| Issue |
A&A
Volume 521, October 2010
|
|
|---|---|---|
| Article Number | L51 | |
| Number of page(s) | 5 | |
| Section | Letters | |
| DOI | https://doi.org/10.1051/0004-6361/201015042 | |
| Published online | 01 October 2010 | |
Polarisation observations of VY Canis Majoris H2O 532-441 620.701 GHz maser emission with HIFI
,![[*]](/icons/foot_motif.png)
M. Harwit1 - M. Houde2 - P. Sonnentrucker3 - A. C. A. Boogert4 - J. Cernicharo5 - E. de Beck6 - L. Decin6,16 - C. Henkel7 - R. D. Higgins8 - W. Jellema9 -
A. Kraus7 - C. M
Coey10,2 -
G. J. Melnick11 - K. M. Menten7 - C. Risacher9 - D. Teyssier12 - J. E. Vaillancourt13 -
J. Alcolea14 - V. Bujarrabal15 - C. Dominik16,17 - K. Justtanont18 - A. de Koter16,19 -
A. P. Marston12 - H. Olofsson18,20 - P. Planesas15,21 - M. Schmidt22 - F. L. Schöier18 -
R. Szczerba22 - L. B. F. M. Waters6,16
1 - Cornell University, Center for Radiophysics & Space Research,
511 H street, SW, Washington, DC 20024-2725, USA
2 -
University of Western Ontario, Department of Physics and Astronomy,
London, Ontario, N6A 3K7, Canada
3 - Johns Hopkins University, Department
of Physics and Astronomy, Baltimore, MD 21218, USA
4 - IPAC, Caltech, Pasadena, CA 91925, USA
5 - Consejo Superior de Investigaciones Cientificas, 28006 Madrid, Spain
6 - Katolieke
Universiteit Leuven, Institut voor Sterrenkunde, Heverlee 3001, Belgium
7 -
Max-Planck-Institut für Radioastronomie, Auf dem Hügel 69, 53121 Bonn,
Germany
8 - National University of Ireland, Maynooth, Department
of Experimental Physics, County Kildare, Ireland
9 - Space Research
Organization of the Netherlands (SRON), 9700 AV Groningen, The Netherlands
10 -
University of Waterloo, Department of Physics and Astronomy, Waterloo,
Ontario, N2L 3G1, Canada
11 - Harvard-Smithsonian Center for Astrophysics
Cambridge, MA 02138, USA
12 - European Space Astronomy Centre, Urb.
Villafranca del Castillo, PO Box 50727, 28080 Madrid, Spain
13 -
SOFIA Science Center, Universities Space Research Association, NASA
Ames Research Center, Moffett Field, CA 94035-0001, USA
14 - Observatorio
Astronómico Nacional (IGN), Alfonso XII N
3, 28014 Madrid,
Spain
15 - Observatorio Astronómico Nacional (IGN), Ap 112, 28803
Alcalá de Henares, Spain
16 - Sterrenkundig Instituut Anton Pannekoek,
University of Amsterdam, Science Park 904, 1098 Amsterdam, The
Netherlands
17 - Department of Astrophysics/IMAPP, Radboud University
Nijmegen, Nijmegen, The Netherlands
18 - Onsala Space Observatory,
Dept. of Radio and Space Science, Chalmers University of Technology,
43992 Onsala, Sweden
19 - The Netherlands and Astronomical Institute,
Utrecht University, Princetonplein 5, 3584 CC Utrecht, The Netherlands
20 -
Department of Astronomy, AlbaNova University Center, Stockholm University,
10691 Stockholm, Sweden
21 - Joint ALMA Observatory, El Golf 40,
Las Condes, Santiago, Chile
22 - N. Copernicus Astronomical Center,
Rabianska 8, 87-100 Torun, Poland
Received 26 May 2010 / Accepted 3 September 2010
Abstract
Context. Water vapour maser emission from evolved
oxygen-rich stars remains poorly understood. Additional observations,
including polarisation studies and simultaneous observation of
different maser transitions may ultimately lead to greater insight.
Aims. We have aimed to elucidate the nature and structure of the
VY CMa water vapour masers in part by observationally testing a
theoretical prediction of the relative strengths of the
620.701 GHz and the 22.235 GHz maser components of ortho H2O.
Methods. In its high-resolution mode (HRS) the Herschel
Heterodyne Instrument for the Far Infrared (HIFI) offers a frequency
resolution of 0.125 MHz, corresponding to a line-of-sight velocity
of 0.06 km s-1, which we employed to obtain the
strength and linear polarisation of maser spikes in the spectrum of
VY CMa at 620.701 GHz. Simultaneous ground based observations
of the 22.235 GHz maser with the Max-Planck-Institut für
Radioastronomie 100-m telescope at Effelsberg, provided a ratio of
620.701 GHz to 22.235 GHz emission.
Results. We report the first astronomical detection to date of H2O
maser emission at 620.701 GHz. In VY CMa both the 620.701 and the
22.235 GHz polarisation are weak. At 620.701 GHz the maser
peaks are superposed on what appears to be a broad emission component,
jointly ejected from the star. We observed the 620.701 GHz
emission at two epochs 21 days apart, both to measure the
potential direction of linearly polarised maser components and to
obtain a measure of the longevity of these components. Although we do
not detect significant polarisation levels in the core of the line,
they rise up to approximately 6% in its wings.
Key words: stars: AGB and post-AGB - stars: winds, outflows - supergiants - circumstellar matter - masers - reference systems
1 Introduction
VY Canis Majoris is a highly luminous, strongly obscured, variable
supergiant with a high infrared excess. Only ![]()
of the total luminosity is observed at optical wavelengths. The star's distance has been measured to be D=1.1 kpc (Choi et al. 2008) implying a luminosity
(Menten et al. 2008).
Three thermally emitted mid-infrared water vapour emission lines seen
in spectra obtained with the short wavelength spectrometer (SWS) on ISO
indicate a mean radial velocity
of order
km s-1 and a 25 km s-1 H2O
outflow velocity (Neufeld et al. 1999), significantly lower than the
32 km s-1 velocities that Reid & Muhleman (1978) reported for
1612 MHz OH maser outflow.
The effective temperature of the central star,
T*=2800 K
(Monnier et al. 1999), combined with distance and inferred luminosity fixes the star's radius at
AU. Working at 11
m, Danchi et al. (1994)
reported a variable photospheric radius ranging from 9.5 to
11 mas, where 10 mas corresponds to a stellar radius of
10 AU.
VY CMa is a strong source of
616-523
22.235 GHz water vapour maser emission. Recent observations at the
Atacama Pathfinder EXperiment (APEX) telescope have revealed H2O maser emission also at eight submillimetre frequencies, ranging from 321 to 475 GHz (Menten et al. 2008). Although a theoretical model of Neufeld & Melnick (1991) predicted that the 22.235 GHz transition should be far more luminous than these submillimetre transitions, Menten et al. (2008) find them to be comparable in flux density, or at most a factor of
6 lower. This suggests a need for further observations that might explain the discrepancies.
One of strongest submillimetre masers predicted by Neufeld & Melnick (1991)
is due to the
532-441 620.701 GHz transition of ortho water,
whose photon luminosity was expected to be roughly 16% that of the
22.235 GHz maser. Given the multiple masers observed at 22.235 GHz
we expected the 620.701 GHz maser of VY CMa to exhibit similar multiple
peaks at photon densities ![]()
of those exhibited at 22.235 GHz.
2 HIFI observations at 620.701 GHz
The Herschel Heterodyne Instrument for the Far Infrared (HIFI) covers
seven frequency bands, ranging from 488.1 to 1901.8 GHz (de Graauw et al. 2010). The
620.701 GHz radiation of the
532-441 maser of ortho H2O
is
observed in HIFI's Band 1B, which nominally covers the range
from 562.6 to 628.4 GHz. Two channels cover each of the
frequency bands,
one sensitive to linearly polarised radiation roughly parallel to
the spacecraft horizontal (H) direction, the other roughly parallel
to the vertical direction (V). For Band 1B the H direction of
polarisation
is at an angle of 82.5
relative to the spacecraft V axis,
while the V direction of polarisation is at an angle of -7.5
to that axis. Our data were obtained in the HIFI high-resolution spectroscopy
(HRS) mode with spectral resolution 0.125 MHz, or line-of-sight velocity resolution
0.06 km s-1.
The H and V beams on HIFI are not fully coincident. In Band 1B they
are separated by ![]()
of the
full-width-half-power beam diameter; the offset between the two beams is
.
VY CMa is a spatially unresolved source at these frequencies (Decin et al. 2006). In our observations the star was positioned half-way between beam centres, i.e., displaced
relative to the centre of each beam, although a random
pointing error can slightly increase alignment uncertainty.
In order to determine the orientation on the sky of any observed linear
polarisation, a source has to be viewed at least at two different
rotation angles relative to the telescope. The Herschel Space
Observatory (Pilbratt et al. 2010),
however, cannot be rotated without producing undesirable thermal drifts.
A rotation is best achieved by observing a target at two epochs separated
by a number of weeks. The further the target lies above the ecliptic
plane, the faster is the rotation produced. In our observations, an
interval of three weeks between two sightings of VY CMa resulted in
a rotation of the telescope of
about the line of
sight to the star.
We first observed the star on March 21, 2010 in two contiguous segments, lasting 10 139 s apiece, for a total observing time of 5.633 h. The first segment began at 08:48:38.0 UT; the second was started at 11:45:00 UT, 7 min and 23 s after the first had terminated. Our second epoch of observations started at 17:02:33 UT on April 11, 2010 and again ran for 10 139 s or 2.816 h. The system temperature for these observations ranged between approximately 80 K and 100 K with respective RMS noise levels for the first and second sets of observations of 6.1 and 5.3 Jy for the H channel, and 4.3 and 4.5 Jy for the V channel at the resolution of 0.125 MHz.
3 Polarisation analysis of the 620.701 GHz maser components
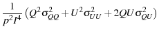
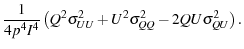
Linear polarisation measurements are often optimised to determine the Stokes Q and U parameters independently from each other (Li et al. 2008; Hezareh & Houde 2010). If we define four intensity measurementsAlthough the state of linear polarisation is completely defined with these equations, it is also commonly expressed with the polarisation fraction
With HIFI we do not generally have access to four independent measurements precisely sampled with a spacing of
These 2N intensities yield the polarisation if we first define
Introducing a vector
where the matrix A and vector
|
(8) | ||
|
(9) |
The vector s, and therefore the Stokes parameters, are easily obtained by inverting Eq. (7) using the pseudo-inverse matrix of A. We then find
The elements of the covariance matrix
where
We have applied this polarisation analysis to our observations of the 620.701 GHz
|
Figure 1:
Polarisation spectrum of the 620.701 GHz
|
| Open with DEXTER | |
Although there are no obvious strong polarisation signals from the
maser emission peaks, we clearly detect polarisation levels ranging
from
to
in regions of significant line
intensity (i.e., from approximately -5 to 45 km s-1). Furthermore,
the observed anti-correlation of the polarisation fraction with the
Stokes I intensity is similar to previous ground-based polarisation
observations (Girart et al. 2004; Hezareh & Houde 2010) aimed at the detection
of the Goldreich-Kylafis effect in non-masing molecular lines (Cortes et al. 2005; Goldreich & Kylafis 1981), which appears to have first been detected in evolved stars (Glenn et al. 1997). We will discuss the relevance of the Goldreich-Kylafis effect for our observations in Sect. 7 below.
4 Results
Several instrumental capabilities of HIFI and the observations obtained with them may be noted:- (i)
- The two orthogonally polarised HIFI receivers are well matched and extremely stable. But observations of extended sources need to be conducted with caution. A slight misalignment of H and V receivers can lead to a ``false polarisation'' that reverses polarity at half-year intervals (see Appendix A).
- (ii)
- The misalignment of the HIFI receivers does not appear to affect
observations of unresolved sources. Our observations realised at
two observing epochs indicate that instrumental polarisation, which
could be in part due to errors in the relative calibration between
the two receiver chains of Band 1B, cannot exceed a measure of order
(see Sect. 7 below).
- (iii)
- The polarisation of VY CMa is not significant
near the peak of the 620.701 GHz
532-441 line, but rises up to 
in the wings of the spectrum in
a manner consistent with polarisation due to the Goldreich-Kylafis
effect discussed in greater detail in Sect. 7 below.
- (iv)
- The stability of the 620.701 GHz masers is remarkable. The variation
over a three week period is

(see Fig. 2).
- (v)
- As Fig. 3 shows, the spectral profile of the 620.701 GHz and 22.235 GHz masers appears remarkably similar, except that the relative expansion velocities between peaks, along the line of sight, is a factor of 2.3 greater at 620.701 than for contemporaneous observations at 22.235 GHz (see Appendix B).
- (vi)
- Assuming the 620.701 GHz masers to sit atop a broad pedestal with
flux density
400 Jy, we find the main 620.701 GHz maser peak
flux density to be
800 Jy, compared to
1900 Jy at 22.235 GHz. The velocity spread of the expanding 620.701 GHz maser peaks is
2.3 times
wider than at 22.235 GHz, implying a 620.701 GHz photon
luminosity roughly 2.4 times lower than at 22.235 GHz -
comparable in luminosity to the submillimetre masers observed by Menten et al. (2008), and about 2.5 times more luminous than Neufeld & Melnick (1991) predicted.
|
Figure 2:
Residual spectrum resulting from the
subtraction of the 620.701 GHz Stokes I spectra taken 3 weeks apart. The residual signal has an amplitude
|
| Open with DEXTER | |
5 Discussion
A spherically symmetric model for the outflows of VY CMa developed by Decin et al. (2006)
envisions dust formation in the cooling outflow from the star at
distances
10 R*. Radiation pressure then accelerates the
dust, and with it also the ambient gas, from velocities
5 km s-1 to
25 km s-1 at a distance of 20 R*. The
kinetic temperature at 20 R* is of the order of
1000 K,
sufficient to excite both 620.701 and 22.235 GHz masers. We
propose that the masing outflows we observe propagate along several
mutually common directions from the star, and that the faster expanding
620.701 GHz masers lie at greater distances from the star than the
central cluster of masers peaking at 22.235 GHz. We picture this
outflow consisting of gas ejected obliquely to the line of sight to VY
CMa but fanning out over a considerable angular width to account for
the observed range of outflow velocities. Common ejection of both the
denser masing regions and the less-dense ambient medium responsible for
the pedestal emission can then account for the observed velocity ranges
of both these outflow components. The region from which the
22.235 GHz radiation originates may be at the inner radius of the
flow; for, Neufeld & Melnick (1991) find that, for comparable gas densities and H2O abundances, maser emission at 22.235 GHz should be maximized at line-of-sight velocity gradients
30 times lower than those maximizing 620.701 GHz emission.
A comparison of our 620.701 GHz spectrum to the spectra of the star's submillimeter masers observed by Menten et al. (2008)
shows that their spectra, observed in June 2006, four years
earlier than ours, generally exhibited only two peaks separated by
6 km s-1, whereas our spectrum at 620.701 GHz clearly exhibits four peaks ranging over separations of order
25 km s-1. However, their 22.235 GHz spectrum also looks quite different from ours. This is not surprising since Esimbek & Zheng (2001)
found that, between August 1993 and August 1999, the shape of the
22.235 GHz spectrum significantly changed and peak emission
shifted from
to 34.2 km s-1.
|
Figure 3:
Comparison of the VY CMa 620.701 and 22.235 GHz
masers, both observed on April 11, 2010. The 620.701 GHz ( top) and the 22.235 GHz ( bottom) spectra have different velocity scales, and their peaks fall at slightly different
|
| Open with DEXTER | |
Nevertheless, a feature common to all the submillimetre spectra of Menten et al. (2008) is a broad pedestal that diminishes in strength with rising upper-excitation temperature
of the observed transitions. For
K it remains strong with wings extending over a full width
40 km s-1, whereas at
K,
the pedestal has entirely disappeared. The radiation emitted in the
pedestal thus appears to be due to collisional excitation by gas
flowing out from the star at speeds
20 km s-1 close to the terminal velocity in the model of Decin et al. (2006). The pedestal we observe for the transition at 620.701 GHz, whose
K, has the same broad wings extending roughly symmetrically to either side of the maser outflow peaks.
Low
levels thus excited can then radiate in three ways,
spontaneously, through stimulated emission, or induced by
collisions. As Neufeld & Melnick (1991) point out, stimulated emission leads to
masing only when the ratio of water vapor density to the velocity
gradient along the line of sight is sufficiently high. We interpret
the maser peaks in our 620.701 GHz spectrum as emanating from denser
clumps in the VY CMa outflow within which the velocity gradient is
low, and the 620.701 GHz pedestal as emission from an ambient medium
characterized by lower density and/or higher velocity gradients, and
thus unable to radiate significantly through stimulated emission to
sustain maser amplification. This ambient medium, and its
corresponding radiation, will bear the imprint of the
Goldreich-Kylafis (GK) effect when also subjected to anisotropic
radiation or optical depths, and permeated by a weak magnetic field.
Although the low polarization levels we detect are expected for water masers (Watson 2009), the rise in polarisation seen in the wings of the spectrum in the top panel of Fig. 1 deserves careful consideration. If we assume that the masers simply maser-amplify the seed radiation emanating from the ambient gas responsible for the pedestal component, then we may have a qualitative explanation for the shape of the polarisation spectrum. That is, the polarization fraction should be approximately the same at the position of, and between, maser peaks, as observed in Fig. 1, and should rise in the wings of the line where the optical depth of the pedestal component is lowest, in a manner consistent with the GK effect (Cortes et al. 2005). Although maser-amplification of GK polarisation could lead to different levels of polarisation at the maser peaks, other factors (e.g., magnetic field orientation) could also suppress this effect. We also note that in cases where the pedestal component was highly saturated, the level of polarisation measured in its core would provide a measure of the amount of instrumental polarisation (Hezareh & Houde 2010). Although this scenario probably does not perfectly fit our observations, the polarisation fraction measured in the vicinity of the line core suggests that the instrumental polarisation is approximately 1-2%.
6 Conclusions
We report the first astronomical observations of the 620.701 GHz 532-441 submillimetre maser of ortho H2O. The maser peaks in VY CMa show weak linear polarisation at levels consistent with the Goldreich-Kylafis effect across the spectral line profile.
AcknowledgementsHIFI has been designed and built by a consortium of institutes and university departments from across Europe, Canada and the United States under the leadership of SRON Netherlands Institute for Space Research, Groningen, The Netherlands and with major contributions from Germany, France and the US. Consortium members are: Canada: CSA, U. Waterloo; France: CESR, LAB, LERMA, IRAM; Germany: KOSMA, MPIfR, MPS; Ireland, NUI Maynooth; Italy: ASI, IFSI-INAF, Osservatorio Astrofisico di Arcetri- INAF; Netherlands: SRON, TUD; Poland: CAMK, CBK; Spain: Observatorio Astronmico Nacional (IGN), Centro de Astrobiología (CSIC-INTA). Sweden: Chalmers University of Technology - MC2, RSS & GARD; Onsala Space Observatory; Swedish National Space Board, Stockholm University - Stockholm Observatory; Switzerland: ETH Zurich, FHNW; USA: Caltech, JPL, NHSC. Support for this work was provided by NASA through an award issued by JPL/Caltech. We thank the HIFISTARS consortium for permission to use their VY CMa 556.9 GHz data for calibration purposes. We would like to acknowledge that Tom Phillips first pointed out to us that HIFI might yield useful polarisation observations. And, finally, we extend thanks to the anonymous referee for perceptive insights and suggestions that greatly improved this paper.
References
- Attard, M., Houde, M., Novak, G., & Vaillancourt, J. E. 2008, PASP, 120, 805 [NASA ADS] [CrossRef] [Google Scholar]
- Bachiller, R., Pérez Gutiérrez, M., Kumar, M. S. N., & Tafalla, M. 2001, A&A, 372, 899 [NASA ADS] [CrossRef] [EDP Sciences] [Google Scholar]
- Choi, Y. K., et al. 2008, PASJ, 20, 1007 [NASA ADS] [Google Scholar]
- Cortes, P. C., Crutcher, R. M., & Watson, W. D. 2005, ApJ, 628, 780 [NASA ADS] [CrossRef] [Google Scholar]
- Danchi, W. C., Bester, M., Degiacomi, C. G., Greenhill, L. J., & Townes, C. H. 1994, AJ, 107, 1469 [NASA ADS] [CrossRef] [Google Scholar]
- Decin, L., Hony, S., Justtanont, K., Tielens, A. G. G. M., & Waters, L. B. F. M. 2006, A&A, 456, 549 [NASA ADS] [CrossRef] [EDP Sciences] [Google Scholar]
- de Graauw, Th., Helmich, F. P., Phillips, T. G., et al., A&A, 518, L6 [Google Scholar]
- Esimbek, J., & Zheng, X.-W. 2001, Chin. Phys. Lett., 18, 458 [NASA ADS] [CrossRef] [Google Scholar]
- Girart, J. M., Greaves, J. S., Crutcher, R. M., & Lai, S.-P. 2004, Ap&SS, 292, 119 [NASA ADS] [CrossRef] [Google Scholar]
- Goldreich, P., & Kylafis, N. 1981, ApJ, 243, L75 [NASA ADS] [CrossRef] [Google Scholar]
- Glenn, J., Walker, C. K., Bieging, J. H., & Jewell, P. R. 1997, ApJ, 487, L89 [NASA ADS] [CrossRef] [Google Scholar]
- Hezareh, T., & Houde, M. 2010, PASP, 122, 786 [NASA ADS] [CrossRef] [Google Scholar]
- Li, H., Dowell, C. D., Kirby, L., Novak, G., & Vaillancourt, J. E. 2008, Appl. Opt., 47, 422 [NASA ADS] [CrossRef] [PubMed] [Google Scholar]
- Menten, K. M., Lundgren, A., Belloche, A., Thorwirth, S., & Reid, M. J. 2008, A&A, 477, 185 [NASA ADS] [CrossRef] [EDP Sciences] [Google Scholar]
- Monnier, J. D., Geballe, T. R., & Danchi, W. C. 1999, ApJ, 512, 351 [NASA ADS] [CrossRef] [Google Scholar]
- Neufeld, D. A., & Melnick, G. J. 1991, ApJ, 368, 215 [NASA ADS] [CrossRef] [Google Scholar]
- Neufeld, D. A., Feuchtgruber, H., Harwit, M., & Melnick, G. 1999, ApJ, 517, L147 [Google Scholar]
- Pilbratt, G. L., Riedinger, J. R., Passvogel, T., et al. 2010, A&A, 518, L1 [CrossRef] [EDP Sciences] [Google Scholar]
- Reid, M. J., & Muhleman, D. O. 1978, ApJ, 220, 229 [NASA ADS] [CrossRef] [Google Scholar]
- Vlemmings, W. H. T., Diamond, P. J., & van Langevelde, H. J. 2002 A&A, 394, 589 [Google Scholar]
- Watson, W. D. 2009, RevMexAA, Conf. Ser., 36, 113 [Google Scholar]
Online Material
Appendix A: A cautionary note on observations of extended sources
As part of the performance verification of HIFI in space, spectroscopic
observations of the 12C16O
576.3 GHz transition
were obtained at the position of the chemically-active bow shock B1
driven by the LDN 1157 Class 0 protostar (Bachiller et al. 2001).
Initial observations in HIFI's Band 1B were made on August 1,
2009; a second set was obtained 186 days later on February 4,
2010. The spectral shape of the source remained essentially unchanged
but initially the signal from the high-frequency edge of the line
appeared stronger in the V direction, when the H and V peaks
were matched, whereas half a year later it appeared stronger by the
same ratio in the H direction.
This ``false polarisation'' effect was due to the small misalignment of
the H and V beams described earlier, which imaged slightly
different portions of a scene onto the two receivers (Attard et al. 2008).
Unless otherwise specified, observations of a targeted source are
centred on a position halfway between the two beam centres. Because
the viewing direction of Herschel at all times is constrained by the
need to keep the plane of the sun-shield roughly perpendicular to
the radius vector to the Sun, sources close to the ecliptic plane
can only be viewed at half year intervals. Over this interval the
telescope aperture rotates 180
about its viewing direction
on the sky. Thus, portions of LDN 1157 B1 initially viewed
by the V channel were viewed, half a year later, by the H channel
and vice versa. It is clear that this effect was not due to linear
polarisation because a 180
rotation of the telescope leaves
the polarisation direction unchanged.
For VY CMa, where the entire source was relatively well centred on each beam, this effect was negligible. But for linear polarisation observations of an extended source the best strategy may be to make a small map with HIFI over the area of interest, where the spectra obtained in the H and V channels at each position of the source, can be individually and directly compared.
Appendix B: Ground-based observations at 22.235 GHz
Overlapping with the second epoch of 620.701 GHz observations, we observed the VY CMa 22.235 GHz maser with the Effelsberg 100-m telescope of the Max-Planck-Institut für Radioastronomie. Those observations were begun on April 11, 2010 at 16:40 UT and lasted until 17:20 UT and are shown in Fig. 3. Data in two linear polarisations were obtained with the two channels of the K-band or 1.3 cm receiver at the primary focus. The frequency resolution was 6.104 kHz, corresponding to a velocity resolution of 0.082 km s-1. Although these observations were realised at only one epoch and are, therefore, insufficient for a full characterisation of the linear polarisation state, a search by Vlemmings et al. (2002) found that the linear polarisation of the VY CMa 22.235 GHz masers is well below 1%.
Footnotes
- ... HIFI
- Herschel is an ESA space observatory with science instruments provided by European-led Principal Investigator consortia and with important participation from NASA.
- ...
- Appendix (page 5) is only available in electronic form at http://www.aanda.org
All Figures
|
Figure 1:
Polarisation spectrum of the 620.701 GHz
|
| Open with DEXTER | |
| In the text | |
|
Figure 2:
Residual spectrum resulting from the
subtraction of the 620.701 GHz Stokes I spectra taken 3 weeks apart. The residual signal has an amplitude
|
| Open with DEXTER | |
| In the text | |
|
Figure 3:
Comparison of the VY CMa 620.701 and 22.235 GHz
masers, both observed on April 11, 2010. The 620.701 GHz ( top) and the 22.235 GHz ( bottom) spectra have different velocity scales, and their peaks fall at slightly different
|
| Open with DEXTER | |
| In the text | |
Copyright ESO 2010
Current usage metrics show cumulative count of Article Views (full-text article views including HTML views, PDF and ePub downloads, according to the available data) and Abstracts Views on Vision4Press platform.
Data correspond to usage on the plateform after 2015. The current usage metrics is available 48-96 hours after online publication and is updated daily on week days.
Initial download of the metrics may take a while.
![\begin{figure}
\par\includegraphics[scale=0.4]{15042fg1.eps}
\vspace*{-4mm}
\end{figure}](/articles/aa/full_html/2010/13/aa15042-10/Timg61.png)

