| Issue |
A&A
Volume 521, October 2010
|
|
|---|---|---|
| Article Number | A44 | |
| Number of page(s) | 8 | |
| Section | Stellar structure and evolution | |
| DOI | https://doi.org/10.1051/0004-6361/201014979 | |
| Published online | 19 October 2010 | |
Effect of episodic accretion on the structure and the lithium depletion of low-mass stars and planet-hosting stars
I. Baraffe1,2 - G. Chabrier2,1
1 - School of Physics, University of Exeter Stocker, Road, Exeter, EX4 4QL, UK
2 -
École Normale Supérieure, Lyon, CRAL (UMR CNRS 5574), Université de Lyon, France
Received 11 May 2010 / Accepted 15 July 2010
Abstract
Following up our recent analysis devoted to the impact of non
steady accretion on the location of young low-mass stars or brown
dwarfs in the Herzsprung-Russell diagram, we perform a detailed
analysis devoted to the effect of burst accretion on the internal
structure of low-mass and solar type stars. We find that episodic
accretion can produce objects with significantly higher central
temperatures than the ones
of the non accreting counterparts of same mass and age. As a
consequence, lithium depletion can be severely enhanced in these
objects.
This provides a natural explanation for the unexpected level of lithium
depletion observed in young objects for the inferred age of their
parent cluster. These results confirm the limited reliability of
lithium abundance as a criterion for assessing or rejecting cluster
membership. They also show that lithium is not a reliable age
indicator, because its fate strongly depends on the past accretion
history of the star. Under the assumption that giant planets primarily
form in massive disks prone to gravitational instability and thus to
accretion burst episodes, the same analysis also explains the higher Li
depletion observed in planet hosting stars. At last, we show that,
depending on the burst rate and intensity, accretion outbursts can
produce solar mass stars with lower convective envelope masses, at ages
less than a few tens of Myr, than predicted by standard (non or slowly
accreting) pre-main sequence models. This result has interesting,
although speculative, implications for the recently discovered
depletion of refractory elements in the Sun.
Key words: stars: formation - stars: low-mass - stars: abundances - accretion, accretion disks
1 Introduction
There is a growing consensus in the star formation community that non
steady (episodic) accretion plays a dominant role during the formation
of low-mass stars (see e.g. Enoch et al. 2009; Vorobyov 2009; Zhu et al. 2010a, and references therein). In a recent paper (Baraffe et al. 2009,
hereafter BCG09), we have suggested that episodic accretion provides a
viable explanation for the observed luminosity spread in young cluster
Herzsprung-Russell diagrams (HRD). The present follow-up analysis
explores in more details the effects of episodic accretion on the
internal structure of young low mass stars (![]()
),
commonly used to derive ages of star forming regions and young
clusters. We show that, depending on the accretion history, the
internal structure of these objects can be strongly affected for up to
a few tens of Myr (Sect. 2).
Lithium depletion and, for the partly convective stars, the size of
the convective envelope, in particular can strongly differ from the
standard (non accreting) pre-main sequence model predictions
(Sect. 3).
In Sect. 4,
we examine the impact of episodic accretion on the observational
signatures and show that taking this process into account in the young
low-mass object evolution provides a consistent explanation for the
puzzling observations of strong lithium depletion in
several low-mass stars (LMS) belonging to young clusters (e.g. Kenyon
et al. 2005; Sacco et al. 2007) and in planet-hosting stars (Israelian et al. 2009), as well as to the recently determined peculiar abundances of refractory elements
in the Sun (Melendez et al. 2009; Ramirez et al. 2009).
2 Effect of mass accretion on the internal structure
2.1 Evolutionary models with accretion
We adopt the same input physics and the same treatment of accretion as outlined in BCG09.
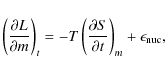
In standard stellar evolution calculations, energy conservation
equation for a non accreting object reads as
|
(1) |
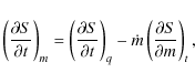
where m is the mass enclosed in a sphere of radius r within the object, S the specific entropy and
|
(2) |
with
|
(3) |
In the present calculations, we assume instantaneous and uniform redistribution of the extra source of internal energy brought by the accreted material. In reality, mass and heat redistributions inside the accreting object depend on the thermal properties of the accreting material. Proto low-mass stars below about 2
Omitting the fraction
of
the accretion shock energy radiated away (see Eqs. (1) and (2) of BCG09 for the definition of
and
), which does not affect
the accreting object's structure and evolution, the intrinsic luminosity of the protostar or brown dwarf is given by
As mentioned above, we assume in the present calculations that the accreted matter reaches the stellar surface with a lower specific entropy than the object's internal one, which implies
2.2 Effect of episodic accretion on the internal structure
As in BCG09, our accretion histories are based on the calculations of Vorobyov & Basu (2005), obtained from gravitational instability in the accreting centrifugally supported disk.
Starting from arbitrary initial masses
,
we vary the number of bursts
,
with accretion rate
and duration
,
separated by quiescent phases of duration
and accretion rate
.
We explored a wide range of parameters, inferred from the results of Vorobyov & Basu (2005), with the aim of obtaining final LMSs within the mass range 0.1-1
,
in
order to focus on the typical population used to derive the ages of
star-forming regions and young clusters. Brown dwarf cases have been
shown in BCG09.
Our initial masses
range from 1
to 0.2
.
The typical burst number,
accretion rates, and duration lie in the ranges
,
,
and
yr, respectively, while quiescent phases last between
and 104 yr with accretion rates
.
As mentioned in BCG09, accretion rates during the quiescent phase below
this
value have no significant impact on the final internal structure of the
accreting object. For the sake of simplicity, we have thus adopted
in the present analysis, however, this accretion luminosity must be
taken into account when comparing the final luminosity with
observations of proto-objects during the embedded phase. The next two
sections illustrate the typical results for two examples at each end of
the presently studied mass range.
2.2.1 Sequences leading to the formation of a 0.1
star
Various evolutionary sequences of episodic accretion, with different initial masses, leading to a final 0.1
LMS are portrayed in Fig. 1.
As mentioned in BCG09, high accretion rates yield significantly more
compact structures, i.e., smaller radii compared to those of non
accreting objects of same mass and age. This contraction comes from the
increase in gravitational energy as mass is added, yielding higher
central pressures and temperatures compared with the non accreting
case. If the accretion timescale,
,
is higher than the Kelvin-Helmholtz timescale,
,
the object can relax to the radius
it would have in the absence of accretion. In contrast, if
,
which
is the case for
,
the structure has no time to
adjust to the incoming mass and energy, and the radius remains smaller than the non accreting
counterpart of same mass and age, as illustrated in Fig. 1. The more compact structure
of the accreting object yields higher central temperature compared to the non accreting counterpart.
Figure 1 highlights the main effects of episodic accretion on proto low-mass objects, which can be summarized as follows.
- For a given initial mass
,
the higher
during the burst phases, the smaller the radius of the object at the
end of the accretion phase, hence the higher its central temperature.
This can be seen by comparing the long-dashed blue curve (
,
)
and the dash-dotted magenta curve (
,
).
- For a given burst accretion rate
,
the lower the initial mass
,
the greater the impact on the internal structure, i.e., the smaller the
radius and the higher the central temperature at the end of the
accretion history. This is illustrated by the comparison between the
dash-dotted magenta curve (
,
)
with the dotted red curve (
,
).
|
Figure 1:
Evolution of the radius ( upper panel) and of the central temperature ( lower panel) as a function of time (in yr) for models with episodic accretion and reaching a final mass of 0.1 |
| Open with DEXTER | |
Finally, Fig. 1 clearly illustrates, for the sequences starting with 1
,
the strong differences in radius and central temperature after a few Myr, up to 30 Myr, between a 0.1
star
produced by episodic accretion with
and the non accreting counterpart. We also stress that, for initial masses
and burst accretion rates
,
accretion history hardly affects the internal structure and location in the HRD after
1 Myr, producing objects of 0.1
with properties similar to those predicted by standard (non accreting) pre-main sequence models at ages
1 Myr.
2.2.2 Sequences leading to the formation of a 1
star
Figure 2 displays the same analysis
for episodic accretion sequences producing 1
objects. The figure portrays the
results with
,
which yields the strongest and most interesting
effects on the structure and on lithium depletion (see Sect. 3). As found previously,
the lower the initial mass, the greater the effect on the structure for a given accretion rate. For initial
masses
and such high burst accretion rates, the figure illustrates the strong
departure in radius and central temperature of these models from the
non accreting sequence up to 20-30 Myr. For higher initial masses
and
,
the accretion history
is found not to significantly alter the properties of the newly formed 1
star, producing an object
with a position in the HRD and internal structure similar to the predictions of
a non accreting evolutionary sequence at ages
1 Myr.
|
Figure 2:
Same as Fig. 1 for models reaching a final mass 1 |
| Open with DEXTER | |
3 Effect on the size of the convective envelope and on lithium depletion
3.1 The case of fully convective stars
The significantly higher central temperatures induced by episodic
accretion affect the timescale of lithium depletion, leading to faster
lithium depletion compared with a non accreting object of the same age,
as illustrated in Fig. 3 for sequences producing 0.1
stars. Initial
protostars experiencing burst accretion rates
produce a 0.1
object that entirely depletes its lithium
content within about 10 Myr, whereas for the non accreting
counterpart, complete lithium depletion takes more
than 50 Myr. As clearly illustrated in
Fig. 3, depending on
the initial mass and the burst accretion rate, different episodic acccretion histories can
produce objects with the same mass, say 0.1
,
at a same age, say
50 Myr, exhibiting different levels of lithium depletion.
Similar effects are found for episodic accretion sequences producing
final objects within the entire characteristic domain of fully
convective stars,
.
|
Figure 3:
Evolution of the lithium abundance (divided by the initial
Li abundance) as a function of time for the same models producing
a 0.1 |
| Open with DEXTER | |
3.2 The case of stars that develop a radiative core
If the central temperature exceeds
K, a radiative core develops,
because of the opacitiy decrease after the last ``
-bump'' due to metals (C, O, Ne and Fe, see Rogers & Iglesias 1992), as explained in Chabrier & Baraffe (1997,
see their Sect. 3.2 and their Fig. 9). The exact temperature
at which this occurs depends on the density, given the sensitivity of
the opacities to density in this
temperature range (see Fig. 2a of Rogers & Iglesias 1992).
The higher the density, the higher the temperature required for the
radiative core to develop. Since this range of temperatures is also
characteristic of the temperature required for Li nuclear fusion, the
central temperature and density at which the radiative core develops
will determine the temperature at the bottom of
the convective envelope and thus the level of
Li depletion in the convective envelope. For sequences producing
1
stars, Fig. 4
shows that accretion history has a strong impact on (i) the age
for the onset of a radiative core; (ii) the mass of the convective
envelope
at ages
30 Myr;
and (iii) the Li abundance in the convective envelope. The
higher central temperature reached by sequences with strong burst
accretion rates (see Fig. 2)
results in
a radiative core that develops earlier in time. For the sequence starting from
,
its more compact structure yields significantly higher temperatures at the bottom of the convective envelope, with a maximum of
K, resulting in complete Li depletion in
the convective envelope at ages <1 Myr. In comparison, for the accreting sequence starting with
,
the maximum temperature reached at the bottom of the convective envelope is
K, which is comparable to the value found in the non accreting sequence (see Fig. 4).
These differences in temperature are crucial for Li depletion, yielding
very different final lithium abundances in the convective envelope, as
illustrated in Fig. 4.
The main results of this section can be summarized as follows.
Depending on the initial seed mass and the burst rates, different
episodic accretion histories can produce
1
star models with different sizes of the convective envelope at the same age, for ages
30 Myr.
The models can have different surface Li abundances even after the models have converged
toward the same structure, i.e. after
30 Myr in the particular case portrayed in Fig. 4.
Similar effects are found for models with episodic accretion producing partly convective objects in the mass range 0.35-1
.
|
Figure 4:
Evolution of the mass of the radiative core divided by the total mass (upper panel) and of the surface lithium abundance divided by the initial Li abundance (lower panel) as a function of time for models
producing a 1 |
| Open with DEXTER | |
4 Discussion
4.1 Summary of the results
We have shown in the present work that an early protostar/BD accretion history based on
episodes of short, intense bursts of accretion with typical accretion rates
,
as obtained in 2D hydrodynamical simulations of gravitationally unstable accretion disks (Vorobyov & Basu 2005),
can affect the internal structure of low-mass objects even after
several Myr, up to a few times 10 Myr. The main results obtained
in the present analysis can be summarized as follows.
- (i)
- Episodic accretion produces objects with smaller radius and higher central temperature compared to the non accreting counterpart with the same mass at the same age.
- (ii)
- Higher central temperatures at a given age and mass can significantly enhance lithium depletion in fully convective low-mass stars.
- (iii)
- As a consequence of the hotter structure, a radiative core develops earlier in accreting objects with final masses
.
Episodic accretion can thus lead to final objects with smaller
convective envelopes than predicted by standard non accreting models,
at ages up to a few times 10 Myr. - (iv)
- The more compact and hotter structure of accreting models with
increases the maximum temperature reached at the bottom of the convective envelope, compared to
the non accreting counterpart, increasing the level of lithium depletion in the convective envelope.
4.2 Comparison to observations: anomalous lithium depletion in young clusters
Several observational studies report discrepancies between ages
inferred from evolutionary isochrones, on one hand, and from lithium
depletion, on the other hand, for M to G type stars of various ages
(e.g. Yee & Jensen 2010). Observations also show lithium scatter in clusters and associations (e.g. da Silva et al. 2009; King et al. 2010) and
young cluster members exhibiting severe, unexpected Li depletion for the inferred age of the cluster (e.g. Kenyon et al. 2005; Sacco et al. 2007). The present calculations provide a consistent solution to
these puzzles, in particular providing an explanation
for the anomalous lithium depletion observed in some members of clusters that are a few Myr old (Kenyon et al. 2005; Sacco et al. 2007, 2008; da Silva et al. 2009).
The explanation suggested for these ``interlopers'', found for instance in
Ori,
Ori,
and the ONC, is to invoke a significant age spread within these
clusters. However, at least in some cases (see below), the required age
spread is significant, up to 10-20 Myr, a rather unlikely
possibility in such young clusters. The present calculations, based on
early evolution sequences involving accretion outbursts, provide a more
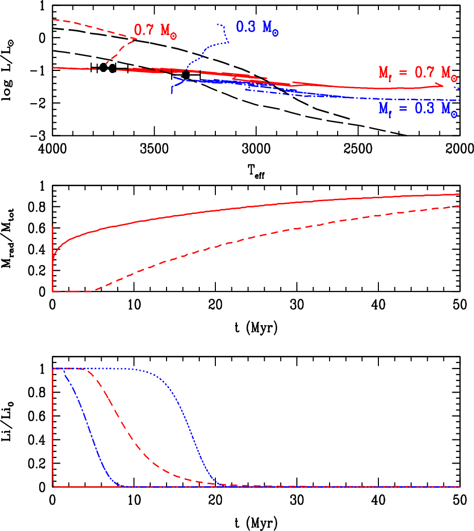
plausible explanation, as illustrated in Fig. 5 for the three weird objects
discovered by Sacco et al. (2007) in
Orionis.
These objects show severe Li depletion, inconsistent with the age of
the cluster (about 5 Myr), but have radial velocities
consistent with cluster membership. They are displayed in the upper
panel of Fig. 5. Evolutionary
sequences undergoing burst accretion with rates
and reaching final masses 0.3
and 0.7
,
respectively, reach the observed locations in the HRD at an age of
5 Myr,
consistent with the age of
-Ori,
whereas
the same locations correspond to 10-15 Myr for the non accreting
sequences of same mass, as shown in the figure. For the accreting
sequence producing a 0.7
object, the middle panel of Fig. 5
shows that a radiative core develops much earlier compared to the
corresponding non accreting sequence. The lower panel illustrates the
much faster Li depletion for the accreting sequences, as discussed in
Sect. 3, with complete destruction occurring within less than 1 Myr for the sequence producing a 0.7
object. The possibility
for the accretion burst models to explain consistently both the position in the HRD
and the observed severe lithium depletion for these objects at the cluster age
without particular fine tuning of the accretion parameters provides a
strong support for this scenario. Although the high level of Li
depletion in the three objects of
Sacco et al. (2007) has recently been questioned by Caballero (2010),
similar anomalous Li-depletions have been reported in other clusters by
other groups (see references above), which can also be explained by
episodic accretion. Our results thus reinforce the word of caution of
da Silva et al. (2010) regarding the elimination of stars as
cluster members based only on Li abundances. The present analysis
demonstrates that lithium is not a reliable age indicator, as its fate
strongly depends on the past accretion history experienced by the star!
The same episodic accretion calculations can explain the unexpected degree of lithium depletion of stars with mass >0.5
in the young cluster IC 4665 (Jeffries et al. 2009), or the spread in Li abundance in cool dwarfs of about a solar mass reported
in the Pleiades (King et al. 2010), although other scenarios, based either on the star rotational history (Bouvier 2008) or stellar activity (King et al. 2010), have been suggested.
|
Figure 5:
Comparison of accreting models with observations of Sacco et al. (2007). Upper panel: HR diagram. The two long-dashed (black) curves are the 1 Myr and 10 Myr isochrones of Baraffe et al. (1998)
for non accreting models. The black points are the objects of Sacco et al. (2007). Middle panel: radiative core mass versus time for models producing a 0.7 |
| Open with DEXTER | |
4.3 Abundances in planet host stars
Another interesting implication of our calculations and the inferred link between episodic accretion, lithium depletion, and the size of the convective envelope in young stars is the connection with the presence of close-in giant planets. Zhu et al. (2010b) suggest that the presence of mass clumps in some specific regions of circumstellar disks, which may lead eventually to non steady accretion when the disk becomes unstable (Vorobyov & Basu 2005), could play an important role in the process of planet formation. Following up along these lines, we can speculate that the presence of giant planets, which require massive protoplanetary disks, more prone to gravitational instability, could be linked to the intensity of episodic accretion outburts. If this suggestion happens to be true, the present calculations provide an explanation for the claimed higher lithium depletion in planet host stars (Israelian et al. 2009; Sousa et al. 2010): since these planet host stars will have undergone more intense accretion bursts, they will experience more intense Li depletion than similar planetless stars whose presumably less massive disks are less prone to violent accretion-burst episodes.
Furthermore, as shown in this paper, episodic accretion can produce
objects whith smaller convective envelopes than the ones obtained with
standard non accreting models at ages
10 Myr (see Figs. 4 and 5),
the characteristic maximum lifetime of protoplanetary disks.
Consequently, we can expect the signature of (both terrestrial and
gaseous) planet formation to leave a greater imprint on stars that have
undergone phases of intense accretion bursts. Although speculative,
this suggestion provides a consistent explanation for the recently
claimed peculiar chemical abundance of the Sun, with about 20%
depletion of refractory elements relative to volatile elements,
compared with solar-type analogs harboring close-in giant planets
(Melendez et al. 2009; Ramirez et al. 2009). According to these authors, this chemical peculiarity seems to be common among Sun-like stars with no detected giant planets and is said to reflect the signature of the formation of terrestrial
planets, which trap the refractories, whereas the dust-depleted gas is accreted by the central star
(Ramirez et al. 2009; Melendez et al. 2009).
For such a suggestion to be viable, and the signature of terrestrial
planet formation to be imprinted in the Sun photospheric composition,
the Sun's convective envelope, of mass
,
must have been much smaller during the lifetime of the accretion disk, i.e. during the first
10 Myr, than predicted by standard pre-main sequence models.
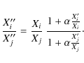
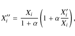
Indeed, let X'i and Xi be the mass fractions of element i in the accreting material and in the originally unpolluted star convective envelope, respectively. The new abundance X''i of such element in the convective envelope becomes
|
(5) |
where
|
(6) |
In the presence of terrestrial planets, we expect X'i < Xi and X'j > Xj, since most refractories remain trapped in the planet, and thus
The larger
To obtain such a result,
the aforementioned authors refer to the results of Wuchterl & Klessen (2001), who explored the formation and early evolution of a 1
star, and found that the early Sun
was never fully convective. These calculations, however, are incorrect. First of all, as discussed in Baraffe et al. (2003),
the calculations of
Wuchterl & Klessen (2001) yield an evolutionary track for a 1
star that is much too hot,
by
700-800 K in
at a given L,
compared to observed young binary systems with (dynamically determined)
masses around a solar mass. Second of all, the unrealistic assumption
of spherical accretion in the Wuchterl & Klessen calculations leads
to significantly hotter inner structures, which will favor the growth
of a radiative core, compared with more realistic 3D rotational
collapse calculations (Chabrier et al. 2007, Fig. 3). This assumption is thus certainly responsible for the above-mentioned large
overestimate of the effective temperature at young ages.
On the other hand, the effect of
episodic accretion on the mass of the convective envelope illustrated in Fig. 4
provides a more plausible explanation for this problem, and suggests
that the early Sun could have undergone a phase of strong accreting
bursts.
Although interesting, however, this interpretation of the peculiar refractory to volatile abundance ratio in the Sun and other solar twins without detected close-in giant planets as a consequence of terrestrial planet formation is challenged by the recent analysis of Chavero et al. (2010), based on four CoRoT planet host stars. This work suggests that alteration of abundances of refractories with respect to volatiles in stellar atmospheres may simply result from condensation processes in the accretion disk and from accretion of such altered gas onto the star. Independent of the source of this peculiar abundance pattern, the signature of such condensation/accretion processes will still leave a greater imprint if the star convective envelope is considerably smaller than usually expected for solar type stars at ages <10 Myr. Also, the analysis of Chavero et al. (2010) reveals no obvious correlation between abundances and condensation temperatures in the CoRoT stars, indicating no sign of overabundance of volatiles relative to refractories in stars harboring close-in giant planets compared to the Sun, contradicting the observations of Melendez et al. (2009) and Ramirez et al. (2009). The peculiar abundance ratio determinations in the Sun and solar analogs without detected giant planets must thus be confirmed by further studies.
In conclusion, anomalous abundance ratios of refractories to volatiles in stars may not necessarily reflect the signature of terrestrial planet formation but may also result from condensation processes in the disk. A detectable signature of these abundance anomalies, however, requires a smaller convective envelope during typical disk lifetimes than predicted by standard models. Strong accretion outburts do produce these favorable conditions.
5 Conclusion
We have shown here that non steady accretion can strongly affect the internal mechanical (radius) and thermal (temperature) structures, hence the observational signatures (We also suggest that intense bursts of episodic accretion may have some link to planet formation, if planet formation preferentially occurs in massive disks, which are more prone to instability. We speculate that stars harboring planets, including our Sun, may have experienced burst accretion episodes during their youth, which then led to a hotter thermal structure, thus to faster lithium depletion and a smaller outer convective zone than conventionally admitted. This provides a natural explanation for the higher lithium depletion observed in stars harboring at least giant planets. This also provides a plausible, although admittedly speculative, explanation for the claimed underabundance of refractory elements in the atmosphere of stars with no detected close-in giant planets, as a result of the formation of terrestrial planets, which trap large amounts of refractory elements. In any event, the multiple consequences of episodic accretion that we characterize in the present work should stimulate deeper theoretical and observational investigations, in order to better understand the twilight zone characteristic of (proto)star early evolution.
AcknowledgementsWe are grateful to M. Asplund, J. Bouvier, L. Hartmann, A. Morbidelli for valuable discussions. I.B. and G.C. thank the Max-Planck Institute for Astrophysics of Garching, where part of this work was completed, for their warm hospitality. This work was supported by the Constellation European network MRTN-CT-2006-035890, the French ANR ``Magnetic Protostars and Planets'' (MAPP) project, and the ``Programme National de Physique Stellaire'' (PNPS) of CNRS/INSU, France. The authors visited KITP, Santa Barbara, during completion of this work, and this research was supported in part by the National Science Foundation under Grant No. PHY05-51164.
References
- Baraffe, I., Chabrier, G., Allard, F., & Hauschildt, P. H. 1998, A&A, 337, 403 [NASA ADS] [Google Scholar]
- Baraffe, I., Chabrier, G., Allard, F., & Hauschildt, P. 2003, In Brown Dwarfs, IAU Symp., 211, 41 [Google Scholar]
- Baraffe, I., Chabrier, G., & Gallardo, J. 2009, ApJ, 702, L27 (BCG09) [NASA ADS] [CrossRef] [Google Scholar]
- Bouvier, J. 2008, A&A, 489, L53 [NASA ADS] [CrossRef] [EDP Sciences] [Google Scholar]
- Caballero, J. 2010, A&A, 514, A18 [NASA ADS] [CrossRef] [EDP Sciences] [Google Scholar]
- Chabrier, G., & Baraffe, I. 1997, A&A, 327, 1039 [NASA ADS] [Google Scholar]
- Chabrier, G., Baraffe, I., Selsis, F., et al. 2007, Protostars and Planets V, ed. B. Reipurth, D. Jewitt, & K. Keil, 623 [Google Scholar]
- Chavero, C., de la Reza, R., Domingos, R. C., et al. 2010, A&A, 517, A40 [NASA ADS] [CrossRef] [EDP Sciences] [Google Scholar]
- da Silva, L., Torres, C., de la Reza, R., et al. 2009, A&A, 508, 833 [NASA ADS] [CrossRef] [EDP Sciences] [Google Scholar]
- Enoch, M. L., Evans, N. J., Sargent, A. I., & Glenn, J. 2009, ApJ, 692, 973 [NASA ADS] [CrossRef] [Google Scholar]
- Gallardo, J. 2007, Ph.D. Thesis, Ecole Normale Supérieure de Lyon [Google Scholar]
- Gallardo, J., Baraffe, I., & Chabrier, G. 2009, Cool Stars 15, AIP Conf. Proc., 1094, 321 [NASA ADS] [CrossRef] [Google Scholar]
- Hartmann, L., Cassen, P., & Kenyon, S. J. 1997, ApJ, 475, 770 [NASA ADS] [CrossRef] [Google Scholar]
- Israelian, G., Delgado, Mena, E., Santos, N., et al. 2009, Nature, 462, 189 [NASA ADS] [CrossRef] [PubMed] [Google Scholar]
- Jeffries, R., Jackson, R., James, D., & Cargile, P. 2009, MNRAS, 400, 317 [NASA ADS] [CrossRef] [Google Scholar]
- King, J., Schuler, S., Hobbs, L., & Pinsonneault, M. 2010, ApJ, 710, 1610 [NASA ADS] [CrossRef] [Google Scholar]
- Kenyon, M. J., Jeffries, R. D., Naylor, T., et al. 2005, MNRAS, 356, 89 [NASA ADS] [CrossRef] [Google Scholar]
- Melendez, J., Asplund, M., Gustafsson, B., & Yong, D. 2009, ApJ, 704, L66 [NASA ADS] [CrossRef] [Google Scholar]
- Ramirez, I., Melendez, J., & Asplund, M. 2009, A&A, 508, L17 [NASA ADS] [CrossRef] [EDP Sciences] [Google Scholar]
- Rogers, F., & Iglesias, C. 1992, ApJS, 79, 507 [NASA ADS] [CrossRef] [Google Scholar]
- Sacco, G., Randich, S., Franciosini, E., et al. 2007, A&A, 462, L23 [NASA ADS] [CrossRef] [EDP Sciences] [Google Scholar]
- Sacco, G., Franciosini, E., Randich, S., & Pallavicini, R. 2008, A&A, 488, 167 [NASA ADS] [CrossRef] [EDP Sciences] [Google Scholar]
- Siess, L., & Forestini, M. 1996, A&A, 308, 472 [NASA ADS] [Google Scholar]
- Siess, L., Forestini, M., & Bertout, C. 1997, A&A, 326, 1001 [NASA ADS] [Google Scholar]
- Sousa, S., Fernandes, J., Israelian, G., & Santos, N. 2010, A&A, 512, L5 [NASA ADS] [CrossRef] [EDP Sciences] [Google Scholar]
- Stahler, S. W. 1988, ApJ, 332, 804 [NASA ADS] [CrossRef] [Google Scholar]
- Stahler, S. W., & Palla, F. 2005, The Formation of Stars (Wiley-VCH) [Google Scholar]
- Sugimoto, D., & Nomoto, K. 1975, PASJ, 27, 197 [NASA ADS] [Google Scholar]
- Vorobyov, E. I. 2009, ApJ, 704, 715 [NASA ADS] [CrossRef] [Google Scholar]
- Vorobyov, E. I., & Basu S. 2005, ApJ, 633, L137 [NASA ADS] [CrossRef] [Google Scholar]
- Wuchterl, G., & Klessen, R. S. 2001, ApJ, 560, L185 [NASA ADS] [CrossRef] [Google Scholar]
- Yee, J. C., & Jensen, E. 2010, ApJ, 711, 303 [NASA ADS] [CrossRef] [Google Scholar]
- Zhu, Z., Hartmann, L., Gammie, C., et al. 2010a, ApJ, 713, 1134 [NASA ADS] [CrossRef] [Google Scholar]
- Zhu, Z., Hartmann, L., Gammie, C., et al. 2010b, ApJ, 713, 1143 [NASA ADS] [CrossRef] [Google Scholar]
Footnotes
- ...

- The nuclear energy generation produced by lithium fusion is completely negligible.
All Figures
|
Figure 1:
Evolution of the radius ( upper panel) and of the central temperature ( lower panel) as a function of time (in yr) for models with episodic accretion and reaching a final mass of 0.1 |
| Open with DEXTER | |
| In the text | |
|
Figure 2:
Same as Fig. 1 for models reaching a final mass 1 |
| Open with DEXTER | |
| In the text | |
|
Figure 3:
Evolution of the lithium abundance (divided by the initial
Li abundance) as a function of time for the same models producing
a 0.1 |
| Open with DEXTER | |
| In the text | |
|
Figure 4:
Evolution of the mass of the radiative core divided by the total mass (upper panel) and of the surface lithium abundance divided by the initial Li abundance (lower panel) as a function of time for models
producing a 1 |
| Open with DEXTER | |
| In the text | |
|
Figure 5:
Comparison of accreting models with observations of Sacco et al. (2007). Upper panel: HR diagram. The two long-dashed (black) curves are the 1 Myr and 10 Myr isochrones of Baraffe et al. (1998)
for non accreting models. The black points are the objects of Sacco et al. (2007). Middle panel: radiative core mass versus time for models producing a 0.7 |
| Open with DEXTER | |
| In the text | |
Copyright ESO 2010
Current usage metrics show cumulative count of Article Views (full-text article views including HTML views, PDF and ePub downloads, according to the available data) and Abstracts Views on Vision4Press platform.
Data correspond to usage on the plateform after 2015. The current usage metrics is available 48-96 hours after online publication and is updated daily on week days.
Initial download of the metrics may take a while.




