Issue
A&A
Volume 521, October 2010
Herschel/HIFI: first science highlights
Article Number L28
Number of page(s) 6
Section Letters
DOI https://doi.org/10.1051/0004-6361/201015086
Published online 01 October 2010
A&A 521, L28 (2010)

Herschel/HIFI: first science highlights

LETTER TO THE EDITOR

The distribution of water in the high-mass star-forming region NGC 6334 I[*],[*]

M. Emprechtinger 1,20 - D. C. Lis1 - T. Bell1 - T. G. Phillips1 - P. Schilke10,20 - C. Comito10 - R. Rolffs 10 - F. van der Tak16 - C. Ceccarelli3 - H. Aarts16 - A. Bacmann3,2 - A. Baudry2 - M. Benedettini4 - E. A. Bergin25 - G. Blake1 - A. Boogert5 - S. Bottinelli6 - S. Cabrit8 - P. Caselli7 - A. Castets3 - E. Caux6 - J. Cernicharo9 - C. Codella11 - A. Coutens6 - N. Crimier3,9 - K. Demyk6 - C. Dominik12,13 - P. Encrenaz8 - E. Falgarone8 - A. Fuente14 - M. Gerin8 - P. Goldsmith15 - F. Helmich16 - P. Hennebelle8 - T. Henning26 - E. Herbst17 - P. Hily-Blant3 - T. Jacq2 - C. Kahane3 - M. Kama12 - A. Klotz6 - J. Kooi1 - W. Langer15 - B. Lefloch3 - A. Loose27 - S. Lord5 - A. Lorenzani11 - S. Maret3 - G. Melnick18 - D. Neufeld19 - B. Nisini24 - V. Ossenkopf20 - S. Pacheco3 - L. Pagani8 - B. Parise10 - J. Pearson15 - C. Risacher16 - M. Salez8 - P. Saraceno4 - K. Schuster21 - J. Stutzki20 - X. Tielens22 - M. van der Wiel16 - C. Vastel6 - S. Viti23 - V. Wakelam2 - A. Walters6 - F. Wyrowski10 - H. Yorke15

1 - California Institute of Technology, Pasadena, USA
2 - Université de Bordeaux, Laboratoire d'Astrophysique de Bordeaux, France; CNRS/INSU, UMR 5804, Floirac, France
3 - Laboratoire d'Astrophysique de Grenoble, UMR 5571-CNRS, Université Joseph Fourier, Grenoble, France
4 - INAF - Istituto di Fisica dello Spazio Interplanetario, Roma, Italy
5 - Infared Processing and Analysis Center, Caltech, Pasadena, USA
6 - CESR, Université Toulouse 3 and CNRS, Toulouse, France
7 - School of Physics and Astronomy, University of Leeds, Leeds UK
8 - Observatoire de Paris-Meudon, LERMA UMR CNRS 8112, Meudon, France
9 - Centro de Astrobiologìa, CSIC-INTA, Madrid, Spain
10 - Max-Planck-Institut für Radioastronomie, Bonn, Germany
11 - INAF Osservatorio Astrofisico di Arcetri, Florence, Italy
12 - Astronomical Institute ``Anton Pannekoek'', University of Amsterdam, Amsterdam, The Netherlands
13 - Department of Astrophysics/IMAPP, Radboud University Nijmegen, Nijmegen, The Netherlands
14 - IGN Observatorio Astronómico Nacional, Alcalá de Henares, Spain
15 - Jet Propulsion Laboratory, Caltech, Pasadena, CA 91109, USA
16 - SRON, Groningen, The Netherlands
17 - Ohio State University, Columbus, OH, USA
18 - Center for Astrophysics, Cambridge MA, USA
19 - Johns Hopkins University, Baltimore MD, USA
20 - Physikalisches Institut, Universität zu Köln, Köln, Germany
21 - Institut de RadioAstronomie Millimétrique, Grenoble, France
22 - Leiden Observatory, Leiden University, Leiden, The Netherlands
23 - Department of Physics and Astronomy, University College London, London, UK
24 - INAF - Osservatorio Astronomico di Roma, Monte Porzio Catone, Italy
25 - Department of Astronomy, University of Michigan, Ann Arbor, USA
26 - Max-Planck-Institut fur Astronomie, Heidelberg, Germany
27 - Max-Planck-Institut fur Sonnenphysikforschung, Lindau, Germany

Received 30 May 2010 / Accepted 23 July 2010

Abstract
Aims. We present observations of twelve rotational transitions of H216O, H218O, and H217O toward the massive star-forming region NGC 6334 I, carried out with Herschel/HIFI as part of the guaranteed time key program Chemical HErschel Surveys of Star forming regions (CHESS). We analyze these observations to obtain insights into physical processes in this region.
Methods. We identify three main gas components (hot core, cold foreground, and outflow) in NGC 6334 I and derive the physical conditions in these components.
Results. The hot core, identified by the emission in highly excited lines, shows a high excitation temperature of $\sim$200 K, whereas water in the foreground component is predominantly in the ortho- and para- ground states. The abundance of water varies between $4\times 10^{-5}$ (outflow) and 10-8 (cold foreground gas). This variation is most likely due to the freeze-out of water molecules onto dust grains. The H218O/H217O abundance ratio is 3.2, which is consistent with the 18O/17O ratio determined from CO isotopologues. The ortho/para ratio in water appears to be relatively low ($1.6\pm1)$ in the cold, quiescent gas, but close to the equilibrium value of three in the warmer outflow material ($2.5\pm0.8$).

Key words: stars: formation - ISM: molecules

1 Introduction

Water is one of the most important coolants in star-forming regions, and is thus a key molecule in the process of star formation. Water plays a crucial role in the energy balance in protostellar objects, and therefore its abundance is an important parameter, especially in massive star-formation, because it influences the collapse and fragmentation of cloud cores. Furthermore H2O (either in the gas phase or as ice on dust grains) is thought to contain a significant fraction of oxygen. Thus well constrained water abundances provide key input for astrochemical models of star-forming regions.

Most rotational lines of H2O, including the ground-state transition of ortho- and para-H2O, are not observable from the ground. However, previous space missions have already provided a glimpse of the water universe (ISO, van Dishoeck & Helmich 1996; SWAS, Melnick & Bergin 2005; Odin, Bjerkeli et al. 2009). The derived water abundance varies widely, between $\sim$10-4 in warm (>100 K) gas and $\sim$10-8 in cold regions (e.g., Boonman et al. 2003). These differences in the H2O abundance are caused by the freeze-out of water molecules onto dust grains. Unfortunately, all the observations to date suffer from a shortage of accessible water lines (SWAS and Odin observed the ortho ground-state transition only, while ISO only detected excited lines) and low spatial resolution (> $ 1\hbox{$^\prime$ }$).

van der Tak et al. (2010) observed the para ground-state transition ( 111-000) of H216O in the high-mass protostellar object DR 21(Main) with the Herschel Space Observatory (Pilbratt et al. 2010). They found water abundances between 10-10 and 10-7, about a factor 1000 lower than those derived in previous studies. This shows that the H2O abundance in star-forming regions is not well understood and that studies including multiple lines of both ortho- and para-H2O are highly desirable to put better constraints on the water abundance in the ISM. These capabilities are provided by the HIFI instrument (de Graauw et al. 2010).

In this letter, we present high spectral resolution observations of twelve H216O, H217O, and H218O lines in the high-mass star-forming region NGC 6334 I. The relatively nearby (1.7 kpc; Neckel 1978) massive star-forming region NGC 6334 harbors sites of various stages of protostellar evolution (Straw & Hyland 1989). Single-dish continuum observations at submillimeter wavelength revealed a total mass of 16 700 $M_{\odot}$(Matthews et al. 2008), of which 200 $M_{\odot}$ is associated with NGC 6334 I (Sandell 2000). NGC 6334 I, studied extensively over the last decades (e.g., Beuther et al. 2008; Hunter et al. 2006; Beuther et al. 2007), is a molecular hot core associated with a cometary-shaped ultra compact H  II (UCHII) region (de Pree et al. 1995), which exhibits a spectrum with very many emission lines (Thorwirth et al. 2003; Schilke et al. 2006). Furthermore, a bipolar outflow (Beuther et al. 2008; Leurini et al. 2006) and several masers have been detected (e.g., Ellingsen et al. 1996; Kraemer & Jackson 1995; Walsh et al. 2007). Observations using the SMA showed that the hot core of NGC 6334 I itself consists of four compact condensations located within a $\approx$ $ 10\hbox{$^{\prime\prime}$ }$ diameter region, which are emitting about 50% of the continuum detected in single-dish observations (Hunter et al. 2006).

2 Observations

We observed twelve water lines with frequencies between 488 GHz and 1.113 THz, which are listed in Table 2. These observations were conducted between March 1 and March 23, 2010, using Herschel/HIFI in the dual beam switch (DBS) mode as part of the guaranteed time key program Chemical HErschel Surveys of Star forming regions (CHESS). The coordinates of the observed position in NGC 6334 I are $\alpha_{2000}{:} 17^{\rm h}20^{\rm m}53.32^{\rm s}$ and $\delta_{2000}{:} -35^\circ 46\hbox{$^\prime$ }58.5\hbox{$^{\prime\prime}$ }$. We used the wide band spectrometer (WBS) with a resolution of 1.1 MHz across a 4 GHz IF bandwidth. The spectra shown here are equally weighted averages of the H and V polarization, reduced with the HIPE pipeline (Ott 2010), version 2.6. We exported the resulting Level 2 double side band (DSB) spectra to the FITS format for a subsequent data reduction and analysis with the IRAM GILDAS package.

The spectral scans of NGC 6334 I consist of DSB spectra with a redundancy of eight, i.e., the lower and upper side band are observed with eight different local oscillator settings. This observing mode allows the deconvolution and isolation of the single sideband (SSB) spectra (Comito & Schilke 2002), which we present here.

The HIFI beam size at the frequencies observed is given in Table 2. For the main beam efficiency we assumed a value of 68%. The velocity calibration in HIFI data processed with HIPE 2.6 is subject to uncertainties of up to $\sim$2 km s-1 due to an approximate model for the spacecraft velocity used. A comparison with a more accurate spacecraft velocity model indicates that the velocity scale for the data presented here has an uncertainty of $\leq $0.3 km s-1.

3 Results and discussion

The spectra of the twelve observed water lines are displayed in Fig. 1. The shapes of these lines are in general very complex, indicating the complex structure of the source itself. They can be divided into three main components: the hot core, the cold foreground component, and the outflow. Although the spectrum of NGC 6334 I is in general very rich in emission lines, the water spectra presented here are relatively clean. Emission lines of other molecules interfering with the H2O lines are only seen near H218 211-202 (H3C-O-CH3) and H218 110-101 (HNC and H3COH).

Below we discuss the three individual components present in the water spectra.

3.1 Cold foreground gas

The foreground material as seen in the ground-state ortho- and para-H216O transitions, consists of three velocity components at $-6.3\pm 0.3$, $-0.3\pm0.12$, and $+6.2\pm0.15$ km s-1. All three components appear in absorption against the strong continuum emitted by the warm dust in the hot core of NGC 6334 I. The parameters of the absorption features seen in the 111-000and the 111-101 spectra are listed in Table 3. The velocity of the different components are derived from Gaussian fits. However, Gaussian fits do not correctly match the depth of the absorption. Therefore the other parameters are determined by visually inspecting the spectra and integrating over the relevant velocity ranges. To derive the continuum level we applied a linear baseline fit in the vicinity of the absorption line. Thus the background radiation contains not only the dust continuum, but also water emission from all the components in the background (hot core and outflow). The velocity-averaged optical depths of the individual components derived from the line/continuum ratio of the 111-000 line (ground-state para transition) are $2.1\pm0.83$, $1.27\pm0.29$ and $1.39\pm0.63$ for the -6.3 km s-1, -0.3 km s-1, and the +6.2 km s-1 component, respectively. The corresponding optical depths of the ground-state ortho transition are $1.79\pm0.53$, $0.94\pm0.20$, and $1.18\pm0.38$. The velocity ranges over which the optical depths were averaged are given in Table 1. Deriving the optical depth from the line-to-continuum ratio is based on the assumption that the excitation temperature is negligible with respect to the continuum brightness temperature, i.e., that the foreground component is cold with respect to the background. The large uncertainties arise because the optical depth of deep absorption lines is very sensitive to the actual continuum level, which is determined with an accuracy of $\sim$$5\%$ in our HIFI spectra. In addition, the frequency of the H2O 111-101 (557 GHz) is close to the edges of the bands 1a and 1b. Thus the uncertainty is enhanced by variations in the sideband ratio of the receiver. For the present calculation we used a sideband imbalance of 5%, derived from the differences of the spectra taken in bands 1a and 1b. The lack of absorption of H218O 111-000 and H218O 101-110 at +6.2 km s-1 gives 1$\sigma$ upper limits for the optical depth of the para- and ortho-H2O ground-state transitions of 4.5 and 6.2, respectively, assuming an H216O/H218O ratio of 500, which constrains the optical depth at the line center even more.

Because almost the complete continuum signal is absorbed at -6.3 and 6.2 km s-1, the absorbing material must be cold. Upper limits for the excitation temperature are 5.5 K and 9 K for the o-H2O and p-H2O, respectively. These upper limits are derived assuming large optical depths, thus the remaining signal at the center of the water lines corresponds to the source function of the transition, and therefore reflects the water excitation temperature.

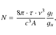
In the following analysis we assume that all water molecules are in the ortho- and para-ground states. This assumption is justified given the very high critical densities of these two transitions ( $\rm 2\times 10^8~cm^{-3}$ and $\rm 1.5\times 10^7~cm^{-3}$ for the ground-state para- and ortho-transitions, respectively). The column densities per velocity interval are thus given by the formula

\begin{displaymath}N=\frac{8\pi\cdot\tau\cdot \nu^3}{ c^3 A}\frac{g_l}{g_u},
\end{displaymath}

where N is the column density, $\tau$ the optical depth, $\nu$ the line frequency, and c is the speed of light. A stands for the Einstein A coefficient and gl and gu are the degeneracy of the lower and the upper level of the transition. Subsequently, we integrated over the velocity ranges given in Table 1 to determine the column density for each component. For the -6.3 km s-1 component we considered only velocities >-6 km s-1, because at velocities <-6 km s-1 the signal may be contaminated by absorption in the outflow. The derived column densities and the ortho/para (o/p) ratio of the three components are listed in Table 1. Because the uncertainties of the column densities are dominated by systematical errors (mainly by the uncertainty of the continuum level and baseline standing waves), the errors given in Table 1 are maximum uncertainties.

Table 1:   Column densities of ortho and para water in the foreground material.

The o/p ratio seems to be lower than three, the value expected in statistical equilibrium, in all three foreground components. However, the uncertainties of the derived ratios are quite large for these highly saturated lines, and thus the derived o/p ratios have to be treated with caution.

Water is expected to be formed with an o/p ratio of three. Subsequently, collisions with atomic and molecular ions (e.g., H+, H3+) can lead to proton exchanges, and thus thermalization of the o/p ratio. In cool, dense gas, like the foreground components, an o/p ratio lower than three is thus likely. From the o/p ratio of $1.6\pm0.5$ derived for the -0.3 km s-1 component, which has the smallest uncertainty, we calculate a spin temperature of $19\pm5$ K, indicating that the temperature of the foreground component is $\sim$20 K. An o/p ratio lower than three has also been measured toward Sgr B2(M) (Lis et al. 2010, see this paper for further discussion).

3.2 Hot core

Spectra of H216 422-331, H216 624-717, and H216 532-441, the three transitions with upper state energies above 400 K, show only a single component at a velocity of about -8.2 km s-1, emitted by the hot core of NGC 6334 I. The parameters of these lines are listed in Table 4. Integrated intensities are derived by integrating over a velocity range, whereas the other parameters are derived by a Gaussian fit. This velocity is about 1.5 km s-1 lower than the systematic velocity of NGC 6334 I, but is consistent with the velocity seen in CH $J=\frac{3}{2}-\frac{1}{2}$ (van der Wiel et al. 2010) and HCO+ J=12-11. Interferometric observations of NH3 (3, 3) and (6, 6) reveal a velocity of -8.1 km s-1 for one of the embedded cores (mm 2), which shows the highest optical depth in highly excited ammonia lines (Beuther et al. 2007). In addition to the high-energy H216O lines the H218 211-202 line ( $E\rm _{\rm up}=136.4~K$) peaks at -8.6 km s-1 (Table 4), suggesting that this optically thin line is predominantly emitted from the hot core as well.

Two of the observed lines, H2 532-441 and H2 422-311 are expected to show maser activity over a wide range of physical conditions (Neufeld & Melnick 1991; Maercker et al. 2008), therefore we excluded these lines from the subsequent analysis. To calculate the excitation temperature and water abundance in the hot core, we assumed that the two remaining lines are optically thin and that the levels are populated according to the Boltzmann distribution. Furthermore, we adopted an o/p ratio of three, an H216O/H218O of 500, and, based on interferometric observations (Hunter et al. 2006) a source size of $\sim$ $ 10\hbox{$^{\prime\prime}$ }$ to correct for the difference in the beam size. With these assumptions, we derive a water excitation temperature ( $T\rm _{\rm ex}$) of $217\pm30$ K, and a total H216O column density of $\rm 7.5\pm1.0\times 10^{15}~cm^{-2}$.

The C18J=10-9 line is observed very close to the o-H216 312-303 line ( $\Delta\nu~=$ -202 MHz) and allows us to independently estimate the H2 column density of the hot core. The integrated intensity of this C18O line is 8.78 Kkms-1, which results, assuming a similar excitation temperatures for C18O and H2O and local thermal equilibrium, in a C18O column density of $\rm 7.2\pm1\times 10^{14}~cm^{-2}$. This gives N(H2) =  $\rm 3.8\pm0.5\times 10^{21}~cm^{-2}$, adopting a CO abundance of $9.5\times 10^{-5}$ and a C16O/C18O ratio of 500, leading to a water abundance of $2.0\pm 0.3\times 10^{-6}$. The assumption of a similar excitation temperature of H2O and C18O is questionable considering the large difference in their dipole moments (C18O is likely tracing a slightly more extended, cooler region). (Sandell 2000) derives a dust temperature of 100 K for NGC 6334 I. Assuming 100 K as lower limit for $T\rm _{\rm ex}$ of C18O leads to a C18O column density of $1.6\times 10^{15}~\rm cm^{-2}$, and subsequently to a lower limit of $8\times 10^{-7}$ for the water abundance.

3.3 Outflow

Outflow features are seen in the ground-state ortho- and para-transitions of all three water isotopologues, except the H218 110-101 line, which is contaminated by H3COH and HNC lines. Furthermore, the outflow can be seen in the H216 211-202 and H216 312-303 lines (P-Cygni profiles). The spectrum of H216 110-101 is very interesting because it shows indication of two outflow components, a broad pedestal ranging from -90 to +60 km s-1 and a narrower, but brighter component from -40 to +20 km s-1 (see Fig. 2). Because only one outflow is seen in interferometric observations (Beuther et al. 2008) and the central velocities of the two components are similar, the observed spectra likely reflect a temperature or density variation within the outflow.

That the blue outflow lobe shows up in emission in H216 110-101, but weakly in absorption in H217 110-101 may be explained by a higher excitation temperature of the optically thick H216O line, caused by photon trapping, which in turn leads to level thermalization.

A prominent feature is the absorption against the hot core dust continuum in the blue lobe of the outflow seen in all ground-state transitions except H216 110-101 (see Fig. 3). Because absorption features show up even in H217O, which is $\approx$1500 times less abundant than H216O, the H216O lines are likely completely optically thick. Thus the signal in the H216O 1 11-000 line at velocities from -40 km s-1 to -20 km s-1( $6.82\pm0.12$ K) is the source function times the beam filling factor ( $S\times \eta _B$) plus the dust continuum (7.72 K; see Fig. 2) not affected by absorption. At velocities higher than -20  km s-1 possible absorption by the foreground component makes the results unreliable, and therefore this velocity range was excluded from our analysis. From the emission in the red lobe seen in the H216O 111-000 transition we conclude that the $S\cdot\eta _B$ is 0.38 K for H216O. Therefore only a fraction (f=17%) of the total dust continuum is covered by the blue lobe of the outflow. This fraction is calculated from

\begin{displaymath}f=1-\frac{T_{\rm MB}-S\cdot\eta _B}{T_{\rm c}},
\end{displaymath}

where $T_{\rm MB}$ is the detected signal strength and $T_{\rm c}$ is the level of the background continuum. No emission is seen from the red lobe of the 1 11-000 line of the rarer isotopologues, and therefore only an upper limit of 0.1 K can be given for the corresponding $S\cdot\eta _B$. Because this upper limit is of the order of the measurement uncertainty of the signal of both lines, we calculated the optical depth and column density of the H217O 111-000and H218O 111-000 lines assuming a source function of zero (all molecules are in the ortho- or para-ground state). This agrees with the physical parameters found in previous investigations (e.g., $T\rm _K >15$ K, $\rm n(H_2)>\rm 10^3~cm^{-3}$; Leurini et al. 2006). We calculated the optical depth for each velocity channel with the formula

\begin{displaymath}\tau=-{\rm ln}\left(\frac{T_{\rm MB}-(1-f)\cdot T_{\rm c}}{f\cdot T_{\rm c}}\right),
\end{displaymath}

and the corresponding column density as described in Sect. 3.1. The maximum optical depths ( $v\rm _{\rm lsr}=-25.7~km~ s^{-1}$) are 0.70 and 0.29 for H218O and H217O 111-000, respectively. The corresponding column densities are $\rm
4.1\pm0.6\times 10^{13}~cm^{-2}$ and $\rm 1.1\pm0.3\times
10^{13}~cm^{-2}$ for p-H218O and p-H217O. Hence the resulting H218O/H217O ratio is $3.7\pm0.6$, which agrees well with the values of the 18O/17O ratio reported in the literature (e.g., Wilson & Rood 1994). Assuming the same continuum coverage for the H217 110-101 line, we calculated the o-H217O column density in a similar way, which leads to an optical depth of 0.34, which in turn resulted in a column density of $\rm 2.7\pm1\times 10^{13}~cm^{-2}$. Thus the o/p ratio in the outflow is $2.5\pm0.8$. The higher o/p ratio in the outflow is consistent with the gas being warmer (>50 K) compared to the foreground clouds. Comparing these values to the total column density of the outflow determined by Leurini et al. (2006), and assuming an H216O/H218O ratio of 500, we derive a water abundance of $4.3\times 10^{-5}$, a value typical for warm (>100 K) gas.

4 Summary

Herschel/HIFI studies of multiple lines of water isotopologues give important insights into the physical processes in dense molecular material. Our observations of NGC 6334 I indicate that

  • H2O lines show complex line profiles, with multiple emission and absorption features, originating from multiple spatial components.

  • the H2O abundance varies between about $4\times 10^{-5}$ in the outflow, $2\times 10^{-6}$ in the hot core, and 10-8 in the cool foreground gas. These abundances are in the range of previously determined ISM values.

  • the H218O/H216O and H217O/H216O ratios are comparable to the 18O/16O and 17O/16O isotopic ratios determined from observations of the CO isotopologues.

  • the water o/p ratio appears to be lower than the statistical value of three in the cold, quiescent material, whereas it is close to three in the warmer outflow gas. The lower o/p ratio in the foreground component may be explained by proton exchange reactions with H+ and H3+, which lower the o/p ratio to a value corresponding to the gas kinetic temperature of about 20 K.

Observations of many additional water lines will be available in the future, when the complete spectral scan of NGC 6334 I is carried out. This will allow a more detailed modeling of water abundances in this interesting source.

Acknowledgements
HIFI has been designed and built by a consortium of institutes and university departments from across Europe, Canada and the United States under the leadership of SRON Netherlands Institute for Space Research, Groningen, The Netherlands and with major contributions from Germany, France abd the US. Consortium members are: Canada: CSA, U.Waterloo; France: CESR, LAB, LERMA, IRAM; Germany: KOSMA, MPIfR, MPS; Ireland, NUI Maynooth; Italy: ASI, IFSI-INAF, Osservatorio Astrofisico di Arcetri-INAF; Netherlands: SRON, TUD; Poland: CAMK, CBK; Spain: Observatorio Astronómico Nacional (IGN), Centro de Astrobiología (CSIC-INTA). Sweden: Chalmers University of Technology - MC2, RSS & GARD; Onsala Space Observatory; Swedish National Space Board, Stockholm University - Stockholm Observatory; Switzerland: ETH Zurich, FHNW; USA: Caltech, JPL, NHSC. We thank many funding agencies for financial support.

References

  1. Beuther, H., Walsh, A. J., Thorwirth, S., et al. 2007, A&A, 466, 989 [NASA ADS] [CrossRef] [EDP Sciences] [Google Scholar]
  2. Beuther, H., Walsh, A. J., Thorwirth, S., et al. 2008, A&A, 481, 169 [NASA ADS] [CrossRef] [EDP Sciences] [Google Scholar]
  3. Bjerkeli, P., Liseau, R., Olberg, M., et al. 2009, A&A, 507, 1455 [NASA ADS] [CrossRef] [EDP Sciences] [Google Scholar]
  4. Boonman, A. M. S., Doty, S. D., van Dishoeck, E. F., et al. 2003, A&A, 406, 937 [NASA ADS] [CrossRef] [EDP Sciences] [Google Scholar]
  5. Comito, C., & Schilke, P. 2002, A&A, 395, 357 [NASA ADS] [CrossRef] [EDP Sciences] [Google Scholar]
  6. de Graauw, Th., Helmich, F. P., Phillips, T. G., et al. 2010, A&A, 518, L6 [Google Scholar]
  7. de Pree, C. G., Rodriguez, L. F., Dickel, H. R., & Goss, W. M. 1995, ApJ, 447, 220 [NASA ADS] [CrossRef] [Google Scholar]
  8. Ellingsen, S. P., von Bibra, M. L., McCulloch, P. M., et al. 1996, MNRAS, 280, 378 [NASA ADS] [CrossRef] [Google Scholar]
  9. Hunter, T. R., Brogan, C. L., Megeath, S. T., et al. 2006, ApJ, 649, 888 [NASA ADS] [CrossRef] [Google Scholar]
  10. Kraemer, K. E., & Jackson, J. M. 1995, ApJ, 439, L9 [NASA ADS] [CrossRef] [Google Scholar]
  11. Leurini, S., Schilke, P., Parise, B., et al. 2006, A&A, 454, L83 [NASA ADS] [CrossRef] [EDP Sciences] [Google Scholar]
  12. Lis, D. C., Phillips, T. G., Goldsmith, P. F., et al. 2010, A&A, 521, L26 [NASA ADS] [CrossRef] [EDP Sciences] [Google Scholar]
  13. Maercker, M., Schöier, F. L., Olofsson, H., Bergman, P., & Ramstedt, S. 2008, A&A, 479, 779 [NASA ADS] [CrossRef] [EDP Sciences] [Google Scholar]
  14. Matthews, H. E., McCutcheon, W. H., Kirk, H., White, G. J., & Cohen, M. 2008, AJ, 136, 2083 [NASA ADS] [CrossRef] [Google Scholar]
  15. Melnick, G. J., & Bergin, E. A. 2005, Adv. Space Res., 36, 1027 [NASA ADS] [CrossRef] [Google Scholar]
  16. Neckel, T. 1978, A&A, 69, 51 [NASA ADS] [Google Scholar]
  17. Neufeld, D. A., & Melnick, G. J. 1991, ApJ, 368, 215 [NASA ADS] [CrossRef] [Google Scholar]
  18. Ott, S. 2010, Astronomical Data Analysis Software and Systems XIX, ed. Y. Mizumoto, K.-I. Morita, & M. Ohishi, ASP Conf. Ser. [Google Scholar]
  19. Pilbratt, G. L., Riedinger, J. R., Passvogel, T., et al. 2010, A&A, 518, L1 [CrossRef] [EDP Sciences] [Google Scholar]
  20. Sandell, G. 2000, A&A, 358, 242 [NASA ADS] [Google Scholar]
  21. Schilke, P., Comito, C., Thorwirth, S., et al. 2006, A&A, 454, L41 [NASA ADS] [CrossRef] [EDP Sciences] [Google Scholar]
  22. Straw, S. M., & Hyland, A. R. 1989, ApJ, 340, 318 [NASA ADS] [CrossRef] [Google Scholar]
  23. Thorwirth, S., Winnewisser, G., Megeath, S. T., & Tieftrunk, A. R. 2003, in Galactic Star Formation Across the Stellar Mass Spectrum, ed. J. M. De Buizer, & N. S. van der Bliek, ASP Conf. Ser., 287, 257 [Google Scholar]
  24. van der Tak, F. F. S., Marseille, M. G., Herpin, F., et al. 2010, A&A, 518, L107 [Google Scholar]
  25. van der Wiel, M. H. D., van der Tak, F. F. S., Lis, D. C., et al. 2010, A&A, 521, L43 [Google Scholar]
  26. van Dishoeck, E. F., & Helmich, F. P. 1996, A&A, 315, L177 [NASA ADS] [Google Scholar]
  27. Walsh, A. J., Longmore, S. N., Thorwirth, S., Urquhart, J. S., & Purcell, C. R. 2007, MNRAS, 382, L35 [NASA ADS] [Google Scholar]
  28. Wilson, T. L., & Rood, R. 1994, ARA&A, 32, 191 [NASA ADS] [CrossRef] [Google Scholar]

Online Material

\begin{figure}
\par\includegraphics[angle=-90, width=17cm,clip]{15086fg1.eps}
\end{figure} Figure 1:

Spectra of twelve water lines in the high-mass star-forming region NGC 6334 I. Top row: ground-state para transitions of H216O, H218O and H217O. Second row: ground-state ortho transitions of H216O, H218O and H217O. Third row: water transitions with moderate upper state energies. Bottom row: water lines with high upper state energies (>400 K).

Open with DEXTER

\begin{figure}
\par\includegraphics[angle=-90,width=14cm]{15086fg2.eps}
\end{figure} Figure 2:

Absorption feature of the blue lobe of the outflow. The spectra of the ground-state transitions of p-H216O, p-H218O, p-H217O, and o-H217O are displayed. The red line shows the dust continuum level.

Open with DEXTER

\begin{figure}
\par\includegraphics[angle=-90, width=15.5cm]{15086fg3.eps} \vspace{-1mm}
\vspace{-1mm}
\end{figure} Figure 3:

Spectrum of H216O 110-101. The red line marks the dust continuum level. The foreground components and the two outflow components are labeled. The velocity range of the broad outflow (pedestal) is marked in light blue and the range of the narrow outflow component is marked in yellow.

Open with DEXTER

Table 2:   Summary of the observed lines.

Table 3:   Parameters of the narrow absorption features seen in the two ground-state H216O transitions.

Table 4:   Hot core line parameters.

Footnotes

... NGC 6334 I[*]
Herschel is an ESA space observatory with science instruments provided by European-led principal Investigator consortia and with important participation from NASA.
...[*]
Figures 1, 2 and 3 and Tables 2-4 (pages 5 to 6) are only available in electronic form at http://www.aanda.org

All Tables

Table 1:   Column densities of ortho and para water in the foreground material.

Table 2:   Summary of the observed lines.

Table 3:   Parameters of the narrow absorption features seen in the two ground-state H216O transitions.

Table 4:   Hot core line parameters.

All Figures

  \begin{figure}
\par\includegraphics[angle=-90, width=17cm,clip]{15086fg1.eps}
\end{figure} Figure 1:

Spectra of twelve water lines in the high-mass star-forming region NGC 6334 I. Top row: ground-state para transitions of H216O, H218O and H217O. Second row: ground-state ortho transitions of H216O, H218O and H217O. Third row: water transitions with moderate upper state energies. Bottom row: water lines with high upper state energies (>400 K).

Open with DEXTER
In the text

  \begin{figure}
\par\includegraphics[angle=-90,width=14cm]{15086fg2.eps}
\end{figure} Figure 2:

Absorption feature of the blue lobe of the outflow. The spectra of the ground-state transitions of p-H216O, p-H218O, p-H217O, and o-H217O are displayed. The red line shows the dust continuum level.

Open with DEXTER
In the text

  \begin{figure}
\par\includegraphics[angle=-90, width=15.5cm]{15086fg3.eps} \vspace{-1mm}
\vspace{-1mm}
\end{figure} Figure 3:

Spectrum of H216O 110-101. The red line marks the dust continuum level. The foreground components and the two outflow components are labeled. The velocity range of the broad outflow (pedestal) is marked in light blue and the range of the narrow outflow component is marked in yellow.

Open with DEXTER
In the text


Copyright ESO 2010

Current usage metrics show cumulative count of Article Views (full-text article views including HTML views, PDF and ePub downloads, according to the available data) and Abstracts Views on Vision4Press platform.

Data correspond to usage on the plateform after 2015. The current usage metrics is available 48-96 hours after online publication and is updated daily on week days.

Initial download of the metrics may take a while.