency. Nelemans et al. (2001b) and Webbink & Han (1998) showed a confused background GW signal due to DWDs which is similar to ours at low frequency, but different at high frequency.
Hiscock et al. (2000) found that the background signal from halo WD binaries could be five times stronger than the expected contribution from Galactic disk binaries by assuming that the fraction of WDs in binaries is the same in the halo as in the disk. This suggested the possibility of a GW signal from halo DWDs although probably the assumption overestimated the number of DWDs in halo, which would justify further investigation. Willems et al. (2007) considered GW radiation from eccentric DWDs formed through interactions in globular clusters and found LISA could provide unique dynamical identifications of these systems. This requires further investigation.
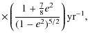
Since the change of GW frequency (or orbital period)
can
be measured by electromagnetic observations or LISA,
is given by
Hence, for a small number of high-frequency systems likely to be detected by LISA, it will be possible to determine
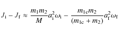
In this paper, we have not considered the BH in the center of the bulge or low-mass BHs elsewhere in the Galaxy. More attention should be paid to these in future work, as they could greatly interfere with the ability of LISA to detect resolved systems (Nelemans et al. 2001b).
5 Conclusion
A self-consistent numerical simulation of the gravitational wave signal from the entire population of double white dwarf binaries (DWDs) in the Galaxy has been carried out. We have used a population synthesis approach to follow the stellar evolution, and a comprehensive Galactic model in which we suppose that the Galaxy is composed of a bulge, thin disc, thick disc, and halo. This model demonstrates a significant contribution to the GW signal due to DWDs.
We have discussed the birth rates, local densities and total numbers of DWDs in each fraction of the Galaxy, as well as of supernovae Ia, noting that these are affected by the particular choice of IMF, SFR, metallicity and age adopted in our model (Table 2).
The GW signals from different components of the Galaxy have been computed, as well as the contribution from various types of DWD and from DWDs formed by different formation channels. The corresponding birth rates and numbers have been given (Table 3).
Formation channels CE+CE and stable
RLOF+CE play the most
important role to produce DWD populations detectable
by LISA at
(
h).
DWDs with the shortest orbital periods in our model come from the
CE+CE channel. The Exposed Core+CE channel is an
almost negligible
channel for the formation of DWDs.
We find that CO+He and He+He white dwarf pairs dominate the
GW signal
at high frequency (
), while CO+CO and ONeMg DWDs
make the major contribution at
.
We find that
33 000
DWDs could be resolved by LISA. Most would have formed through
the CE+CE channel, and the model favours the majority being
CO+He
and He+He DWDs. Ground-based observations might determine which by
measuring their chirp masses.
Note added in proof. During the final
review of this paper, an article by Ruiter
et al. (2010) was published in the Astrophysical
Journal. Whilst addressing similar questions to those discussed here,
some of the conclusions are different. In particular, for reasons that
have yet to be fully understood, the high-frequency (
)
GW signal in our models is higher.
The Armagh Observatory is supported by a grant from the Northern Ireland Dept. of Culture Arts and Leisure. S.Y. thanks the Leverhulme Trust for support. S.Y. and C.S.J. thank the referee for his/her constructive comments and also thank G. Nelemans and Z. Han for the discussion.
References
- Beloborodov, A. M. 1998, MNRAS, 297, 739 [NASA ADS] [CrossRef] [Google Scholar]
- Boffin, H. M. J., & Jorissen, A. 1988, A&A, 205, 155 [NASA ADS] [Google Scholar]
- Boffin, H. M. J., Cerf, N., & Paulus, G. 1993, A&A, 271, 125 [NASA ADS] [Google Scholar]
- Bondi, H., & Hoyle, F. 1944, MNRAS, 104, 273 [NASA ADS] [CrossRef] [Google Scholar]
- Brand, J., & Blitz, L. 1993, A&A, 275, 67 [NASA ADS] [Google Scholar]
- Caldwell, J. A. R., & Ostriker, J. P. 1981, ApJ, 251, 61 [NASA ADS] [CrossRef] [Google Scholar]
- Cameron, A. G. W., & Mock, M. 1967, Nature, 215, 464 [NASA ADS] [CrossRef] [Google Scholar]
- Campbell, C. G. 1984, MNRAS, 207, 433 [NASA ADS] [Google Scholar]
- Creze, M., Chereul, E., Bienayme, O., & Pichon, C. 1998, A&A, 329, 920 [NASA ADS] [Google Scholar]
- de Vaucouleurs, G. 1953, MNRAS, 113, 134 [NASA ADS] [CrossRef] [Google Scholar]
- de Vaucouleurs, G. 1958, ApJ, 128, 465 [NASA ADS] [CrossRef] [Google Scholar]
- Diehl, R., Halloin, H., Kretschmer, K., et al. 2006, Nature, 439, 45 [NASA ADS] [CrossRef] [PubMed] [Google Scholar]
- Douglass, D. H., & Braginsky, V. B. 1979, in General Relativity: An Einstein centenary survey, ed. S. W. Hawking, & W. Israel, 90 [Google Scholar]
- Eggleton, P. P. 1983, ApJ, 268, 368 [NASA ADS] [CrossRef] [Google Scholar]
- Evans, C. R., Iben, I. J., & Smarr, L. 1987, ApJ, 323, 129 [NASA ADS] [CrossRef] [Google Scholar]
- Farmer, A. J., & Phinney, E. S. 2003, MNRAS, 346, 1197 [NASA ADS] [CrossRef] [MathSciNet] [Google Scholar]
- Faulkner, J. 1971, ApJ, 170, L99 [NASA ADS] [CrossRef] [Google Scholar]
- Freudenreich, H. T. 1998, ApJ, 492, 495 [NASA ADS] [CrossRef] [Google Scholar]
- Goldberg, D., & Mazeh, T. 1994, A&A, 282, 801 [NASA ADS] [Google Scholar]
- Han, Z. 1998, MNRAS, 296, 1019 [NASA ADS] [CrossRef] [Google Scholar]
- Han, Z., & Webbink, R. F. 1999, A&A, 349, L17 [NASA ADS] [Google Scholar]
- Han, Z., Podsiadlowski, P., & Eggleton, P. P. 1995, MNRAS, 272, 800 [NASA ADS] [Google Scholar]
- Han, Z., Podsiadlowski, P., Maxted, P. F. L., & Marsh, T. R. 2003, MNRAS, 341, 669 [NASA ADS] [CrossRef] [Google Scholar]
- Hils, D., & Bender, P. L. 2000, ApJ, 537, 334 [NASA ADS] [CrossRef] [Google Scholar]
- Hils, D., Bender, P. L., & Webbink, R. F. 1990, ApJ, 360, 75 [NASA ADS] [CrossRef] [Google Scholar]
- Hiscock, W. A., Larson, S. L., Routzahn, J. R., & Kulick, B. 2000, ApJ, 540, L5 [NASA ADS] [CrossRef] [Google Scholar]
- Holberg, J. B. 2009, J. Phys. Conf. Ser., 172, 012022 [NASA ADS] [CrossRef] [Google Scholar]
- Hurley, J. R., Pols, O. R., & Tout, C. A. 2000, MNRAS, 315, 543 [NASA ADS] [CrossRef] [Google Scholar]
- Hurley, J. R., Tout, C. A., & Pols, O. R. 2002, MNRAS, 329, 897 [NASA ADS] [CrossRef] [Google Scholar]
- Iben, I. J., Tutukov, A. V., & Yungelson, L. R. 1997, ApJ, 475, 291 [NASA ADS] [CrossRef] [Google Scholar]
- Isaacson, R. A. 1968, Phys. Rev., 166, 1272 [NASA ADS] [CrossRef] [Google Scholar]
- Jahreiß, H., & Wielen, R. 1997, in Astronomische Gesellschaft Abstract Series, ed. R. E. Schielicke, 13, 43 [Google Scholar]
- Klypin, A., Zhao, H., & Somerville, R. S. 2002, ApJ, 573, 597 [Google Scholar]
- Kroupa, P. 2001, MNRAS, 322, 231 [NASA ADS] [CrossRef] [Google Scholar]
- Kroupa, P., Tout, C. A., & Gilmore, G. 1993, MNRAS, 262, 545 [NASA ADS] [CrossRef] [Google Scholar]
- Landau, L. D., & Lifshitz, E. M. 1958, The classical theory of fields (Oxford: Pergamon Press) [Google Scholar]
- Landau, L. D., & Lifshitz, E. M. 1975, The classical theory of fields, Course of theoretical physics - Pergamon International Library of Science, Technology, Engineering and Social Studies (Oxford: Pergamon Press), 4th rev. engl. ed. [Google Scholar]
- Larson, S. L., Hiscock, W. A., & Hellings, R. W. 2000, Phys. Rev. D, 62, 062001 [NASA ADS] [CrossRef] [Google Scholar]
- Levato, H. 1974, A&A, 35, 259 [NASA ADS] [Google Scholar]
- Liu, J. 2009, MNRAS, 400, 1850 [NASA ADS] [CrossRef] [Google Scholar]
- Livio, M. 2000, in type Ia Supernovae, Theory and Cosmology, ed. J. C. Niemeyer, & J. W. Truran, 33 [Google Scholar]
- Martin, R. G., Tout, C. A., & Lesaffre, P. 2006, MNRAS, 373, 263 [NASA ADS] [CrossRef] [Google Scholar]
- Mazeh, T., Goldberg, D., Duquennoy, A., & Mayor, M. 1992, ApJ, 401, 265 [NASA ADS] [CrossRef] [Google Scholar]
- Miller, G. E., & Scalo, J. M. 1979, ApJS, 41, 513 [NASA ADS] [CrossRef] [Google Scholar]
- Mironovskii, V. N. 1966, SvA, 9, 752 [Google Scholar]
- Miyamoto, M., & Nagai, R. 1975, Publ. Astron. Soc. Jpn., 27, 533 [Google Scholar]
- Nauenberg, M. 1972, ApJ, 175, 417 [NASA ADS] [CrossRef] [Google Scholar]
- Nelemans, G., & Tout, C. A. 2005, MNRAS, 356, 753 [NASA ADS] [CrossRef] [Google Scholar]
- Nelemans, G., Verbunt, F., Yungelson, L. R., & Portegies Zwart, S. F. 2000, A&A, 360, 1011 [NASA ADS] [Google Scholar]
- Nelemans, G., Portegies Zwart, S. F., Verbunt, F., & Yungelson, L. R. 2001a, A&A, 368, 939 [NASA ADS] [CrossRef] [EDP Sciences] [Google Scholar]
- Nelemans, G., Yungelson, L. R., & Portegies Zwart, S. F. 2001b, A&A, 375, 890 [NASA ADS] [CrossRef] [EDP Sciences] [Google Scholar]
- Nelemans, G., Yungelson, L. R., & Portegies Zwart, S. F. 2004, MNRAS, 349, 181 [NASA ADS] [CrossRef] [Google Scholar]
- Oppenheimer, B. R., Hambly, N. C., Digby, A. P., Hodgkin, S. T., & Saumon, D. 2001, Science, 292, 698 [NASA ADS] [CrossRef] [PubMed] [Google Scholar]
- Paczynski, B. 1967, Acta Astron., 17, 287 [NASA ADS] [Google Scholar]
- Paczynski, B., & Zió▯kowski, J. 1967, Acta Astron., 17, 7 [NASA ADS] [Google Scholar]
- Peters, P. C., & Mathews, J. 1963, Phys. Rev., 131, 435 [NASA ADS] [CrossRef] [Google Scholar]
- Phleps, S., Meisenheimer, K., Fuchs, B., & Wolf, C. 2000, A&A, 356, 108 [NASA ADS] [Google Scholar]
- Pols, O. R., Schroder, K., Hurley, J. R., Tout, C. A., & Eggleton, P. P. 1998, MNRAS, 298, 525 [NASA ADS] [CrossRef] [Google Scholar]
- Popper, D. M. 1980, ARA&A, 18, 115 [NASA ADS] [CrossRef] [Google Scholar]
- Press, W. H., & Thorne, K. S. 1972, ARA&A, 10, 335 [NASA ADS] [CrossRef] [Google Scholar]
- Ramsay, G., Brocksopp, C., Groot, P. J., et al. 2007, in 15th European Workshop on White Dwarfs, ed. R. Napiwotzki, & M. R. Burleigh, ASP Conf. Ser., 372, 425 [Google Scholar]
- Rappaport, S., Verbunt, F., & Joss, P. C. 1983, ApJ, 275, 713 [NASA ADS] [CrossRef] [Google Scholar]
- Rasio, F. A., Tout, C. A., Lubow, S. H., & Livio, M. 1996, ApJ, 470, 1187 [NASA ADS] [CrossRef] [Google Scholar]
- Refsdal, S., Roth, M. L., & Weigert, A. 1974, A&A, 36, 113 [NASA ADS] [Google Scholar]
- Reimers, D. 1975, Memoires of the Societe Royale des Sciences de Liege, 8, 369 [Google Scholar]
- Revaz, Y., Pfenniger, D., Combes, F., & Bournaud, F. 2009, A&A, 501, 171 [NASA ADS] [CrossRef] [EDP Sciences] [Google Scholar]
- Robin, A. C., Reylé, C., Derrière, S., & Picaud, S. 2003, A&A, 409, 523 [NASA ADS] [CrossRef] [EDP Sciences] [Google Scholar]
- Roelofs, G. H. A., Groot, P. J., Benedict, G. F., et al. 2007, ApJ, 666, 1174 [NASA ADS] [CrossRef] [Google Scholar]
- Ruiter, A. J., Belczynski, K., Benacquista, M., & Holley-Bockelmann, K. 2009, ApJ, 693, 383 [CrossRef] [Google Scholar]
- Ruiter, A.J., Belczynski, K., Benacquista, M., Larson, S.L., & Williams, G. 2010, ApJ, 717, 1006 [NASA ADS] [CrossRef] [Google Scholar]
- Sackett, P. D. 1997, ApJ, 483, 103 [NASA ADS] [CrossRef] [Google Scholar]
- Skumanich, A. 1972, ApJ, 171, 565 [NASA ADS] [CrossRef] [Google Scholar]
- Smith, L. F., Biermann, P., & Mezger, P. G. 1978, A&A, 66, 65 [NASA ADS] [Google Scholar]
- Strassmeier, K. G. 1996, A&A, 314, 558 [NASA ADS] [Google Scholar]
- Tassoul, J. 1988, ApJ, 324, L71 [NASA ADS] [CrossRef] [Google Scholar]
- Timmes, F. X., Diehl, R., & Hartmann, D. H. 1997, ApJ, 479, 760 [NASA ADS] [CrossRef] [Google Scholar]
- Tout, C. A., & Eggleton, P. P. 1988, ApJ, 334, 357 [NASA ADS] [CrossRef] [Google Scholar]
- Tout, C. A., & Hall, D. S. 1991, MNRAS, 253, 9 [NASA ADS] [CrossRef] [Google Scholar]
- Tyson, J. A., & Giffard, R. P. 1978, ARA&A, 16, 521 [NASA ADS] [CrossRef] [Google Scholar]
- Webbink, R. F. 1984, ApJ, 277, 355 [NASA ADS] [CrossRef] [Google Scholar]
- Webbink, R. F. 2008, in ed. E. F. Milone, D. A. Leahy, & D. W. Hobill, Ap&SS Library, 352, 233 [Google Scholar]
- Webbink, R. F., & Han, Z. 1998, in Laser Interferometer Space Antenna, Second International LISA Symposium on the Detection and Observation of Gravitational Waves in Space, ed. W. M. Folkner, AIP Conf. Ser., 456, 61 [Google Scholar]
- Webbink, R. F., & Kalogera, V. 1997, in Accretion Phenomena and Related Outflows, ed. D. T. Wickramasinghe, G. V. Bicknell, & L. Ferrario, ASP Conf. Ser., 121, IAU Colloq., 163, 828 [Google Scholar]
- Wielen, R., Jahreiß, H., & Krüger, R. 1983, in Nearby Stars and the Stellar Luminosity Function, ed. A. G. D. Philip, & A. R. Upgren, IAU Colloq., 76, 163 [Google Scholar]
- Willems, B., Kalogera, V., Vecchio, A., et al. 2007, ApJ, 665, L59 [NASA ADS] [CrossRef] [Google Scholar]
- Zahn, J. 1975, A&A, 41, 329 [NASA ADS] [Google Scholar]
- Zahn, J. 1977, A&A, 57, 383 [NASA ADS] [Google Scholar]
- Zahn, J. 2005, in Tidal Evolution and Oscillations in Binary Stars, ed. A. Claret, A. Giménez, & J.-P. Zahn, ASP Conf. Ser., 333, 4 [Google Scholar]
- Zangrilli, L., Tout, C. A., & Bianchini, A. 1997, MNRAS, 289, 59 [NASA ADS] [Google Scholar]
- Zoccali, M., Cassisi, S., Frogel, J. A., et al. 2000, ApJ, 530, 418 [NASA ADS] [CrossRef] [Google Scholar]
Footnotes
- ...Robin et al. (2003)
- Although a
distribution following
or a1/4 might be a better
choice
(de Vaucouleurs
1953,1958),
we have chosen the form
given here for simplicity.
- ...Kroupa et al. (1993)
- Kroupa (2001)
gives
,
see Sect. 3.9.
- ... systems
- Nelemans et al. (2001a) also discuss AM CVn systems which are formed from low-mass helium stars with degenerate companions.
- ...
disc
- These figures correspond to model I of Nelemans et al. (2001a), in which there is no tidal coupling between the accretor spin and the orbital angular momentum. Nelemans et al. (2001a) find that with effective tidal coupling, the number of AM CVn systems may increase by two orders of magnitude (their model II). It is not the intention of this paper to discuss AM CVn systems in detail.
All Tables
Table 1: Density laws and associated parameters.
Table 2: Birth rates, local densities and numbers of DWDs.
Table 3: Birth rates of DWDs with various types and different formation channels.
Table 4: Main parameters and their value in our simulation.
Table 5: Estimated errors in DWD birthrates for the thin disk.
All Figures
|
Figure 1:
The top panel shows the distribution of stars in the R(Galactic
plane)-z(height) diagram for our Galactic model at
age 10 Gyr, using a random sample of |
| Open with DEXTER | |
| In the text | |
|
Figure 2: Circular velocity as a function of galactocentric distance R from the Galatic model, showing the contribution due to different components, i.e. the bulge, thin disc + thick disc, and halo including dark matter. The dashed line indicates the observational estimate by Brand & Blitz (1993). The spheroidal component due to the interstellar medium was not considered separately. |
| Open with DEXTER | |
| In the text | |
|
Figure 3:
Distribution of primary masses (left panel),
mass ratio q=m2/m1
(right panel) and orbital periods of DWDs in our
model. The contour scale to the right of the figure represents the
number of
systems in each bin. The present DWD population is plotted, but the
total number of DWDs (
|
| Open with DEXTER | |
| In the text | |
|
Figure 4:
Distribution of the chirp mass and frequency of DWDs. The contour scale
to the right of the figure shows the number of
systems in each bin.
The present DWD population is plotted, but the total number of DWDs (
|
| Open with DEXTER | |
| In the text | |
|
Figure 5:
The number of DWDs per frequency bin ( right panel)
and their GW signal ( left panel). In the
left panel, |
| Open with DEXTER | |
| In the text | |
|
Figure 6:
The GW signal due to different types of DWD. |
| Open with DEXTER | |
| In the text | |
|
Figure 7:
The GW signal due to DWDs from different formation channels.
The left panel presents the strain amplitudes. The
number distribution is shown in the right.
The LISA sensitivity and frequency bins are as in
Fig. 5.
Note that the exposed core + CE channel is a very minor
channel (< |
| Open with DEXTER | |
| In the text | |
|
Figure 8:
The GW signal due to DWDs from different populations (see
key).
The black dashed lines denote the relation of amplitude and frequency
from Eq. (41)
at chirp masses 0.12, 0.22, 0.32, 0.42, 0.52,
0.62, 0.72 and 0.82 |
| Open with DEXTER | |
| In the text | |
|
Figure 9: The GW signal obtained for different thin disc models. The red line is for Z=0.02, green for Z=0.001. The LISA sensitivity and frequency bins are as in Fig. 5. |
| Open with DEXTER | |
| In the text | |
Copyright ESO 2010
Current usage metrics show cumulative count of Article Views (full-text article views including HTML views, PDF and ePub downloads, according to the available data) and Abstracts Views on Vision4Press platform.
Data correspond to usage on the plateform after 2015. The current usage metrics is available 48-96 hours after online publication and is updated daily on week days.
Initial download of the metrics may take a while.
![\begin{figure}
\par\includegraphics[width=9cm,clip,angle=0]{14827fg2.eps}
\end{figure}](/articles/aa/full_html/2010/13/aa14827-10/Timg151.png)
![\begin{figure}
\par\includegraphics[width=16cm,clip]{14827fg3.eps}
\end{figure}](/articles/aa/full_html/2010/13/aa14827-10/Timg219.png)
![\begin{figure}
\par\includegraphics[width=17cm,clip,angle=0]{14827fg4.eps}
\end{figure}](/articles/aa/full_html/2010/13/aa14827-10/Timg230.png)
![\begin{figure}
\par\includegraphics[width=16cm,clip,angle=0]{14827fg5.eps}
\end{figure}](/articles/aa/full_html/2010/13/aa14827-10/Timg241.png)
![\begin{figure}
\par\includegraphics[width=18cm,clip,angle=0]{14827fg6.eps}
\end{figure}](/articles/aa/full_html/2010/13/aa14827-10/Timg253.png)
![\begin{figure}
\par\includegraphics[width=16cm,clip,angle=0]{14827fg7.eps}
\end{figure}](/articles/aa/full_html/2010/13/aa14827-10/Timg255.png)
![\begin{figure}
\par\includegraphics[width=16cm,clip,angle=0]{14827fg8.eps}
\end{figure}](/articles/aa/full_html/2010/13/aa14827-10/Timg284.png)
![\begin{figure}
\par\includegraphics[width=14cm,clip,angle=0]{14827fg9.eps}\vspace{3mm}
\end{figure}](/articles/aa/full_html/2010/13/aa14827-10/Timg290.png)