Free Access
Issue
A&A
Volume 521, October 2010
Article Number A45
Number of page(s) 23
Section Catalogs and data
DOI https://doi.org/10.1051/0004-6361/201014861
Published online 19 October 2010
A&A 521, A45 (2010)

HRC-I/Chandra X-ray observations towards $\sigma $ Orionis

J. A. Caballero1,2 - J. F. Albacete-Colombo3 - J. López-Santiago2

1 - Centro de Astrobiología (CSIC-INTA), Carretera de Ajalvir km 4, 28850 Torrejón de Ardoz, Madrid, Spain
2 - Departamento de Astrofísica y Ciencias de la Atmósfera, Facultad de Física, Universidad Complutense de Madrid, 28040 Madrid, Spain
3 - Centro Universitario Regional Zona Atlántica, Universidad Nacional del Comahue, Monseñor Esandi y Ayacucho, 8500 Viedma, Río Negro, Argentina

Received 25 April 2010 / Accepted 11 June 2010

Abstract
Aims. We investigated the X-ray emission from young stars and brown dwarfs in the $\sigma $ Orionis cluster ($\tau \sim$ 3 Ma, $d \sim$ 385 pc) and its relation to mass, the presence of circumstellar discs, and separation to the cluster centre by taking advantage of the superb spatial resolution of the Chandra X-ray Observatory.
Methods. We used public HRC-I/Chandra data from a 97.6 ks pointing towards the cluster centre and complemented them with X-ray data from IPC/Einstein, HRI/ROSAT, EPIC/XMM-Newton, and ACIS-S/Chandra together with optical and infrared photometry and spectroscopy from the literature and public catalogues. On our HRC-I/Chandra data, we measured count rates, estimated X-ray fluxes, and searched for short-term variability. We also looked for long-term variability by comparing with previous X-ray observations.
Results. Among the 107 detected X-ray sources, there were 70 cluster stars with known signposts of youth, two young brown dwarfs, 12 cluster member candidates, four field dwarfs, and two galaxies with optical-infrared counterpart. The remaining sources were extragalactic. Based on a robust Poisson-$\chi ^2$ analysis, nine cluster stars displayed flares or rotational modulation during the HRC-I observations, while eight other stars and one brown dwarf showed X-ray flux variations between the HRC-I and IPC, HRI, and EPIC epochs. We constructed a cluster X-ray luminosity function from O9.5 (about 18 $M_\odot$) to M6.5 (about 0.06 $M_\odot$). We found: (i) that early-type stars in multiple systems or with spectroscopic peculiarities tend to display X-ray emission; (ii) that the two detected brown dwarfs and the least-massive star are among the $\sigma $ Orionis objects with the highest $L_{\rm X}/L_J$ ratios; and (iii) that a large fraction of known classical T Tauri stars in the cluster are absent in this and other X-ray surveys. Finally, from a spatial distribution analysis, we quantified the impact of sensitivity degradation towards the HRC-I borders on the detection of faint X-ray sources and concluded that dozens X-ray $\sigma $ Orionis stars and brown dwarfs still need to be detected.

Key words: brown dwarfs - stars: early-type - stars: flare - stars: variables: T Tauri, Herbig Ae/Be - X-rays: stars -
open clusters and associations: individual: $\sigma $ Orionis

1 Introduction

The Trapezium-like system $\sigma$ Ori, the fourth brightest ``star'' in the Orion Belt, illuminates the Horsehead Nebula and injects energy into its homonymous cluster, $\sigma$ Orionis (Garrison 1967; Wolk 1996; Béjar et al. 1999). Its age ( $\tau \sim 3$ Ma - Zapatero Osorio et al. 2002; Sherry et al. 2004), relative closeness ( $d \sim 385$ pc - Caballero 2008b; Mayne & Naylor 2008), low extinction (0.04 mag  < E(B-V) < 0.09 mag - Béjar et al. 2004; Sherry et al. 2008), and high spatial density (Caballero 2008a) make the cluster an ideal site when looking for and characterising substellar objects (Zapatero Osorio et al. 2000; Béjar et al. 2001; Caballero et al. 2007; Bihain et al. 2009). The cluster is also investigated, for example, to study circumstellar discs based on optical spectroscopy (Kenyon et al. 2005; Sacco et al. 2008; Gatti et al. 2008) or mid-infrared photometry (Oliveira et al. 2006; Caballero 2007a; Zapatero Osorio et al. 2008; Luhman et al. 2008) and young X-ray emitter stars (Sanz-Forcada et al. 2004; Franciosini et al. 2006; Skinner et al. 2008; López-Santiago & Caballero 2008, and references therein).

X-ray observations in young open clusters, such as $\sigma $ Orionis, provide information on winds of early-type stars, high-temperature coronae of late-type stars, absorption by circumstellar discs, magnetic activity associated to fast rotation, the cluster X-ray luminosity function, and, in general, the evolution of young (pre-)main-sequence stars. Except for the ROSAT variability analysis in Caballero et al. (2009), the latest X-ray studies in $\sigma $ Orionis have been carried out using instruments onboard the XMM-Newton and Chandra space missions. In this work, we analyse in detail observations of a large portion of the cluster accomplished with the Chandra High Resolution Camera (HRC). The lower sensitivity of HRC with respect to EPIC/XMM-Newton (European Photon Imaging Cameras) used by Franciosini et al. (2006) was balanced out by the better spatial resolution and a longer exposure time, almost 100 ks. Besides this, the HRC observations in $\sigma $ Orionis were more sensitive and covered a larger field of view than those performed with ACIS/Chandra (Advanced CCD Imaging Spectrometer) by Skinner et al. (2008)[*]. HRC observations provide, however, no spectral information.

Some preliminary results based on the HRC/Chandra dataset, which is publicly available from the Chandra Data Archive[*] since 2003, have been advanced by Adams et al. (2002, 2004), Adams-Wolk et al. (2003,2005) and Caballero (2005, 2007b). Here, we detect X-ray sources on the deep HRC image, cross-identify them with optical, near-infrared, and previously-known X-ray sources, classify them into young and field stars and galaxies using state-of-the-art spectro-, astro-, and photometric data, compare them with previous X-ray observations, and study the X-ray luminosity function in the cluster, the frequency of X-ray emitters, and its relation to spatial location, disc occurrence, and stellar mass.

2 Analysis and results

2.1 Data retrieval

HRC, held in the Chandra focal plane array together with ACIS, is a double CsI-coated microchannel plate detector similar to the High Resolution Imaging (HRI) photon-counting detectors onboard the Einstein Observatory and ROSAT. However, HRC has substantially increased capability compared with HRI in X-ray quantum efficiency (in the energy range 0.08-10.0 keV), detector size ( $90\times90$ mm2 or 16 Mpx, which translates into a field of view of $31\times31$ arcmin2), internal background rate, and, especially, spatial resolution (down to 0.016 arcsec).

Using the web version of ChaSeR at the Chandra Data Archive, we searched and retrieved the package of primary data products associated to the observations with identification number 2560 (sequence number 200168, principal investigator S. Wolk). Observations were carried out on 2002 Nov. 21-22 and took a total exposure time of 97.6 ks. The field of view was approximately centred on $\sigma $ Ori D (Mayrit 13084), a B2V star located at 13 arcsec to the massive binary (possibly triple) star $\sigma $ Ori AB at the bottom of the gravitational well in the centre of the $\sigma $ Orionis cluster.

2.2 Reduction

Data reduction, starting with the level-1 event list provided by the processing pipeline at the Chandra X-ray Center, was performed using the Chandra Interactive Analysis of Observations software CIAO 3.4[*] and the Chandra Calibration Database CALDB 3.4.1[*]. We produced a level-2 event file using the CIAO task hrc_process_events. The data were filtered to remove events that did not have a good event ``grade'' or that had one or more of the ``status bits'' set to unity (see the definitions of ``grade'' and ``status bits'' in the Chandra/CIAO dictionary[*]). Intervals of solar background flaring were searched for, but none were found (see, however, Sect. 2.6). As a result, we assumed a constant background and did not applied time filtering. An exposure map, needed by the source detection algorithm and to renormalise source count rates, was calculated with the CIAO tool mkexpmap assuming a monochromatic spectrum ( $k_{\rm B}T = 1.0$ keV). See further details in Albacete-Colombo et al. (2008), where a similar reduction process was performed.

2.3 Source detection

Source detection was accomplished with the Palermo Wavelet Detection code PWDetect[*] version 1.3.2 (Damiani et al. 1997a) on the level-2 event list restricted to the 0.5-10 keV energy band and specifically compiled to run for a maximun of $7\times 10^6$ events. PWDetect analyses the data on different spatial scales, from 0.25 to 16 arcsec, allowing the detection of both point-like and moderately extended sources and the efficient resolution of close sources pairs. The most important input parameter required by the code is the final threshold significance for detection, $S_{\rm min}$ (in equivalent Gaussian $\sigma $s), which depends on the background level, detector, and desired number of spurious detections per field due to Poisson noise, as determined from extensive simulations of source-free fields (cf. Damiani et al. 1997a). We determined the total number of background counts detected during the entire exposure over the full HRC-I detector at $4.5\times 10^6$ photons with a proprietary IDL script. This background level translated into a final detection threshold of $S_{\rm
min} = 5.1\sigma$ if we impose only one spurious detection in the field of view.

A total of 109 HRC-I sources with $S > 5.1\sigma$ were found with PWDetect. We visually inspected each X-ray source and identified two ``double detections'', corresponding to the stars Mayrit 3020 AB (No. 25) and Mayrit 156353 (No. 11). In detail, for each optical counterpart, PWDetect revealed two X-ray sources, one bright and one faint and slightly decentred, separated by a few tens of arcseconds. This separation is smaller than the sizes of the point spread functions of the X-ray sources. The double detections may arise because of an erroneous adopted background estimate near bright X-ray sources (Damiani et al. 1997a,b). We discarded the faint X-ray sources in the two cases[*] and kept the remaining 107 sources as reliable X-ray detections. Their coordinates, significances of detection (S), angular separations to the centre of field of view (offaxis), count rate, and associated uncertainties are listed in Table C.1. The sources are sorted by the decreasing significance of detection.

\begin{figure}
\par\includegraphics[width=9cm,clip]{AA14861f01a.ps}\includegraphics[width=9cm,clip]{AA14861f01b.ps}
\end{figure} Figure 1:

HRC-I/ Chandra images centred on $\sigma $ Ori AB. Approximate sizes are $30\times 30$ arcmin2 ( left; note the borders of the field of view in the corners) and $4\times 4$ arcmin2 ( right; see also Fig. 4 in Caballero 2007b). North is up, east is left.

Open with DEXTER

In addition, we estimated the apparent X-ray flux[*] for each source. We integrated the counts over a circular area three times wider than the one used by PWDetect, which is in turn smaller than the local point spread function. More than 97% of the photons of a source fall within the circular area. A mean background level was subtracted after integrating the counts over an area of the same radius (but free of X-ray emission) in the vicinity of each source. Finally, for the conversion betweeen counts and energy, we used the factor $\overline{E_\gamma} = 1.2$ keV (mean energy per X-ray photon), which is representative of late-type young stars in $\sigma $ Orionis. This value was obtained by determining a weighted mean of the coronal temperatures of the stars in Table 3 in López-Santiago & Caballero (2008). The completeness flux limit, which marks an inflection point in the cumulative number of X-ray sources as a function of apparent flux, was $0.4\times 10^{-17}$ W m-2 (Fig. 2). The actual completness limit varies with the offaxis separation (Sect. 3.4).

\begin{figure}
\par\includegraphics[width=8cm,clip]{AA14861f02.eps}
\end{figure} Figure 2:

Relative cumulative number of the HRC-I/ Chandra X-ray sources as a function of apparent flux. The vertical [red] dashed line at $0.4\times 10^{-17}$ W m-2 indicates the approximate completeness flux of our survey.

Open with DEXTER

2.4 Cross-identification

We cross-matched the 107 X-ray sources in Table C.1 with optical and near-infrared catalogues. First, we searched for their optical/near-infrared counterparts in the Mayrit catalogue of young stars and brown dwarfs in the $\sigma $ Orionis cluster (Caballero 2008c). He tabulated coordinates, $iJHK_{\rm s}$ magnitudes (from the DENIS and 2MASS catalogues - Epchtein et al. 1997; Skrutskie et al. 2006), and youth features of a large number of confirmed and candidate cluster members. He also tabulated foreground field dwarfs and background galaxies. Of the 107 X-ray sources in our work, 77 were in the Mayrit catalogue. Second, we found the optical/near-infrared counterparts of other 13 X-ray sources not tabulated in the Mayrit catalogue, listed in Table 1. Caballero (2008c) did not record them because they had no 2MASS counterpart (Nos. 25 and 58) or known youth features at that time and were located bluewards of his conservative selection criterion in the i vs. $i-K_{\rm s}$ diagram (the remaining 11 stars). However, most of the 11 ``blue'' X-ray stars are ``red'' enough to have been considered in previous photometric searches in the cluster (see references in footnote to Table 1).

Table 1:   X-ray stars not tabulated in the Mayrit catalogue (Caballero 2008c)a.

\begin{figure}
\par\includegraphics[width=8cm,clip]{AA14861f03.eps}
\end{figure} Figure 3:

Separation between the 90 correlated HRC-I sources and their 2MASS counterparts as a function of separation to the cluster centre ($\rho $ vs. r diagram). The horizontal (red) dashed line marks $\rho = 0$ arcsec (all the data points are located above this line).

Open with DEXTER

In total, we found the optical/near-infrared counterparts of 90 X-ray sources. The separation between the coordinates of the 2MASS and our X-ray sources is plotted against the separation to the centre of the field of view in Fig. 3. None of them separates from zero by more than 1$\sigma $ (accounting for the errors in the determination of the photo-centroids of the HRC-I and 2MASS sources). Average separations are $\Delta \alpha = 0.2\pm1.0$ arcsec and $\Delta
\delta = 0.0\pm0.7$ arcsec. Square-mean-roots in the innermost 3 arcmin, where the HRC-I point spread functions are sharper, get below 0.1 arcsec.

The remaining 17 non-cross-matched X-ray sources and their closest 2MASS sources are listed in Table 2. Following López-Santiago & Caballero (2008), we also looked for the optical photographic counterparts in the USNO-B1 catalogue (Monet et al. 2003). We had no success with the cross-matching. In all cases, the separations between the coordinates of the HRC-I and 2MASS sources are larger than 2$\sigma $ and get larger than 6$\sigma $ in 13 cases. These 13 HRC-I sources must have counterparts fainter than the USNO-B1, DENIS, and 2MASS limiting magnitudes at $B_J \sim 21.0$ mag, $R_F \sim 20.0$ mag, $i
\sim 18.0$ mag, $J \sim$17.1 mag, $H \sim 16.4$ mag, and $K_{\rm s} \sim
14.3$ mag. We are not confident about the non-cross-matching of the other four X-ray sources, which are separated from their closest 2MASS sources by less than 3$\sigma $. In two cases, Nos. 62 and 96, nearby galaxies undetected by USNO-B1, DENIS, or 2MASS are visible in public images (see footnotes to Table 2). Finally, in the two other cases, Nos. 97 and 107, the errors in coordinates of X-ray sources could be underestimated and the 2MASS sources, which are cluster member candidates (Burningham et al. 2005; Caballero 2007b), may be the actual optical counterparts (note the small angular separation of No. 97).

Table 2:   The closest 2MASS sources to X-ray galaxy candidates without optical/near-infrared counterparts listed in Table C.1a.

2.5 Source classification

\begin{figure}
\par\includegraphics[width=8cm,clip]{AA14861f04a.eps}\par\includegraphics[width=8cm,clip]{AA14861f04b.eps}
\end{figure} Figure 4:

Colour-magnitude and colour-colour diagrams. The different symbols represent: cluster star and brown dwarf members and candidates (red filled stars), field stars (blue crosses), and galaxies (blue pluses). In the i vs. $i-K_{\rm s}$ diagram at the top, the dotted (blue) lines are the approximate completeness and detection limits of the combined DENIS-2MASS cross-correlation. The solid (black) line is the criterion for selecting cluster stars and brown dwarfs without known features of youth in $\sigma $ Orionis used by Caballero (2008c). The dashed (black) line is the criterion shifted bluewards by 0.25 mag. The reddest sources in the $J-K_{\rm s}$ vs. i-J diagram in the bottom, with colours $J-K_{\rm s} > 1.5$ mag, are the galaxies UCM0536-0239 and 2E 1456 and the T Tauri star Mayrit 609206 (V505 Ori).

Open with DEXTER

On the one hand, we have classified the 90 HRC-I sources with near-infrared counterpart into 84 young cluster members and candidates, four X-ray field stars, and two X-ray galaxies (Table C.2). Details of this classification are given next. On the other hand, the 13 HRC-I sources without optical or near-infrared counterparts at separations greater than 6$\sigma $ are galaxies (possibly active galactic nuclei; López-Santiago & Caballero 2008). The remaining four sources without (or with questionable) counterpart seem to be two galaxies as well (Nos. 62 and 96; see above) and two cluster member candidates (Nos. 97 and 107). Given the reasonable uncertainty in the actual nature of the last four sources, we cautiously discarded them for next steps of the analysis. Colour-magnitude and colour-colour diagrams in Fig. 4 illustrate the source classification.

2.5.1 Cluster members and candidates

Of the 84 young cluster members and candidates, 72 (86%) have uncontrovertible features of youth: OB spectral type, intense Li  I $\lambda$6707.8 Å resonant doublet in absorption, mid-infrared flux excess from a circumstellar disc, strong (broad, asymmetrical) H$\alpha$ emission from accretion, and/or weak alkali absorption lines from low gravity (Caballero 2008c, and references therein; González-Hernández et al. 2008; Sacco et al. 2008). Two of them are fainter than the star-brown boundary at $J \approx 14.5$ mag (Caballero et al. 2007) and are, therefore, bona fide X-ray ``young brown dwarfs'' (Sect. 3.3.2). The 70 other cluster members are classified in Table C.2 as ``young stars''.

The remaining 12 stars follow the photometric sequence defined by the confirmed cluster stars in Fig. 4 and we classify them as ``young star candidates''. All of them have been classified in the same way in other photometric (Wolk 1996; Sherry et al. 2004; Scholz & Eislöffel 2004; Caballero 2007b; Hernández et al. 2007; Bouy et al. 2009) and X-ray (Franciosini et al. 2006; Skinner et al. 2008) searches in the cluster. Of the young star candidates, there is spectroscopic information only for one. Mayrit 605079 (No. 95, [SWW2004] 127), a photometric member candidate in Sherry et al. (2004), was spectroscopically followed up by Sacco et al. (2007, 2008). They measured a radial velocity consistent with cluster membership, a faint H$\alpha$ (chromospheric) emission, and a peculiar underabundance of lithium. They derived nuclear and isochronal ages about 10 Ma older than expected for $\sigma $ Orionis stars. Mayrit 605079 might belong to a differentiated young stellar population in the Orion Belt (Jeffries et al. 2006; Caballero 2007a; Maxted et al. 2008) or be instead an active field M-dwarf interloper with CN contamination around the Li  I line (Caballero 2010).

2.5.2 Field stars

Caballero (2006) took high-resolution spectra of the two stars associated to the HRC-I sources Nos. 42 and 69, and found no trace of Li  I in absorption. Except for H$\alpha$ when it is in emission, the Li  I line is the most obvious spectroscopic feature in young $\sigma $ Orionis stars of the same magnitude as Nos. 42 and 69. The two of them were classified as non-cluster members by Caballero (2008c).

The star associated to the HRC-I source No. 51 was a photometric cluster member candidate in Sherry et al. (2004), but it has no lithium absorption, radial velocity, and H$\alpha$ emission consistent with membership in $\sigma $ Orionis according to Sacco et al. (2008).

A fourth star, associated to the HRC-I source No. 31, was discovered and spectroscopically investigated by Wolk (1996). Its X-ray emission has been measured with ROSAT (Wolk 1996), XMM-Newton (Franciosini et al. 2006), and Chandra (Skinner et al. 2008). Given its location in the colour-magnitude diagram in Fig. 4, close to the confirmed field stars investigated by Caballero (2006) and its unclear spectroscopic information (see footnote to Table 1), we classify it as a ``possible field star''.

2.5.3 Galaxies

There are two galaxies among the 90 HRC-I sources with 2MASS counterparts. One is the very bright X-ray galaxy 2E 1456 (No. 9), which is extended in optical and near-infrared images. It also has blue colours in the optical and red ones in the near infrared (Caballero 2008c), an X-ray spectral energy distribution typical of an active galactic nucleus (López-Santiago & Caballero 2008), and irregular X-ray variability (Caballero et al. 2009). Bright X-ray galaxies towards the $\sigma $ Orionis cluster are not uncommon (see also 2E 1448 in López-Santiago & Caballero 2008, which is out of the HRC-I field of view). The other cross-matched galaxy is UCM0536-0239 (No. 64). It is a type 1 obscured quasi-stellar object at a spectroscopic redshift $z_{\rm sp} = 0.2362\pm0.0005$(Caballero et al. 2008, and references therein). The two galaxies have peculiar colours if compared to stars without thick discs (Fig. 4).

2.6 X-ray light curves

We built 107 X-ray light curves to look for flares and rotational modulation in young stars. For each X-ray source, we integrated the numbers of HRC-I counts in two circular areas of the same radius, one centred on the source itself and the other one in a region free of X-ray sources for subtracting the background level. The integration radii varied between 7 and 30 arcsec depending on the offaxis distance (i.e., the size of the point spread function). The bin size was fixed to 1200 s. We discarded the first 5 ks of each light curve because they were affected by a relatively high background, only noticeable in the faintest sources (Fig. 5).

Next, we followed the same Poisson-$\chi ^2$ analysis as in Caballero et al. (2009) on the 107 X-ray light curves to identify variable sources (Fig. 6). This analysis provides similar results to applying Kolmogorov-Smirnov tests or carrying out a visual inspection of the light curves. We used the parameters A = 76, B = 0.40 ks-2, and s = 2 in the sigmoid relation between the number of events and the mean count rate, and the expression $\delta CR_{\rm i} = 0.91287 CR_{\rm i}^{1/2}$ in the relation between the individual count rates and their errors. In the case of the Chandra data, the above relations had much lower uncertainties than for the ROSAT data in Caballero et al. (2009).

Nine X-ray sources had probabilities of variability greater than a conservative value of $p_{\rm var} = 99.5$% (Table 3 and Fig. 7). All nine of them are $\sigma $ Orionis stars with signposts of youth. Three stars (Nos. 7, 8, and 13) displayed apparent flares with peak-to-quiescence ratios of about six and durations longer than 20 ks. We detected in star No. 4 the long-lasting decay of a flare with an expected peak-to-quiescence ratio greater than six. Three other stars (Nos. 11, 27, 30) also displayed flares during the observations. In contrast to the other two stars, the flare observed in star No. 30 was relatively faint and short. It showed a ``spike'' flare following the nomenclature by Wolk et al. (2005).

\begin{figure}
\par\includegraphics[width=8cm,clip]{AA14861f05.ps}
\end{figure} Figure 5:

A median HRC-I background light curve, showing a high, decreasing, background level during the beginning of the observation.

Open with DEXTER

\begin{figure}
\par\includegraphics[width=8cm,clip]{AA14861f06a.eps}\par\includegraphics[width=8cm,clip]{AA14861f06b.eps}
\end{figure} Figure 6:

Top: $\chi ^2$ as a function of the mean count rate ($\chi ^2_j$ vs. $\overline {CR_j}$ diagram) for 103 of the 105 X-ray simulated series. Bottom: same as top window, but for the 107 X-ray real series. X-ray sources above the dashed line have probabilities higher than 99.5% of being actual variables. Light curves with mean count rates lower than 5 ks-1 were not used in the statistical analysis. Compare this figure with Fig. 6 in Caballero et al. (2009).

Open with DEXTER

\begin{figure}
\par\mbox{\includegraphics[width=0.32\textwidth]{AA14861f07a.ps}\...
...1f07h.ps}\includegraphics[width=0.32\textwidth]{AA14861f07i.ps} }
\end{figure} Figure 7:

HRC-I/ Chandra light curves of the nine X-ray variable stars in Table 3. The grey areas between 1 and 5 ks indicate portions of all the light curves affected by high background.

Open with DEXTER

Table 3:   Sources with a probability of X-ray variability in the HRC-I data greater than $p_{\rm var}$ = 99.5 %.

\begin{figure}
\par\mbox{\includegraphics[width=6cm,clip]{AA14861f08a.ps}\includ...
...\includegraphics[width=6cm,clip]{AA14861f08c.ps} }
\vspace*{1.2mm}
\end{figure} Figure 8:

Same as Fig. 7, but for three brightest X-ray stars: Mayrit AB ($\sigma $ Ori AB, No. 1), Mayrit 114305 AB ([W96] 4771-1147 AB, No. 2), and Mayrit 42062 AB ($\sigma $ Ori E, No. 3).

Open with DEXTER

The two remaining stars, Nos. 18 and 28, showed variations that were not clearly attributable to ``usual'' flares. The light curve of source No. 28 is similar to what is observed for $\sigma $ Ori E, a star with rotationally-modulated X-ray emission (see below). The case of the source No. 18 is more complex. The count-rate enhancement suffered at about 40 ks from the beginning of the observation could be related to a persistent flare, although occultation of part of the corona by a companion or of an active region by stellar rotation should not be discarded. Nevertheless, since HRC-I does not provide spectral energy information, we could not perform an analysis of the time-resolved spectra to corroborate the hypothesis of rotational modulation in the light curves of stars Nos. 18 and 28.

To date, there have been a few incontestable cases of X-ray rotational modulation in the $\sigma $ Orionis cluster (e.g., Franciosini et al. 2006). The most documented case is that of the bright B2Vpe star $\sigma $ Ori E (Mayrit 42062 AB, No. 3), which was found to have an X-ray emission modulated with a period consistent with the stellar rotation, $P \sim 1.19$ d ( $P \sim 103$ ks; Townsend et al. 2010, and references therein), by Skinner et al. (2008). Our Poisson-$\chi ^2$ analysis gave $\sigma $ Ori E a low probability of variability. However, Caballero et al. (2009) noticed that the methodology was sensitive to flaring activity, but not to low-amplitude modulation. We visually inspected the X-ray light curve of $\sigma $ Ori E and detected a modulation with a sinusoidal-like variation in the HRC-I count rate between 20 and 50 ks-1 and an estimated period slightly longer than the duration of the observations (>97.6 ks), which is also consistent with the rotational period. In contrast to Groote & Schmitt (2004), Sanz-Forcada et al. (2004), and Caballero et al. (2009), who reported strong X-ray flares in the light curves of $\sigma $ Ori E, we did not find any. The flares originate in its low-mass companion (Caballero et al. 2009). The light curve of $\sigma $ Ori E is displayed in the right panel of Fig. 8 in comparison with the two brightest X-ray sources in our HRC-I observations. The supposed stable light curve of $\sigma $ Ori AB (Mayrit AB, No. 1), whose X-ray emission likely originates in a strong wind (in particular for $\sigma $ Ori AB: Sanz-Forcada et al. 2004; Skinner et al. 2008 - in general for OB stars: Lucy & White 1980; Owocki & Cohen 1999; Kudritzki & Puls 2000; Güdel & Nazé 2009), had a $\chi ^2$ value slightly below the limit $p_{\rm var}$ that we adopted for variability, just as it occurred during the ACIS-S observations by Skinner et al. (2008). The light curve of the classical T Tauri star Mayrit 114305 AB ([W96] 4771-1147 AB, No. 2) had a lower $\chi ^2$ value of about 1.2, but showed a hint of rotational modulation.

Table 4:   Previously-known sources in the 10-spurious search and not in Table C.1.

2.7 Beyond the completeness

We performed a new search of X-ray sources in our HRC-I data by imposing a less-restrictive identification criterion. In Sect. 2.3, we established only one spurious X-ray source among the 107 (actually 109) detections. In this case, we eased the identification of very faint sources close to the noise limit by setting the maximum of spurious X-ray sources with PWDetect to ten. The corresponding background level translated into a final threshold of significance of detection $S_{\rm min} = 4.6\sigma$. It was $S_{\rm
min} = 5.1\sigma$ for a maximum of one spurious X-ray source. The less restrictive choice resulted in the detection of 142 sources (i.e., we gained about 24 new reliable sources by accepting nine extra spurious detections). However, the gain was not considerable because of the large contamination by extragalactic sources at low X-ray count rates.

Of the 33 newly identified sources, we list five in Table 4. Four of them were identified in the X-ray observations by Franciosini et al. (2006). One of the four sources was also identified by Skinner et al. (2008), which supports our X-ray detections beyond the completeness. There is an optical/near-infrared counterpart for each HRC-I source in Table 4 except for [FPS2006] NX 120 ([SSC2008] 40), which is probably a galaxy (Franciosini et al. 2006)[*]. The four cross-matched X-ray sources are $\sigma $ Orionis cluster members and candidates with faint X-ray emission (Caballero 2008c). Of them, only Mayrit 441103 has no known feature of youth. We followed the criterion in López-Santiago & Caballero (2008) to discard the remaining 29 X-ray sources without 2MASS counterpart (including [SSC2008] 40) as stellar/substellar candidates, and classified them as extragalactic objects.

3 Discussion

3.1 Short-term X-ray variability: HRC-I light curves

The nine X-ray variable sources in Table 3 are young stars in the $\sigma $ Orionis cluster. This makes a minimum frequency of X-ray variability of 11% (9/84; it increases to 12% if we take $\sigma $ Ori E into account). The reader should compare this value with the ones of 36 and 39% reported by Franciosini et al. (2006) and Caballero et al. (2009), respectively, in the same cluster, but using different sampling and datasets. In practice, Franciosini et al. (2006) observed continuously with XMM-Newton for 43 ks and Caballero et al. (2009) made a short visit per day with ROSAT during 34 days. Although Skinner et al. (2008) did not provide a frequency, we estimated a rough value at 25% from their data (see below). We ascribed the low frequency derived by us to our conservative variability criterion, rather than to the different completeness depths of the surveys. Our value of 11% is a lower limit to the X-ray frequency because there are probable variable young stars that did not pass our filter. For example, stars Nos. 16 (Mayrit 97212) and 17 (Mayrit 157155), which were not listed in Table 3, displayed hints of rotational modulation and flaring activity, respectively, after a visual inspection.

We also compared our derived flare rate with other measurements in the literature. With seven flares detected during our observation among 84 young stars and candidates, we derived 1/1180 flares per star per kilosecond. This value decreased to less than about 1/1070 when we discarded the early-type (OB) cluster stars (Sect. 3.3.1). Both corrected and uncorrected values are consistent with previous determinations of flare rates, although we did not consider the completeness for flare detection. For example, with different instruments, sensitivities, flare definitions and energies, data biases, extragalactic contaminations, and stellar spectral-type intervals, Wolk et al. (2005), Albacete-Colombo et al. (2007), and Stelzer et al. (2007) reported flare rates of 1/1150, 1/610, and 1/1320 flares per star per kilosecond, respectively, in star-forming regions slightly younger than $\sigma $ Orionis (Orion Nebula Cluster, Cyg OB2, and Taurus; $\tau \sim 1$-2 Ma).

Several stars in Table 3 had been previously reported as X-ray variables. By applying Kolmogorov-Smirnov tests on the unbinned photon arrival times, Franciosini et al. (2006) found that roughly a half of the (weak-line and classical) T Tauri stars in $\sigma $ Orionis were variable at the 99% confidence level. Eight cluster members with signposts of youth and two candidate members showed clear flares during their XMM-Newton observations. Of them, we were able to detect the X-ray emission in the HRC-I image of five stars, of which only one displayed variability during our observations (No. 28, Mayrit 489196, [FPS2006] NX 61), but with a rotational-modulation type. However, the two X-ray light curves obtained with XMM-Newton and Chandra resemble each other, so we may face the same variability type (e.g., a low-amplitude, long-lasting flaring activity). Franciosini et al. (2006) also reported five young stars showing significant variability not clearly attributable to flares. We detected all five of them and found that one, No. 11 (Mayrit 156353, [FPS2006] NX 76), displayed a flare during our observations. In contrast, during the entire XMM-Newton observations, the star showed a steady decay by a factor of $\sim$2, which we attribute to the decay of a long-lasting flare. The frequencies of X-ray rotational modulation reported by us and Franciosini et al. (2006) are consistent with the approximate interval 1-3%.

The list of ten variables in Skinner et al. (2008) included Mayrit 42062 AB ($\sigma $ Ori E; see above), the unseen galaxy associated to No. 24 (a slow low-amplitude variable X-ray with unusual hardness and without optical/near-infrared counterpart), and some young stars with slow decline (No. 5, Mayrit 203039) or increase (No. 25, Mayrit 3020 AB) in count rate. At the same time, X-ray flares were visible in Mayrit 105249 (No. 12; variable in Franciosini et al. 2006) and, possibly, Mayrit 92149 AB (No. 29). If we do not take $\sigma $ Ori E into account, there are no stars in common in the lists of variable X-ray sources in Skinner et al. (2008) and our work.

Besides, two of the five most variable stars in the study by Caballero et al. (2009; Sect. A.2) appear also in Table 3. They are Mayrit 863116 AB (No. 8) and Mayrit 156353 (No. 11). Interestingly, the HRC-I light curve of the bright star Mayrit 863116 AB showed a flare with structure. The double hump may have originated in a series of two flares of different shape or in only one flare that was occulted by stellar rotation, a companion, or a disc. Mayrit 863116 AB seems to be a spectroscopic binary with a warm circumstellar disc (Caballero et al. 2009).

There are only a few stars that have been repeatedly found to display the same X-ray variability type, such as the bright early-type $\sigma $ Ori E and T Tauri Mayrit 863116 AB stars. To sum up, some young X-ray stars that displayed variability at other epochs did not do it during our observations, and vice versa. This result was expected from the relatively low flare rate measured above of one flare per star every one or two weeks. As a result, the variability frequencies given above depend on several factors including the sensitivity, length, and energy bandpass of the observation and can only be taken as lower limits.

3.2 Long-term X-ray variability: comparison to previous X-ray surveys in $\sigma $ Orionis

\begin{figure}
\par\mbox{\includegraphics[width=8cm,clip]{AA14861f09a.eps}\inclu...
...14861f09c.eps}\includegraphics[width=8cm,clip]{AA14861f09d.eps} }
\end{figure} Figure 9:

Count rates of IPC/ Einstein (top left), HRI/ ROSAT (top right), ACIS-S+HETG/ Chandra (bottom left), and EPIC/ XMM-Newton (bottom right) as a function of count rates of HRC-I/ Chandra. The dashed lines indicate IPC-, HRI-, ACIS-S+HETG-, and EPIC-HRC-I count-rate ratios of 4.00, 0.40, and 0.04, 4.50, 0.45, and 0.045, 2.50, 0.25, and 0.025, and 15.0, 1.50, and 0.15 from top to bottom, respectively. The OB-type binary star $\sigma $ Ori AB has not been used as a reference in the ACIS-S+HETG-HRC-I comparison.

Open with DEXTER

Table 5:   Energy bands, spatial resolutions, and field of view of some X-ray instruments onboard space missionsa.

All the large space missions able to observe low- to mid-energy X-rays, i.e. Einstein Observatory (HEAO-2), ROSAT (Röntgensatellit), XMM-Newton, and Chandra, have observed the $\sigma $ Orionis region in detail (Sect. A). The Advanced Satellite for Cosmology and Astrophysics (ASCA) also observed nearby areas close to the Horsehead Nebula and Alnitak ($\zeta$ Ori). In principle, the different pointing centres and exposure times of the observations, the singular apertures, fields of view, spatial resolutions and, especially, detector responses of the instrument/telescope systems (Table 5), and the ``colours'' and intrinsic variability of the X-ray sources avoid a direct comparison between previous results and ours. In spite of these differences, we expected to find a correlation between count rates measured by HRC-I and the other used instruments and to identify X-ray sources that deviate from the general trends. See, e.g., the Einstein-ROSAT comparison in the Pleiades by Stauffer et al. (1994).

Table 6:   Long-term X-ray variable stars.

The ``long-term variability'' found in our comparison and summarised in Table 6 and Fig. 9 may actually be the result of observing an X-ray source with short- or mid-term variability (in scales of hours or a few days; e.g., flares) at two separated epochs. In particular, nine $\sigma $ Orionis stars and one galaxy displayed quotients of the measured and average count-rate ratios over 4 or below 1/4. Some of them showed variations of a factor 7 or more or were identified to vary in different comparisons:

  • No. 3/Mayrit 42062 AB underwent flaring-like activity during the EPIC observations;

  • No. 4/Mayrit 348349 showed an apparent flare decay during our HRC-I observations and another strong flare during the HRI/ROSAT ones;

  • No. 16/Mayrit 97212 and No. 20/Mayrit 344337 AB showed significant variability not clearly attributable to flares during the EPIC observations;

  • No. 37 (Mayrit 102101 AB underwent a strong flare during HRI observations;

  • the stars Mayrit 631045, Mayrit 662301, and Mayrit 841079, with designations NX 149, NX 7, and NX 174, respectively, in Franciosini et al. (2006; Sect. A.4) displayed flares and were bright enough during EPIC observations to be fitted to one-temperature models. Mayrit 841079 (V603 Ori) is the source of the Herbig-Haro object HH 445 (Reipurth et al. 1998; Andrews et al. 2004).

\begin{figure}
\par\includegraphics[width=8cm,clip]{AA14861f10a.eps}\par\includegraphics[width=8cm,clip]{AA14861f10b.eps}
\end{figure} Figure 10:

Top panel: same as Fig. 2, but only for young stars, young star candidates, and possible young stars in $\sigma $ Orionis (as classified in Table C.1). The dotted line indicates the relative cumulative number of Franciosini et al. (2006) EPIC X-ray sources as a function of apparent flux. Except for a $4 \pi d^2$ factor, the two curves delineate the cumulative X-ray luminosity function of the cluster. Bottom panel: same as the top panel, but in an histogram.

Open with DEXTER

\begin{figure}
\par\includegraphics[width=8cm,clip]{AA14861f11a.eps}\par\includegraphics[width=8cm,clip]{AA14861f11b.eps}
\end{figure} Figure 11:

X-ray flux (top) and X-ray-to-J-band lumninosity ratio (bottom) as a function of the i-J colour. Error bars account for the uncertainty in count rate and offaxis separation.

Open with DEXTER

3.3 The cluster X-ray luminosity function

The X-ray luminosity functions (XLFs) of young star clusters have been extensively studied during the last three decades. The ROSAT XLFs of the Pleiades, Hyades, or $\alpha$ Persei ( $\tau \sim 90$-600 Ma, $d \sim 45$-190 pc - Stauffer et al. 1994; Stern et al. 1995; Randich et al. 1996) represented a cornerstone until the advent of Chandra and XMM-Newton. By taking advantage of the improved spatial resolution of these space missions currently under operation, clusters at longer heliocentric distances but with much younger ages than the three of them above have been studied in detail since, such as the Orion Nebula Cluster, IC 348, NGC 1333, NGC 2264, or M 17 ( $\tau \sim 1$-10 Ma, $d \sim 260$-1600 pc - Feigelson et al. 2002; Preibisch & Zinnecker 2002; Getman et al. 2002; Flaccomio et al. 2006; Broos et al. 2007). In spite of the low number of X-ray emitters investigated in $\sigma $ Orionis with respect to the star-forming regions listed above, it sill has a number of advantages, e.g., nearness, very low visual extinction, and wide knowledge of its stellar and substellar populations (Sect. 1).

Franciosini et al. (2006) already investigated the XLF of $\sigma $ Orionis. We illustrate the classical approach with Fig. 10. The HRC-I median flux of all the cluster members and candidates, without attending to its spectral type, is $6.2\times 10^{-17}$ W m-2. We transformed the X-ray luminosities tabulated by Franciosini et al. (2006) back to fluxes (see below). For seven $\sigma $ Orionis stars detected by them but without luminosity determination, we used their EPIC count rates and count-rate-to-flux conversion factor. Except for slight differences that can be ascribed to the different spectral sensitivity of HRC-I and EPIC and method of flux estimation, the Franciosini et al. (2006) XLF and ours are quite similar.

Because of the long-lasting debate on the actual cluster distance and the absence of spectral-type determination for all the $\sigma $ Orionis members and candidates, we instead preferred the diagrams in Fig. 11 for our XLF discussion. Both the apparent X-ray flux (top panel) and the X-ray-to-J-band lumninosity ratio (bottom panel) are independent of the actual distance, while there are accurate i-J measurements for all the X-ray stars and brown dwarfs in $\sigma $ Orionis, mostly taken from Caballero (2008c). The optical/near-infrared colour i-J is a suitable indicator of effective temperature (i.e., of spectral type). The use of other colours involving bluer optical and redder near-infrared bands (e.g., V-J, $i-K_{\rm s}$) is currently impractical because no data is available (all the faintest cluster members lack B-, V-, and R-band measurements) or flux excesses at wavelengths longer than 1.2 $\mu$m in cluster members with circum(sub)stellar material. The X-ray-to-J-band lumninosity ratio, $L_{\rm X}/L_J$, is defined by

\begin{displaymath}\frac{L_{\rm X}}{L_J} = \frac{4 \pi d^2 {\cal F}_{\rm X}}{4 \pi d^2 {\cal F}_J},
\end{displaymath} (1)

where ${\cal F} \equiv \lambda F_\lambda$ is the apparent flux, in watts per square meter, and the apparent J-band flux ${\cal F}_J$ is approximately proportional to the apparent bolometric flux ${\cal F}_{\rm
bol}$. The spectral energy distribution of late-K- and M-type stars peak at the Jband, which is besides the band least affected by photometric variability and presence of discs. The $L_{\rm X}/L_J$ ratio is thus a proxy for $L_{\rm X} / L_{\rm bol}$.

Diagrams showing X-ray-to-J-band luminosity ratio as a function of colour/effective temperature/spectral type, as in the bottom panel in Fig. 11, have been shown by, e.g., Micela et al. (1999), Reid (2003), and Daemgen et al. (2007). In our diagram, three different regions can be separated: massive early-type stars (mostly OB), intermediate- and low-mass stars (GKM), and brown dwarfs (with spectral types later than about M5.5 in $\sigma $ Orionis).

3.3.1 Early-type stars

With HRC-I/Chandra, we identified eight $\sigma $ Orionis stars with spectral types earlier than F0, listed in Table 7. The list includes three stars in the $\sigma $ Ori Trapezium-like system with spectral types B2 or earlier. In Fig. 11, all eight of them have colours $i-J
\lesssim 0.2$ mag and display a wide range of $L_{\rm X}/L_J$ ratios.

The spectral types in Table 7 were borrowed from the bright-star compilation in Caballero (2007a), except for the secondaries in the binary systems Nos. 3 and 10 (a colon, ``:'', after a spectral type denotes uncertainty; the letters ``p'' and ``e'' indicate peculiarity and emission, respectively). We estimated a K-M: spectral type for Mayrit 42062 B, the companion at $\rho
\approx 0.33$ arcsec to $\sigma $ Ori E, based on its approximate $K_{\rm s}$magnitude as evaluated by Bouy et al. (2009). The estimation of the late B-early A spectral type for Mayrit 306125 B, the companion at $\rho \approx 0.47$ arcsec to Mayrit 306125 A (HD 37525), was taken from Caballero et al. (2009). The brightest star in the cluster, No. 1/$\sigma $ Ori AB + ``F'', seems to be actually a close triple systems of OB stars (Frost & Adams 1904; Bolton 1974; Caballero 2008a; S. Simón-Díaz et al., in prep.). Only two stars in Table 7, No. 53/Mayrit 524060 and No. 88/Mayrit 960106, are not known to form part of a multiple system.

Of the eight early-type stars, three (Nos. 1, 3, and 10) were bright enough in X-rays for HRI/ROSAT to be analysed by Caballero et al. (2009). Three other stars (Nos. 34, 53, and 74) were detected with EPIC/XMM-Newton by Franciosini et al. (2006). In practice, they could not resolve the X-ray emission coming from the system HD 294272 (No. 34/Mayrit 189303 and No. 74/Mayrit 182303). The pair was first resolved in X-rays by Caballero (2007a) using our HRC-I/Chandra dataset. Of the other two stars, No. 88/Mayrit 960106 was detected with PSPC/ROSAT by White et al. (2000) but escaped other X-ray surveys. The presence of the last star, No. 70/Mayrit 13084 ($\sigma $ Ori D), in the current HRC-I data has already been noticed by Sanz-Forcada et al. (2004), Caballero (2007b), and Skinner et al. (2008), but it has never been analysed. The B2V star has not been detected either with HRI-PSPC/ROSAT, EPIC/XMM-Newton, or ACIS-S/Chandra.

The early-type stars with the lowest $L_{\rm X}/L_J$ ratios were No. 70/Mayrit 13084 and No. 74/Mayrit 182303, which justified previous nondetections, while the star with the highest $L_{\rm X}/L_J$ ratio was No. 88/Mayrit 960106. This is the B9-type giant V1147 Ori, an $\alpha^2$ CVn-type variable with peculiar silicon abundance (Joncas & Borra 1981; North 1984; Catalano & Renson 1998). Its nondetection in previous surveys with HRI/ROSAT, EPIC/XMM-Newton, and ACIS-S/Chandra may reside simply in its location in $\sigma $ Orionis, at about 16 arcmin to the east of the cluster centre.

Only a few $\sigma $ Orionis stars more massive than 2.5 $M_\odot$ (Caballero 2007a) have not been detected with HRC-I/Chandra. They are Mayrit 208324 (HD 294271, B5V), Mayrit 1116300[*] (HD 37333, A1Va - but see Naylor 2009), and Mayrit 11238 ($\sigma $ Ori C, A2V). The star HD 37699, a young B5V star with an envelope at 25.8 arcmin to the cluster centre, seems to be associated to the stellar population near the Horsehead Nebula (Caballero & Dinis 2008).

In summary, with HRC-I/Chandra we detected all the $\sigma $ Orionis stars more massive than 5 $M_\odot$ ($\sigma $ Ori AB, D, E) and roughly two thirds of the stars with masses in the interval 2.5 to 5 $M_\odot$. Stars in multiple systems or with spectral peculiarities tend to be among the stars with detected X-ray emission.

Table 7:   Early-type stars in $\sigma $ Orionis detected with HRC-I/ Chandra.

Table 8:   Intermediate- and low-mass X-ray stars in $\sigma $ Orionis with colours $J-K_{\rm s} >$1.15 maga.

3.3.2 Brown dwarfs

Two red cluster members with high $L_{\rm X}/L_J$ ratios stand out in the upper right corner of the bottom panel in Fig. 11, with colours $i-J \sim 2.4$-2.7 mag. They are two of only three X-ray brown dwarfs detected in $\sigma $ Orionis with EPIC/XMM-Newton by Franciosini et al. (2006): No. 84/Mayrit 433123 (S Ori 25 - Béjar et al. 1999; Muzerolle et al. 2003; Barrado y Navascués et al. 2003; Caballero et al. 2004, 2007) and No. 82/Mayrit 396273 (S Ori J053818.2-023539 - Béjar et al. 2004; Kenyon et al. 2005; Maxted et al. 2008). The third X-ray cluster brown dwarf, unidentified in our dataset, is Mayrit 487350 ([SE2004] 70, NX 67), which underwent a flare during the EPIC observations and is located at a relatively short projected physical separation to the planetary-mass object candidate S Ori 68 (Scholz & Eislöffel 2004; Caballero et al. 2006).

For Mayrit 396273, López-Santiago & Caballero (2008) imposed a maximum X-ray flux of $2.9\times 10^{-17}$ W m-2 from their EPIC/XMM-Newton observations to the west of $\sigma $ Orionis, consistent with the flux reported here ( $1.0\pm0.3\times 10^{-17}$ W m-2) and the flux estimated from the Franciosini et al. (2006) count rate ($\sim$ $0.6\times 10^{-17}$ W m-2). The brown dwarf may have a high X-ray quiescent level or may have undergone flares during both Franciosini et al. (2006) and our observations. Mayrit 396273 has the highest $L_{\rm X}/L_J$ ratio in $\sigma $ Orionis after the two young star candidates No. 94/Mayrit 887313 and No. 98/Mayrit 1178039 (which are located at large offaxis separations).

The other brown dwarf, Mayrit 433123, is a photometric variable, emission-line, accreting, substellar object of only about 0.058 $M_\odot$, well below the hydrogen burning mass limit (Caballero et al. 2007). From the long-term X-ray variability analysis in Sect. 3.2, Mayrit 433123 was about five times brighter at the HRC-I/Chandra epoch than at the EPIC/XMM-Newton one, which indicates that the brown dwarf could flare during our observations.

Unfortunately, we could not perform a spectral analysis of the two substellar objects, and the low statistics prevented us from achieving conclusions on the origin of the X-ray emission from their light curves. One of the scenarios that could explain the X-ray emission in brown dwarfs is accretion from a circumsubstellar disc, since the high electrical resistivities in the neutral atmospheres of ultracool dwarfs are expected to prevent significant dynamo action (Mohanty et al. 2002; Stelzer et al. 2010). In fact, Mayrit 433123, with M6.5 spectral type and pEW(H$\alpha$$\approx$ -44 Å, satisfies the empirical criterion for classifying accreting T Tauri stars and substellar analogues using low-resolution optical spectroscopy of Barrado y Navascués & Martín (2003). It also seems to be rotationally locked to an imperceptible disc inclined $i \approx 46$ deg with respect to us (Caballero et al. 2004, 2007; Luhman et al. 2008). However, if a brown dwarf is young enough, it could still retain a (not self-sustained) priomordial field. Furthermore, Stelzer et al. (2006) found that accreting brown dwarfs have lower X-ray luminosity than non-accreting ones and suggested that substellar activity is subject to the mechanisms that also suppress X-ray emission in pre-main-squence stars during the T Tauri phase. The object statistics (two or three X-ray brown dwarfs) is still too poor to conclude whether X-rays from brown dwarfs originate from the same processes as from low-mass stars.

Using the same HRC-I/Chandra dataset, but with a coarse identification process, Caballero (2007b) listed two additional faint X-ray sources that were not identified by us, even during the 10-spurious search (Sect. 2.7). They could be related to the young very low-mass star Mayrit 50279 (Sacco et al. 2008) and the X-ray source [FPS2006] NX 77. Caballero (2007b) associated the latter to an infrared source with $J \sim
19.0$ mag and $J-K_{\rm s} \sim 1.8$ mag (tentatively called Mayrit 72345). If it belonged to $\sigma $ Orionis, it would be an L-type, planetary-mass object with an estimated mass of 7  $M_{\rm Jup}$. Bouy et al. (2009) agreed with this classification. However, it would have an extraordinary luminosity ratio higher than $L_{\rm X}/L_{\rm bol} \sim 10^{-1}$; thus, we consider it instead as an active background galaxy candidate with very red infrared colours.

3.3.3 Intermediate- and low-mass stars

There are a few remarkable X-ray stars among the remaining cluster members and candidates that are neither early-type stars nor young brown dwarfs. One of them is No. 63/Mayrit 591158 ([W96] 4771-0026), which has a relatively blue colour $i-K_{\rm s} \approx 0.46$ mag and lies in the $L_{\rm X}/L_J$vs. i-J diagram halfway between OB and active KM $\sigma $ Orionis stars. Mayrit 591158 has cosmic lithium abundance, an effective temperature of about 6000 K, a high rotational velocity of $v \sin{i} = 60\pm5$ km s-1, a partially-filled H$\alpha$ absorption line, and [S  II] and [N  II] lines in emission (Caballero 2006; González-Hernández et al. 2008). This star is significantly warmer than the six other X-ray stars in the diagram with colours 0.5 mag $\lesssim i-J \lesssim$ 1.0 mag, all of which have strong lithium absorption lines and spectral type (or effective temperature) determinations between late-G-K0 and K7. As a result, Mayrit 591158 is the only X-ray emitter in $\sigma $ Orionis with a spectral type between F and mid-G[*]. This is probably associated to the high reported rotational velocity, which may favour an enhancement of the magnetic activity.

Another remarkable X-ray source is the young low-mass star candidate No. 103/Mayrit 578123 ([FPS2006] NX 153), which is the third faintest X-ray source in our sample and has a high $L_{\rm X}/L_J$ ratio. We estimated a mass of about 0.08-0.09 $M_\odot$ from its J-band magnitude as in Caballero et al. (2007). There is no spectroscopy available of Mayrit 578123 to confirm its membership in $\sigma $ Orionis.

It has been widely discussed in the literature whether classical (accreting) T Tauri stars have a lower frequency and intensity of X-ray emission than weak-line (non-accreting) T Tauri stars (e.g., Feigelson et al. 1993; Neuhäuser et al. 1995; Preibisch & Zinnecker 2002; Telleschi et al. 2007 - see also Stelzer et al. 2006, for a discussion on X-ray emission from T Tauri-like brown dwarfs). In the $\sigma $ Orionis cluster, Franciosini et al. (2006), Caballero (2007b), and López-Santiago & Caballero (2008) confirmed the real deficiency in classical T Tauri stars in the XLF. Some hypothesis have been presented to explain this deficiency, such as cooling of active regions by accretion or absorption of X-rays by dust in a circumstellar disc. In the second picture, the geometry of the star-disc system with respect to us plays a crucial rôle (i.e., edge-on discs occult the central object while front-on ones do not). Since the inclination angles of circumstellar discs are randomly distributed, we expect no relation between the strength of both the X-ray emission and near-infrared flux excess.

\begin{figure}
\par\includegraphics[width=8cm,clip]{AA14861f12a.eps}\par\include...
...4861f12b.eps}\par\includegraphics[width=8cm,clip]{AA14861f12c.eps}
\end{figure} Figure 12:

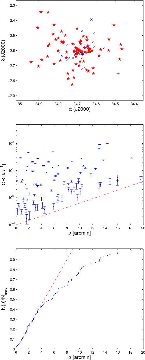
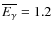
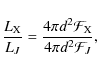
Top panel: spatial location diagram. The different symbols represent cluster star and brown dwarf members and candidates (red filled stars), field stars (blue crosses), galaxies with optical/near-infrared counterpart (blue pluses), and galaxies without counterpart (blue open circles). Size is $40 \times 40$ arcmin2, with centre on $\sigma $ Ori AB. Middle panel: count rate of $\sigma $ Orionis stars as a function of the angular separation to the cluster centre. The dashed line sketches the approximate lower limit for detection of the HRC-I/ Chandra observations. Bottom panel: relative cumulative number of X-ray $\sigma $ Orionis star and brown dwarf members and candidates as a function of angular separation to the cluster centre, $\rho $. The dashed line indicates the expected values if the X-ray stars followed a volume-density law proportional to $\rho ^{-2}$.

Open with DEXTER

Following this discussion, we investigated the reddest KM-type X-ray stars in $\sigma $ Orionis, which we expected to be classical T Tauri stars with discs. The eight X-ray stars with colours $J-K_{\rm s} > 1.15$ mag listed in Table 8 have spectral energy distributions (from the optical to 8.0-24 $\mu$m) typical of disc harbours according to Hernández et al. (2007). Except for No. 61/Mayrit 30241, which misses spectroscopy, all the stars satisfy the H$\alpha$-accretion criterion of Barrado y Navascués & Martín (2003). Of them, only two stars, No. 72/Mayrit 521199 (TX Ori) and, especially, No. 45/Mayrit 609206 (V505 Ori, with $J-K_{\rm s} =
2.01\pm 0.04$ mag) have colours redder than 1.4 mag, while in $\sigma $ Orionis there are about a dozen KM-type stars redder than this value (Caballero 2008c). For example, none of the stellar sources of the four Herbig-Haro objects in $\sigma $ Orionis (Reipurth et al. 1998), which also have very red $J-K_{\rm s}$colours, were detected with HRC-I (but the source of HH 445 was detected by Franciosini et al. 2006 - Sect. A.4). Likewise, only six of the about thirty KM-type $\sigma $ Orionis stars redder than $J-K_{\rm s} = 1.2$ mag were detected with HRC-I. A detailed analysis of the frequency of X-ray emitters as a function of mass, disc presence, and degree of accretion needs to be done, but the values above hint at a lower frequency and intensity of X-ray emission of classical (accreting) T Tauri stars in $\sigma $ Orionis than weak-line (non-accreting) T Tauri stars.

3.4 Spatial distribution of X-ray sources

As a final analysis of the HRC-I data, we investigated the spatial distribution of X-ray stars in $\sigma $ Orionis. From the top panel in Fig. 12, the cluster stars are concentrated towards the centre, defined by the $\sigma $ Ori AB system, which coincides with the centre of the field of view with a small error of 13 arcsec (Sect. 2.1). The apparent concentration of galaxies without optical/near-infrared counterpart and field stars in the innermost 10 arcmin comes from the combined effect of their faintness and the decreasing sensitivity of the HRC-I detector at large offaxis separations. Only relatively bright X-ray fore- and background sources, such as the field star No. 69/[W96] rJ053829-0223 or, particularly, the galaxy 2E 1456, could be detected at more than 10 arcmin to the pointing centre. The middle panel in Fig. 12 illustrates the effect of the degradation of the sensitivity towards the HRC-I borders. While almost all the X-ray sources with count rates CR > 0.1 ks-1 were detected in the central area, the lower limit for detection increased up to about 1 ks-1 at 10 arcmin and about 4 ks-1 at 20 arcmin.

According to Caballero (2008a), the radial distribution of $\sigma $ Orionis stars (without attending to their X-ray emission) follows a power law proportional to the angular separation to the cluster centre, $\rho^{+1}$, valid only for $\rho \lesssim 20$ arcmin. This distribution corresponds to a volume density proportional to $\rho ^{-2}$, which is expected from the collapse of an isothermal spherical molecular cloud. From the bottom panel in Fig. 12, the X-ray stars in $\sigma $ Orionis follow the power law $\rho^{+1}$ only in the innermost 4 arcmin. Apart from the limited field of view of the detector, at large offaxis separations, the degradation of the sensitivity towards the HRC-I borders increases and many X-ray $\sigma $ Orionis stars were missed during the observations. We estimated that between 30 and more than 100 young stars and brown dwarfs were missed in the 4-10 and 10-20 arcmin annuli, respectively. The sensitivity degradation must be taken into account when frequencies of X-ray emitters are computed.

4 Summary

We carried out a detailed analysis of the X-ray emission of young stars in the $\sigma $ Orionis cluster ($\tau \sim$ 3 Ma, $d \sim$ 385 pc). We analysed public HRC-I/Chandra observations obtained in November 2002. The wide field of view, long exposure time of 97.6 ks, and the superb spatial resolution of HRC-I/Chandra allowed us to detect 107 X-ray sources, many of which had not been identified in previous searches with IPC/Einstein, HRI/ROSAT, ACIS-S/Chandra, or EPIC/XMM-Newton. After cross-matching with optical and near-infrared catalogues, we classified the X-ray sources into 84 young cluster members and candidates, four active field stars, and 19 galaxies, of which only two have known optical and near-infrared counterparts. Among the cluster members and candidates, two are bona fide brown dwarfs with signposts of youth.

A robust Poisson-$\chi ^2$ analysis to search for X-ray variability showed that at least seven young stars displayed flares during the HRC-I observations, while two (or three, if we include the B2Vpe star No. 2/Mayrit 42062 AB - $\sigma $ Ori E) may display rotational modulation. Some of the observed flares were intense, with peak-to-quiescence ratios of about six and durations longer than 20 ks (and longer than our observations in one case).

We compared the count rates and variability status of our HRC-I sources with the results of previous observations with Einstein, ROSAT, Chandra, and XMM-Newton, and found that eleven stars displayed significant X-ray flux variations between our observations and others, mostly ascribed to flaring activity. Interestingly, during the HRC-I observations, the brown dwarf No. 84/Mayrit 433123 (S Ori 25) underwent an X-ray brightening by a factor five compared to the EPIC/XMM-Newton epoch. Besides, we revisited old ROSAT data and found new flaring activity in the $\sigma $ Orionis star No. 37/Mayrit 102101 AB. To facilitate further studies, we also compiled the ROSAT sources presented by Wolk (1996). From this compilation, we noticed that he tabulated X-ray emission from the brown dwarf Mayrit 433123, but he was not able to classify it as one of the first discovered substellar objects.

The X-ray luminosity function that we presented here ranges from spectral type O9.5V, which corresponds to a mass of about 18 $M_\odot$, to M6.5, below the hydrogen burning mass limit at 0.07 $M_\odot$. We found a tendency of early-type stars in multiple systems or with spectral peculiarities to display X-ray emission. On the other side of the luminosity function, the two detected brown dwarfs and the least massive young star candidate are among the $\sigma $ Orionis members with the highest values of $L_{\rm X}/L_J$ luminosity ratios. We found X-ray emission from only two stars in the spectral type interval from early A to intermediate-late G.

We noticed that most of the $\sigma $ Orionis T Tauri stars with the largest infrared excesses have not been detected in X-ray surveys in the area, which supports the scenario of a lower frequency and intensity of X-ray emission of classical (accreting) T Tauri stars than weak-line (non-accreting) T Tauri stars. The only very red ( $J-K_{\rm s} >$1.5 mag) young star detected with HRC-I/Chandra was No. 45/Mayrit 609206, which is a classical T Tauri star with a strong H$\alpha$ emission for its spectral type (K7.0), photometric variability, and a spectral energy distribution typical of Class II objects.

Finally, we investigated the spatial distribution of the X-ray cluster members, which is strongly affected by the degradation of the sensitivity towards the borders of the HRC-I detector. While roughly all the X-ray sources with count rates CR > 0.1 ks-1 at less than 4 arcmin to the cluster centre were detected, the estimated numbers of missed X-ray cluster members in the 4-10 and 10-20 arcmin annuli are 30 and 100, respectively. Since the core of $\sigma $ Orionis extends up to 20 arcmin from the centre, defined by the Trapezium-like $\sigma $ Ori system, additional de-centred pointings with HRC-I/Chandra, EPIC/XMM-Newton, or the future Wide Field Imager + Hard X-ray Imager instruments onboard the ESA-NASA-JAXA space mission International X-ray Observatory are needed to investigate the full X-ray luminosity function of the cluster. To conclude, a few shallow pointings around the cluster centre will probably be more efficient at detecting and characterising new X-ray young brown dwarfs in $\sigma $ Orionis than a single deep pointing centred on the Trapezium-like system.

Acknowledgements
We are indebted to the anonymous referee for his/her quick, polite, very valuable report. J.A.C. is an investigador Ramón y Cajal at the CAB, JFAC is a researcher of the Consejo Nacional de Investigaciones Científicas y Tecnológicas (CONICET) at the UNComa, and J.L.S. is an AstroCAM post-doctoral fellow at the UCM. This research made use of the SIMBAD, operated at Centre de Données astronomiques de Strasbourg, France, and NASA's Astrophysics Data System. PWDetect has been developed by scientists at Osservatorio Astronomico di Palermo. Financial support was provided by the Universidad Complutense de Madrid, the Comunidad Autónoma de Madrid, the Spanish Ministerio de Ciencia e Innovación, the Secretaría de Ciencia y Tecnología de la Universidad Central de Córdoba, and the Argentinian CONICET under grants AyA2008-06423-C03-03, AyA2008-00695, PRICIT S-2009/ESP-1496, and PICT 2007-02177.

References

  1. Adams, N., Wolk, S., Walter, F. M., Jeffries, R., & Naylor, T. 2002, Amer. Astron. Soc. Meet. 201, #46.08, BAAS, 34, 1176 [Google Scholar]
  2. Adams, N. R., Wolk, S. J., Walter, F. M., & Sherry, W. H. 2004, Amer. Astron. Soc. Meet. 205, #105.08, BAAS, 36, 1518 [Google Scholar]
  3. Adams-Wolk, N. R., Wolk, S. J., Walter, F. M., et al. 2003, Amer. Astron. Soc. Meet. 203, #77.06, BAAS, 35, 1324 [Google Scholar]
  4. Adams-Wolk, N. R., Wolk, S. J., Walter, F. M., & Sherry, W. H. 2005, Protostars and Planets V, Proceedings of the Conference held October 24-28, in Hilton Waikoloa Village, Hawai'i. LPI Contribution No. 1286, 8425 [Google Scholar]
  5. Albacete-Colombo, J. F., Caramazza, M., Flaccomio, E., Micela, G., & Sciortino, S. 2007, A&A, 474, 495 [NASA ADS] [CrossRef] [EDP Sciences] [Google Scholar]
  6. Albacete-Colombo, J. F., Damiani, F., Micela, G., Sciortino, S., & Harnden, F. R., Jr. 2008, A&A, 490, 1055 [NASA ADS] [CrossRef] [EDP Sciences] [Google Scholar]
  7. Anders, E., & Grevesse, N. 1989, Geochim. Cosmochim. Acta, 53, 197 [Google Scholar]
  8. Andrews, S. M., Reipurth, B., Bally, J., & Heathcote, S. R. 2004, ApJ, 606, 353 [NASA ADS] [CrossRef] [Google Scholar]
  9. Barrado y Navascués, D., & Martín, E. L. 2003, AJ, 126, 2997 [NASA ADS] [CrossRef] [Google Scholar]
  10. Barrado y Navascués, D., Béjar, V. J. S., Mundt, R., et al. 2003, A&A, 404, 171 [NASA ADS] [CrossRef] [EDP Sciences] [Google Scholar]
  11. Béjar, V. J. S., Zapatero Osorio, M. R., & Rebolo, R. 1999, ApJ, 521, 671 [NASA ADS] [CrossRef] [Google Scholar]
  12. Béjar, V. J. S., Martín, E. L., Zapatero Osorio, M. R., et al. 2001, ApJ, 556, 830 [NASA ADS] [CrossRef] [Google Scholar]
  13. Béjar, V. J. S., Zapatero Osorio, M. R., & Rebolo, R. 2004, AN, 325, 705 [Google Scholar]
  14. Bihain, G., Rebolo, R., Zapatero Osorio, M. R., et al. 2009, A&A, 506, 1169 [NASA ADS] [CrossRef] [EDP Sciences] [Google Scholar]
  15. Bolton, C. T. 1974, ApJ, 192, L7 [NASA ADS] [CrossRef] [Google Scholar]
  16. Bouy, H., Huélamo, N., Martín, E. L., et al. 2009, A&A, 493, 931 [NASA ADS] [CrossRef] [EDP Sciences] [Google Scholar]
  17. Broos, P. S., Feigelson, E. D., Townsley, L. K., et al. 2007, ApJS, 169, 353 [NASA ADS] [CrossRef] [Google Scholar]
  18. Burningham, B., Naylor, T., Littlefair, S. P., & Jeffries, R. D. 2005, MNRAS, 356, 1583 [NASA ADS] [CrossRef] [Google Scholar]
  19. Caballero, J. A. 2005, AN, 326, 1007 [Google Scholar]
  20. Caballero, J. A. 2006, Ph.D. Thesis, Universidad de La Laguna, Spain [Google Scholar]
  21. Caballero, J. A. 2007a, A&A, 466, 917 [NASA ADS] [CrossRef] [EDP Sciences] [Google Scholar]
  22. Caballero, J. A. 2007b, AN, 328, 917 [Google Scholar]
  23. Caballero, J. A. 2008a, MNRAS, 383, 375 [NASA ADS] [Google Scholar]
  24. Caballero, J. A. 2008b, MNRAS, 383, 750 [Google Scholar]
  25. Caballero, J. A. 2008c, A&A, 478, 667 [NASA ADS] [CrossRef] [EDP Sciences] [Google Scholar]
  26. Caballero, J. A. 2009, Multi-wavelength Astronomy and Virtual Observatory, Proceedings of the EURO-VO Workshop, held at the European Space Astronomy Centre of ESA, Villafranca del Castillo, Spain, 1-3 December, 2008, ed. D. Baines, & P. Osuna (The European Space Agency), 3 [Google Scholar]
  27. Caballero, J. A. 2010, A&A, 514, A18 [NASA ADS] [CrossRef] [EDP Sciences] [Google Scholar]
  28. Caballero, J. A., & Dinis, L. 2008, AN, 329, 801 [Google Scholar]
  29. Caballero, J. A., Béjar, V. J. S., Rebolo, R., & Zapatero Osorio, M. R. 2004, A&A, 424, 857 [NASA ADS] [CrossRef] [EDP Sciences] [Google Scholar]
  30. Caballero, J. A., Martín, E. L., Dobbie, P. D., et al. 2006, A&A, 460, 635 [NASA ADS] [CrossRef] [EDP Sciences] [Google Scholar]
  31. Caballero, J. A., Béjar, V. J. S., Rebolo, R., et al. 2007, A&A, 470, 903 [NASA ADS] [CrossRef] [EDP Sciences] [Google Scholar]
  32. Caballero, J. A., Valdivielso, L., Martín, E. L., et al. 2008, A&A, 491, 515 [NASA ADS] [CrossRef] [EDP Sciences] [Google Scholar]
  33. Caballero, J. A., López-Santiago, J., de Castro, E., & Cornide, M. 2009, AJ, 137, 5012 [NASA ADS] [CrossRef] [Google Scholar]
  34. Catalano, F. A., & Renson, P. 1998, A&AS, 127, 421 [Google Scholar]
  35. Condon, J. J., Cotton, W. D., Greisen, E. W., et al. 1998, AJ, 115, 1693 [NASA ADS] [CrossRef] [Google Scholar]
  36. Daemgen, S., Siegler, N., Reid, I. N., & Close, L. M. 2007, ApJ, 654, 558 [NASA ADS] [CrossRef] [Google Scholar]
  37. Damiani, F., Maggio, A., Micela, G., & Sciortino, S. 1997a, ApJ, 483, 350 [NASA ADS] [CrossRef] [Google Scholar]
  38. Damiani, F., Maggio, A., Micela, G., & Sciortino, S. 1997b, ApJ, 483, 370 [NASA ADS] [CrossRef] [Google Scholar]
  39. Della Ceca, R., Maccacaro, T., Caccianiga, A., et al. 2004, A&A, 428, 383 [NASA ADS] [CrossRef] [EDP Sciences] [Google Scholar]
  40. Drake, S. A. 1990, AJ, 100, 572 [NASA ADS] [CrossRef] [Google Scholar]
  41. Epchtein, N., de Batz, B., Capoani, L., et al. 1997, Msngr, 87, 27 [Google Scholar]
  42. Feigelson, E. D., Casanova, S., Montmerle, T., & Guibert, J. 1993, ApJ, 416, 623 [NASA ADS] [CrossRef] [Google Scholar]
  43. Feigelson, E. D., Broos, P., Gaffney, J. A., III, et al. 2002, ApJ, 574, 258 [NASA ADS] [CrossRef] [Google Scholar]
  44. Flaccomio, E., Micela, G., & Sciortino, S. 2006, A&A, 455, 903 [NASA ADS] [CrossRef] [EDP Sciences] [Google Scholar]
  45. Franciosini, E., Pallavicini, R., & Sanz-Forcada, J. 2006, A&A, 446, 501 [NASA ADS] [CrossRef] [EDP Sciences] [Google Scholar]
  46. Frost, E. B., & Adams, W. S. 1904, ApJ, 19, 151 [NASA ADS] [CrossRef] [Google Scholar]
  47. Garrison, R. F. 1967, PASP, 79, 433 [NASA ADS] [CrossRef] [Google Scholar]
  48. Gatti, T., Natta, A., Randich, S., Testi, L., & Sacco, G. 2008, A&A, 481, 423 [NASA ADS] [CrossRef] [EDP Sciences] [Google Scholar]
  49. Getman, K. V., Feigelson, E. D., Townsley, L., et al. 2002, ApJ, 575, 354 [NASA ADS] [CrossRef] [Google Scholar]
  50. González Hernández, J. I., Caballero, J. A., Rebolo, R., et al. 2008, A&A, 490, 1135 [NASA ADS] [CrossRef] [EDP Sciences] [Google Scholar]
  51. Groote, D., & Schmitt, J. H. M. M. 2004, A&A, 418, 235 [NASA ADS] [CrossRef] [EDP Sciences] [Google Scholar]
  52. Güdel, M., & Nazé, Y. 2009, A&AR, 17, 309 [CrossRef] [Google Scholar]
  53. Harris, D. E., Forman, W., Gioa, I. M., et al. 1994, Vizier Online Catalogue IX/13 [Google Scholar]
  54. Hernández, J., Hartmann, L., Megeath, T., et al. 2007, ApJ, 662, 1067 [NASA ADS] [CrossRef] [Google Scholar]
  55. Hodapp, K. W., Iserlohe, C., Stecklum, B., & Krabbe, A. 2009, ApJ, 701, L100 [NASA ADS] [CrossRef] [Google Scholar]
  56. Jeffries, R. D., Maxted, P. F. L., Oliveira, J. M., & Naylor, T. 2006, MNRAS, 371, L6 [NASA ADS] [CrossRef] [Google Scholar]
  57. Joncas, G., & Borra, E. F. 1981, A&A, 94, 134 [NASA ADS] [Google Scholar]
  58. Kenyon, M. J., Jeffries, R. D., Naylor, T., Oliveira, J. M., & Maxted, P. F. L. 2005, MNRAS, 356, 89 [NASA ADS] [CrossRef] [Google Scholar]
  59. Kudritzki, R.-P., & Puls, J. 2000, ARA&A, 38, 613 [NASA ADS] [CrossRef] [Google Scholar]
  60. Lee, T. A. 1968, ApJ, 152, 913 [NASA ADS] [CrossRef] [Google Scholar]
  61. López-Santiago, J., & Caballero, J. A. 2008, A&A, 491, 961 [NASA ADS] [CrossRef] [EDP Sciences] [Google Scholar]
  62. Lucy, L. B., & White, R. L. 1980, ApJ, 241, 300 [NASA ADS] [CrossRef] [Google Scholar]
  63. Luhman, K. L., Hernández, J., Downes, J. J., Hartmann, L., & Briceño, C. 2008, ApJ, 688, 362 [NASA ADS] [CrossRef] [Google Scholar]
  64. Maggio, A., Flaccomio, E., Favata, F., et al. 2007, ApJ, 660, 1462 [NASA ADS] [CrossRef] [Google Scholar]
  65. Maxted, P. F. L., Jeffries, R. D., Oliveira, J. M., Naylor, T., & Jackson, R. J. 2008, MNRAS, 385, 2210 [NASA ADS] [CrossRef] [Google Scholar]
  66. Mayne, N. J., & Naylor, T. 2008, MNRAS, 386, 261 [NASA ADS] [CrossRef] [Google Scholar]
  67. Micela, G., Sciortino, S., Harnden, F. R., Jr., et al. 1999, A&A, 341, 751 [NASA ADS] [Google Scholar]
  68. Mohanty, S., Basri, G., Shu, F., Allard, F., & Chabrier, G. 2002, ApJ, 571, 469 [NASA ADS] [CrossRef] [Google Scholar]
  69. Monet, D. G., Levine, S. E., Canzian, B., et al. 2003, AJ, 125, 984 [NASA ADS] [CrossRef] [Google Scholar]
  70. Moran, E. C., Helfand, D. J., Becker, R. H., & White, R. L. 1996, ApJ, 461, 127 [NASA ADS] [CrossRef] [Google Scholar]
  71. Morrison, R., & McCammon, D. 1983, ApJ, 270, 119 [NASA ADS] [CrossRef] [Google Scholar]
  72. Muzerolle, J., Hillenbrand, L., Calvet, N., Briceño, C., & Hartmann, L. 2003, ApJ, 592, 266 [NASA ADS] [CrossRef] [Google Scholar]
  73. Naylor, T. 2009, MNRAS, 399, 432 [NASA ADS] [CrossRef] [Google Scholar]
  74. Neuhäuser, R., Sterzik, M. F., Schmitt, J. H. M. M., Wichmann, R., & Krautter, J. 1995, A&A, 297, 391 [NASA ADS] [Google Scholar]
  75. North, P. 1984, A&A, 141, 328 [NASA ADS] [Google Scholar]
  76. Oliveira, J. M., Jeffries, R. D., van Loon, J. Th., & Rushton, M. T. 2006, MNRAS, 369, 272 [NASA ADS] [CrossRef] [Google Scholar]
  77. Owocki, S. P., & Cohen, D. H. 1999, ApJ, 520, 833 [NASA ADS] [CrossRef] [Google Scholar]
  78. Preibisch, T., & Zinnecker, H. 2002, AJ, 123, 1613 [NASA ADS] [CrossRef] [Google Scholar]
  79. Randich, S., Schmitt, J. H. M. M., Prosser, C. F., & Stauffer, J. R. 1996, A&A, 305, 785 [NASA ADS] [Google Scholar]
  80. Reid, N. 2003, MNRAS, 342, 837 [NASA ADS] [CrossRef] [Google Scholar]
  81. Reipurth, B., Bally, J., Fesen, R. A., & Devine, D. 1998, Nature, 396, 343 [NASA ADS] [CrossRef] [Google Scholar]
  82. Sacco, G. G., Randich, S., Franciosini, E., Pallavicini, R., & Palla, F. 2007, A&A, 462, L23 [NASA ADS] [CrossRef] [EDP Sciences] [Google Scholar]
  83. Sacco, G. G., Franciosini, E., Randich, S., & Pallavicini, R. 2008, A&A, 488, 167 [NASA ADS] [CrossRef] [EDP Sciences] [Google Scholar]
  84. Sanz-Forcada, J., Franciosini, E., & Pallavicini, R. 2004, A&A, 421, 715 [NASA ADS] [CrossRef] [EDP Sciences] [Google Scholar]
  85. Scholz, A., & Eislöffel, J. 2004, A&A, 419, 249 [NASA ADS] [CrossRef] [EDP Sciences] [Google Scholar]
  86. Sherry, W. H., Walter, F. M., & Wolk, S. J. 2004, AJ, 128, 2316 [NASA ADS] [CrossRef] [Google Scholar]
  87. Sherry, W. H., Walter, F. M., Wolk, S. J., & Adams, N. R. 2008, AJ, 135, 1616 [NASA ADS] [CrossRef] [Google Scholar]
  88. Skinner, S. L., Sokal, K. R., Cohen, D. H., et al. 2008, ApJ, 683, 796 [NASA ADS] [CrossRef] [Google Scholar]
  89. Skrutskie, M. F., Cutri, R. M., Stiening, R., et al. 2006, AJ, 131, 1163 [NASA ADS] [CrossRef] [Google Scholar]
  90. Smith, R. K., Brickhouse, N. S., Liedahl, D. A., & Raymond, J. C. 2001, ApJ, 556, L91 [NASA ADS] [CrossRef] [Google Scholar]
  91. Stauffer, J. R., Caillault, J.-P., Gagné, M., Prosser, C. F., & Hartmann, L. W. 1994, ApJs, 91, 625 [Google Scholar]
  92. Stelzer, B., Micela, G., Flaccomio, E., Neuhäuser, R., & Jayawardhana, R. 2006, A&A, 448, 293 [NASA ADS] [CrossRef] [EDP Sciences] [Google Scholar]
  93. Stelzer, B., Flaccomio, E., Briggs, K., et al. 2007, A&A, 468, 463 [NASA ADS] [CrossRef] [EDP Sciences] [Google Scholar]
  94. Stelzer, B., Scholz, A., Argiroffi, C., & Micela, G. 2010, MNRAS, accepted [arXiv:1006.2717] [Google Scholar]
  95. Stern, R. A., Schmitt, J. H. M. M., & Kahabka, P. T. 1995, ApJ, 448, 683 [Google Scholar]
  96. Telleschi, A., Güdel, M., Briggs, K. R., Audard, M., & Palla, F. 2007, A&A, 468, 425 [Google Scholar]
  97. Townsend, R. H. D., Oksala, M. E., Cohen, D. H., Owocki, S. P., & ud-Doula, A. 2010, ApJ, 714, L318 [NASA ADS] [CrossRef] [Google Scholar]
  98. van Loon, J. Th., & Oliveira, J. M. 2003, A&A, 405, L33 [NASA ADS] [CrossRef] [EDP Sciences] [Google Scholar]
  99. Walborn, N. R. 1974, ApJ, 191, L95 [NASA ADS] [CrossRef] [Google Scholar]
  100. White, N. E., Giommi, P., & Angelini, L. 2000, Vizier Online Catalogue IX/31 [Google Scholar]
  101. Wolk, S. J. 1996, Ph.D. Thesis, University of New York at Stony Brook, USA [Google Scholar]
  102. Wolk, S. J., Harnden, F. R., Jr., Flaccomio, E., et al. 2005, ApJs, 160, 423 [NASA ADS] [CrossRef] [Google Scholar]
  103. Zapatero Osorio, M. R., Béjar, V. J. S., Martín, E. L., et al. 2000, Science, 290, 103 [NASA ADS] [CrossRef] [PubMed] [Google Scholar]
  104. Zapatero Osorio, M. R., Béjar, V. J. S., Martín, E. L., et al. 2002, ApJ, 578, 536 [NASA ADS] [CrossRef] [Google Scholar]
  105. Zapatero Osorio, M. R., Béjar, V. J. S., Bihain, G., et al. 2008, A&A, 477, 895 [NASA ADS] [CrossRef] [EDP Sciences] [Google Scholar]

Appendix A: HRC-I/Chandra compared to other X-ray space missions

A.1 IPC/Einstein

We identified the eight 2E sources detected at less than or about 15 arcmin to the cluster centre with the Imaging Proportional Counter (IPC) onboard Einstein (Harris et al. 1994). Given the large Einstein position errors of 30-50 arcsec tabulated in the 2E catalogue, the origin of each X-ray source can be a combination of several bright sources (e.g., 2E 1470 = $\sigma $ Ori AB + D + E + IRS1 AB). Besides this, there was a ninth 2E source at about 16 arcsec to the cluster centre, 2E 1483, which we associated to our HRC-I source No. 99. The Einstein Two-Sigma catalogue (Moran et al. 1996) only provided the marginal detection of three additional ROSAT sources (Mayrit 528005 AB, Mayrit 653170, and Mayrit 306125 AB) and five possible spurious X-ray detections, so we did not use it.

A.2 HRI/ROSAT

We recovered in our HRC-I observations all except one of the 24 sources (23 young stars and the galaxy 2E 1456) detected by Caballero et al. (2009) with the High Resolution Imager (HRI) onboard ROSAT. The exception was the flaring star Mayrit 969077 (2E 1487), the most separated X-ray source to the cluster centre in the HRI observation, which fell out of the HRC-I field of view. Of the 23 sources, eight were reported to vary by Caballero et al. (2009). In their variability study, the authors imposed a minimum number of associated X-ray events of N = 20. In the present work, we have revisited their HRI/ROSAT dataset and applied the same methodology as in Caballero et al. (2009) to eight X-ray sources with 5 < N < 20 not investigatd by them. The results of this analysis are summarised in Table A.1. The eight X-ray sources correspond to the active field star No. 31 ([W96] 4771-1056; Sect. 2.5.2) and seven young $\sigma $ Orionis stars, of which two are variable according to the robust Poisson-$\chi ^2$ criterion in Caballero et al. (2009). The two (highly) variable stars are No. 4 (Mayrit 348349, Haro 5-13), the strong H$\alpha$ emitter that showed the flare decay during the HRC-I observations, and No. 37 (Mayrit 102101 AB, [W96] rJ053851-20130236), an M3-type, accreting, double-lined spectroscopic binary (Wolk 1996; Sacco et al. 2008; Caballero et al. 2008). In both cases, flaring activity was responsible for the large variation in count rates (of up to a factor ten).

Table A.1:   X-ray parameters of faint HRI/ ROSAT sources in $\sigma $ Orionis not listed by Caballero et al. (2009)a.

Table A.2:   Optical/near-infrared counterparts of EPIC/ XMM-Newton sources in Franciosini et al. (2006) not listed in Tables 4 or C.1.

For completeness, in Table C.3 we present a reappraisal of the X-ray sources near $\sigma $ Ori in the novel work by Wolk (1996). Years later, his work has been acknowledged as a cornerstone in the study of the $\sigma $ Orionis cluster. In the table, we list the names and spectral types[*] of the optical counterparts and coordinates and count rates of the X-ray sources from Wolk (1996), coordinates of the near-infrared counterparts from 2MASS, identification number in our work, and recommended name.

Among the 58 X-ray sources listed in Table C.3, there are three double detections and one triple (including $\sigma $ Ori AB), between two and four probable spurious detections (marked with ellipses and question marks), two galaxies (No. 9/2E 1456 and No. 62), and three field active stars (No. 31/[W96] 4771-1056, No. 51/[SWW2004] 166, and ``R053930-0238''/[SWW2004] 222 AB). The remaining sources correspond to young objects in the $\sigma $ Orionis cluster. A few sources were not detected in the Chandra images, mostly due to the difference in sizes of fields of view.

Interestingly, Wolk (1996) tabulated at $0.81\pm0.19$ ks-1 the count rate of the X-ray source ``R053908-0239'' (No. 84/Mayrit 433123), which is the young brown dwarf S Ori 25 (see Sect. 3.3.2). This was the first report of X-ray emission from a substellar object. Unfortunately, Wolk (1996) did not collect optical or near-infrared photometry of the object and could not classify it.

A.3 ACIS-S/Chandra

Of the 42 X-ray sources detected with ACIS-S/Chandra by Skinner et al. (2008), 40 were HRC-I/Chandra X-ray sources with a significance of detection greater than 5.4 (Table C.1). One of the two other sources, the X-ray galaxy [SSC2008] 40 (CXO 40), was recovered with our new 10-spurious search (Sect. 2.7). We did not detect [SSC2008] 39 (CXO 39, [FPS2006] NX 116). It is probably related to the nearby radio source [D90] 3 (Drake 1990; Caballero 2009), which was also tabulated in the National Radio Astronomy Observatory Very Large Array Sky Survey (NVSS at 1465 MHz; Condon et al. 1998). The measured angular separation, $\rho \sim 1.4$ arcsec, is consistent with the large NVSS mean error in declination of more than 6 arcsec. [D90] 3 might be a radio-galaxy with variable X-ray emission.

A.4 EPIC/XMM-Newton

In Tables 4 and C.1, there are 87 X-ray sources in common between our observations with HRC-I/Chandra and the ones with EPIC/XMM-Newton by Franciosini et al. (2006). However, the authors reported 175 detections. Only thirty of the 88 unidentified sources, listed in Table A.2, have optical and near-infrared counterparts. They are 18 $\sigma $ Orionis stars and brown dwarfs with signposts of youth, four cluster member candidates, four field stars, two possible field stars, a possible galaxy, and the radiogalaxy [D90] 3. In the table, the uncertainty in the actual stellar counterpart of two X-ray sources is indicated with a question mark. Following the criterion in López-Santiago & Caballero (2008), we classified the 58 other X-ray sources with no 2MASS counterpart as faint active galaxies (the X-ray sources NX 46 and NX 123 had blue optical counterparts in the Guide Star Catalog).

We were able to identify 23 sources not detected by Franciosini et al. (2006). Of them, the authors provided EPIC count-rate upper levels for seven young stars and candidates (marked with the symbol ``<'' in the NX column in Table C.1). The source No. 25 (Mayrit 3020 AB, $\sigma $ Ori IRS1), at only 3 arcsec from $\sigma $ Ori AB, was not resolved by EPIC. Most of the remaining 15 new sources fell at angular separations to the pointing centre larger than $\rho \sim$ 15 arcmin (e.g., the bright X-ray galaxy No. 9/2E 1454 or the young star candidate No. 46/Mayrit 1093033) or shorter than $\rho \sim$ 3 arcmin (where the background level due to $\sigma $ Ori AB in the EPIC observations was high). Among the 23 sources not detected by Franciosini et al. (2006), eight sources were detected independently with ACIS-S by Skinner et al. (2008). There were also eight young stars with signposts of youth, including the early-type stars No. 70/Mayrit 13084 ($\sigma $ Ori D) and No. 74/Mayrit 182305 (HD 294272 A), six young star candidates, and two galaxies (No. 9/2E 1456 and No. 64/UCM0536-0239, which was also detected by Skinner et al. 2008). They all have low significances of detection in our HRC-I data.

Appendix B: Notes on individual objects

B.1 Notes to Table 1

*
No. 25/Mayrit 3020 AB ($\sigma $ Ori IRS1 AB) is a Class II (or Class-I proplyd?) binary star located at $\rho = 3.32\pm0.06$ arcsec, $\theta =
19.6\pm1.4$ deg, to $\sigma $ Ori AB. In turn, it forms a binary system separated by $\rho \approx 0.24$ arcsec, $\theta \approx 318$ deg (Bouy et al. 2009; Hodapp et al. 2009). Coordinates and J-band magnitude of Mayrit 3020 AB are from the unresolved adaptive optics observations in Caballero (2006). The tabulated H- and $K_{\rm s}$-band magnitudes, from Bouy et al. (2009), are for the primary Mayrit 3020 A. The secondary Mayrit 3020 B has $H = 12.84\pm0.07$ mag and $K_{\rm s} =
12.65\pm0.07$ mag.

*
No. 31/[W96] 4771-1056 is a possible field star discovered by Wolk (1996). He derived a K1 spectral type and found H$\alpha$ in absorption. The Li  I $\lambda$6708 Å equivalent width was less than expected for an early K-type cluster member. The star does not follow the spectro-photometric sequence of the cluster.

*
No. 39/Mayrit 168291 A, No. 47/Mayrit 68229, and No. 57/Mayrit 492211 have lithium absorption, radial velocity, and H$\alpha$ emission consistent with membership in $\sigma $ Orionis (Sacco et al. 2008). Their Mayrit numbers are first given here. No. 39/Mayrit 168291 A has a fainter visual companion, tentatively called Mayrit 168291 B, at about 3.5 arcsec to the northeast. Neither DENIS nor 2MASS resolved the system.

*
No. 58/Mayrit 21023 is located at $\rho \approx$ 21 arcsec, $\theta
\approx$ 23 deg, to $\sigma $ Ori AB. Their coordinates and $JHK_{\rm s}$ magnitudes are from Caballero (2007b). Along with this, the DENIS catalogue tabulates $i = 14.31\pm0.03$ mag, which seems to be affected by the glare of the nearby $\sigma $ Ori system.

B.2 Notes to Table 2

*
No. 62: digitisations of the Palomar Optical Sky Survey show an extended source (probably the X-ray host galaxy) in the background of a field dwarf. The brown dwarf cluster member candidate S Ori 43 (Béjar et al. 1999) is also in a 6 arcsec-radius cone search around the X-ray source.
*
No. 93: it has a close, faint, blue, extended, USNO-B1 visual companion. Although this source is probably extragalactic, it does not seem to be the origin of the X-ray source.
*
No. 96: the 2MASS photometric quality flag of the infrared source close to the X-ray source is EEA, an indication of binarity. Public IRAC/Spitzer images resolve the 2MASS source into two point-like sources.
*
No. 97: Mayrit 68191 might be its actual optical counterpart.
*
No. 107: [BNL2005] 1.02 156 may be its actual optical counterpart, which could correspond to the X-ray source [FPS2006] NX 101 (Table A.2).

Appendix C: Long tables

Table C.1:   HRC-I/ Chandra X-ray detections with significance over 5.1.

Table C.2:   Optical/near-infrared counterparts of X-ray sources in Table C.1.

Table C.3:   A reappraisal to the X-ray sources near $\sigma $ Ori in Wolk (1996).

Footnotes

...2008)[*]
Skinner et al. (2008) also used the High Energy Transmission Grating, HETG, for the brightest sources.
... Archive[*]
http://cxc.harvard.edu/cda/
... CIAO 3.4[*]
http://cxc.harvard.edu/ciao3.4/
... CALDB 3.4.1[*]
http://cxc.harvard.edu/caldb3/
... dictionary[*]
http://chandra.ledas.ac.uk/ciao/dictionary/
... PWDetect[*]
http://www.astropa.unipa.it/progetti_ricerca/PWDetect/
... cases[*]
We thank I. Pillitteri for helpful guidance in this subject.
... flux[*]
Throughout this work, we use the word ``flux'' for denoting the quantity $\lambda F_\lambda$. For transforming between the Système international d'unités and the centimetre-gram-second system, use the conversion factor 10-14 erg cm-2 s $^{-1} \equiv 10^{-17}$ W m-2. Using d = 385 pc to the $\sigma $ Orionis cluster, a flux ${\cal F}
= 10^{-17}$ W m-2 translates into a cgs luminosity $\log{L_{\rm X}}
\approx 29.25$.
...2006)[*]
At less than 6 arcsec from [FPS2006] NX 120 lie 2MASS J05385930-0235282, a fore- or background source based on $iJHK_{\rm s}$ colours, and [BZR99] S Ori 72, a young L/T-transition cluster member candidate or active galactic nucleus (Bihain et al. 2009).
... Mayrit 1116300[*]
López-Santiago & Caballero (2008) provided a restrictive upper limit of the EPIC/XMM-Newton apparent flux of Mayrit 1116300.
... mid-G[*]
Furthermore, Mayrit 591158 and Mayrit 524060 (A8V:) are the only X-ray emitters in $\sigma $ Orionis with spectral types between early-A and mid-G.
... types[*]
Symbols ``$\times$'' and ``...'' in the spectral type column in Table C.3 indicate that the stars were spectroscopically investigated by Wolk (1996), but their spectral types were not given, and that the stars were not spectroscopically investigated, respectively.

All Tables

Table 1:   X-ray stars not tabulated in the Mayrit catalogue (Caballero 2008c)a.

Table 2:   The closest 2MASS sources to X-ray galaxy candidates without optical/near-infrared counterparts listed in Table C.1a.

Table 3:   Sources with a probability of X-ray variability in the HRC-I data greater than $p_{\rm var}$ = 99.5 %.

Table 4:   Previously-known sources in the 10-spurious search and not in Table C.1.

Table 5:   Energy bands, spatial resolutions, and field of view of some X-ray instruments onboard space missionsa.

Table 6:   Long-term X-ray variable stars.

Table 7:   Early-type stars in $\sigma $ Orionis detected with HRC-I/ Chandra.

Table 8:   Intermediate- and low-mass X-ray stars in $\sigma $ Orionis with colours $J-K_{\rm s} >$1.15 maga.

Table A.1:   X-ray parameters of faint HRI/ ROSAT sources in $\sigma $ Orionis not listed by Caballero et al. (2009)a.

Table A.2:   Optical/near-infrared counterparts of EPIC/ XMM-Newton sources in Franciosini et al. (2006) not listed in Tables 4 or C.1.

Table C.1:   HRC-I/ Chandra X-ray detections with significance over 5.1.

Table C.2:   Optical/near-infrared counterparts of X-ray sources in Table C.1.

Table C.3:   A reappraisal to the X-ray sources near $\sigma $ Ori in Wolk (1996).

All Figures

  \begin{figure}
\par\includegraphics[width=9cm,clip]{AA14861f01a.ps}\includegraphics[width=9cm,clip]{AA14861f01b.ps}
\end{figure} Figure 1:

HRC-I/ Chandra images centred on $\sigma $ Ori AB. Approximate sizes are $30\times 30$ arcmin2 ( left; note the borders of the field of view in the corners) and $4\times 4$ arcmin2 ( right; see also Fig. 4 in Caballero 2007b). North is up, east is left.

Open with DEXTER
In the text

  \begin{figure}
\par\includegraphics[width=8cm,clip]{AA14861f02.eps}
\end{figure} Figure 2:

Relative cumulative number of the HRC-I/ Chandra X-ray sources as a function of apparent flux. The vertical [red] dashed line at $0.4\times 10^{-17}$ W m-2 indicates the approximate completeness flux of our survey.

Open with DEXTER
In the text

  \begin{figure}
\par\includegraphics[width=8cm,clip]{AA14861f03.eps}
\end{figure} Figure 3:

Separation between the 90 correlated HRC-I sources and their 2MASS counterparts as a function of separation to the cluster centre ($\rho $ vs. r diagram). The horizontal (red) dashed line marks $\rho = 0$ arcsec (all the data points are located above this line).

Open with DEXTER
In the text

  \begin{figure}
\par\includegraphics[width=8cm,clip]{AA14861f04a.eps}\par\includegraphics[width=8cm,clip]{AA14861f04b.eps}
\end{figure} Figure 4:

Colour-magnitude and colour-colour diagrams. The different symbols represent: cluster star and brown dwarf members and candidates (red filled stars), field stars (blue crosses), and galaxies (blue pluses). In the i vs. $i-K_{\rm s}$ diagram at the top, the dotted (blue) lines are the approximate completeness and detection limits of the combined DENIS-2MASS cross-correlation. The solid (black) line is the criterion for selecting cluster stars and brown dwarfs without known features of youth in $\sigma $ Orionis used by Caballero (2008c). The dashed (black) line is the criterion shifted bluewards by 0.25 mag. The reddest sources in the $J-K_{\rm s}$ vs. i-J diagram in the bottom, with colours $J-K_{\rm s} > 1.5$ mag, are the galaxies UCM0536-0239 and 2E 1456 and the T Tauri star Mayrit 609206 (V505 Ori).

Open with DEXTER
In the text

  \begin{figure}
\par\includegraphics[width=8cm,clip]{AA14861f05.ps}
\end{figure} Figure 5:

A median HRC-I background light curve, showing a high, decreasing, background level during the beginning of the observation.

Open with DEXTER
In the text

  \begin{figure}
\par\includegraphics[width=8cm,clip]{AA14861f06a.eps}\par\includegraphics[width=8cm,clip]{AA14861f06b.eps}
\end{figure} Figure 6:

Top: $\chi ^2$ as a function of the mean count rate ($\chi ^2_j$ vs. $\overline {CR_j}$ diagram) for 103 of the 105 X-ray simulated series. Bottom: same as top window, but for the 107 X-ray real series. X-ray sources above the dashed line have probabilities higher than 99.5% of being actual variables. Light curves with mean count rates lower than 5 ks-1 were not used in the statistical analysis. Compare this figure with Fig. 6 in Caballero et al. (2009).

Open with DEXTER
In the text

  \begin{figure}
\par\mbox{\includegraphics[width=0.32\textwidth]{AA14861f07a.ps}\...
...1f07h.ps}\includegraphics[width=0.32\textwidth]{AA14861f07i.ps} }
\end{figure} Figure 7:

HRC-I/ Chandra light curves of the nine X-ray variable stars in Table 3. The grey areas between 1 and 5 ks indicate portions of all the light curves affected by high background.

Open with DEXTER
In the text

  \begin{figure}
\par\mbox{\includegraphics[width=6cm,clip]{AA14861f08a.ps}\includ...
...\includegraphics[width=6cm,clip]{AA14861f08c.ps} }
\vspace*{1.2mm}
\end{figure} Figure 8:

Same as Fig. 7, but for three brightest X-ray stars: Mayrit AB ($\sigma $ Ori AB, No. 1), Mayrit 114305 AB ([W96] 4771-1147 AB, No. 2), and Mayrit 42062 AB ($\sigma $ Ori E, No. 3).

Open with DEXTER
In the text

  \begin{figure}
\par\mbox{\includegraphics[width=8cm,clip]{AA14861f09a.eps}\inclu...
...14861f09c.eps}\includegraphics[width=8cm,clip]{AA14861f09d.eps} }
\end{figure} Figure 9:

Count rates of IPC/ Einstein (top left), HRI/ ROSAT (top right), ACIS-S+HETG/ Chandra (bottom left), and EPIC/ XMM-Newton (bottom right) as a function of count rates of HRC-I/ Chandra. The dashed lines indicate IPC-, HRI-, ACIS-S+HETG-, and EPIC-HRC-I count-rate ratios of 4.00, 0.40, and 0.04, 4.50, 0.45, and 0.045, 2.50, 0.25, and 0.025, and 15.0, 1.50, and 0.15 from top to bottom, respectively. The OB-type binary star $\sigma $ Ori AB has not been used as a reference in the ACIS-S+HETG-HRC-I comparison.

Open with DEXTER
In the text

  \begin{figure}
\par\includegraphics[width=8cm,clip]{AA14861f10a.eps}\par\includegraphics[width=8cm,clip]{AA14861f10b.eps}
\end{figure} Figure 10:

Top panel: same as Fig. 2, but only for young stars, young star candidates, and possible young stars in $\sigma $ Orionis (as classified in Table C.1). The dotted line indicates the relative cumulative number of Franciosini et al. (2006) EPIC X-ray sources as a function of apparent flux. Except for a $4 \pi d^2$ factor, the two curves delineate the cumulative X-ray luminosity function of the cluster. Bottom panel: same as the top panel, but in an histogram.

Open with DEXTER
In the text

  \begin{figure}
\par\includegraphics[width=8cm,clip]{AA14861f11a.eps}\par\includegraphics[width=8cm,clip]{AA14861f11b.eps}
\end{figure} Figure 11:

X-ray flux (top) and X-ray-to-J-band lumninosity ratio (bottom) as a function of the i-J colour. Error bars account for the uncertainty in count rate and offaxis separation.

Open with DEXTER
In the text

  \begin{figure}
\par\includegraphics[width=8cm,clip]{AA14861f12a.eps}\par\include...
...4861f12b.eps}\par\includegraphics[width=8cm,clip]{AA14861f12c.eps}
\end{figure} Figure 12:

Top panel: spatial location diagram. The different symbols represent cluster star and brown dwarf members and candidates (red filled stars), field stars (blue crosses), galaxies with optical/near-infrared counterpart (blue pluses), and galaxies without counterpart (blue open circles). Size is $40 \times 40$ arcmin2, with centre on $\sigma $ Ori AB. Middle panel: count rate of $\sigma $ Orionis stars as a function of the angular separation to the cluster centre. The dashed line sketches the approximate lower limit for detection of the HRC-I/ Chandra observations. Bottom panel: relative cumulative number of X-ray $\sigma $ Orionis star and brown dwarf members and candidates as a function of angular separation to the cluster centre, $\rho $. The dashed line indicates the expected values if the X-ray stars followed a volume-density law proportional to $\rho ^{-2}$.

Open with DEXTER
In the text


Copyright ESO 2010

Current usage metrics show cumulative count of Article Views (full-text article views including HTML views, PDF and ePub downloads, according to the available data) and Abstracts Views on Vision4Press platform.

Data correspond to usage on the plateform after 2015. The current usage metrics is available 48-96 hours after online publication and is updated daily on week days.

Initial download of the metrics may take a while.