Issue
A&A
Volume 521, October 2010
Herschel/HIFI: first science highlights
Article Number L49
Number of page(s) 5
Section Letters
DOI https://doi.org/10.1051/0004-6361/201015160
Published online 01 October 2010
A&A 521, L49 (2010)

Herschel/HIFI: first science highlights

LETTER TO THE EDITOR

Herschel/HIFI observations of Mars: First detection of O2 at submillimetre wavelengths and upper limits on HCl and H2O2[*]

P. Hartogh1 - C. Jarchow1 - E. Lellouch2 - M. de Val-Borro1 - M. Rengel1 - R. Moreno2 - A. S. Medvedev1 - H. Sagawa1,3 - B. M. Swinyard4 - T. Cavalié1 - D. C. Lis5 - M. I. B\lecka6 - M. Banaszkiewicz6 - D. Bockelée-Morvan2 - J. Crovisier2 - T. Encrenaz2 - M. Küppers7 - L.-M. Lara8 - S. Szutowicz6 - B. Vandenbussche9 - F. Bensch10 - E. A. Bergin11 - F. Billebaud12 - N. Biver2 - G. A. Blake5 - J. A. D. L. Blommaert9 - J. Cernicharo13 - L. Decin9,14 - P. Encrenaz15 - H. Feuchtgruber16 - T. Fulton17 - T. de Graauw18,19,20 - E. Jehin21 - M. Kidger22 - R. Lorente22 - D. A. Naylor23 - G. Portyankina24 - M. Sánchez-Portal22 - R. Schieder25 - S. Sidher4 - N. Thomas24 - E. Verdugo22 - C. Waelkens9 - N. Whyborn20 - D. Teyssier22 - F. Helmich18 - P. Roelfsema18 - J. Stutzki25 - H. G. LeDuc26 - J. A. Stern26

1 - Max-Planck-Institut für Sonnensystemforschung, 37191 Katlenburg-Lindau, Germany
2 - LESIA, Observatoire de Paris, 5 place Jules Janssen, 92195 Meudon, France
3 - Environmental Sensing & Network Group, NICT, 4-2-1 Nukui-kita, Koganei, Tokyo 184-8795, Japan
4 - STFC Rutherford Appleton Laboratory, Harwell Innovation Campus, Didcot, OX11 0QX, UK
5 - California Institute of Technology, Pasadena, CA 91125, USA
6 - Space Research Centre, Polish Academy of Sciences, Warsaw, Poland
7 - Rosetta Science Operations Centre, European Space Astronomy Centre, European Space Agency, Spain
8 - Instituto de Astrofísica de Andalucía (CSIC), Spain
9 - Instituut voor Sterrenkunde, Katholieke Universiteit Leuven, Belgium
10 - DLR, German Aerospace Centre, Bonn-Oberkassel, Germany
11 - Astronomy Department, University of Michigan, USA
12 - Université de Bordeaux, Laboratoire d'Astrophysique de Bordeaux, France
13 - Laboratory of Molecular Astrophysics, CAB-CSIC, INTA, Spain
14 - Sterrenkundig Instituut Anton Pannekoek, University of Amsterdam, Science Park 904, 1098 Amsterdam, The Netherlands
15 - LERMA, Observatoire de Paris, France
16 - Max-Planck-Institut für extraterrestrische Physik, Giessenbachstraße, 85748 Garching, Germany
17 - Bluesky Spectroscopy, Lethbridge, Canada
18 - SRON Netherlands Institute for Space Research, Landleven 12, 9747 AD, Groningen, The Netherlands
19 - Leiden Observatory, University of Leiden, The Netherlands
20 - Atacama Large Millimeter/Submillimeter Array, Joint ALMA Office, Santiago, Chile
21 - Institute d'Astrophysique et de Geophysique, Université de Liège, Belgium
22 - Herschel Science Centre, European Space Astronomy Centre, ESA, PO Box 78, 28691 Villanueva de la Cañada, Madrid, Spain
23 - Department of Physics and Astronomy, University of Lethbridge, Canada
24 - Physikalisches Institut, University of Bern, Switzerland
25 - KOSMA, I. Physik. Institut, Universität zu Köln, Zülpicher Str. 77, 50937 Köln, Germany
26 - Jet Propulsion Laboratory, Caltech, Pasadena, CA 91109, USA

Received 5 June 2010 / Accepted 6 July 2010

Abstract
We report on an initial analysis of Herschel/HIFI observations of hydrogen chloride (HCl), hydrogen peroxide (H2O2), and molecular oxygen (O2) in the Martian atmosphere performed on 13 and 16 April 2010 ( $L_{\rm s} \sim 77\hbox{$^\circ$ }$). We derived a constant volume mixing ratio of $1400 \pm 120$ ppm for O2 and determined upper limits of 200 ppt for HCl and 2 ppb for H2O2. Radiative transfer model calculations indicate that the vertical profile of O2 may not be constant. Photochemical models determine the lowest values of H2O2 to be around $L_{\rm s} \sim 75\hbox{$^\circ$ }$ but overestimate the volume mixing ratio compared to our measurements.

Key words: planets and satellites: atmospheres - radiative transfer - submillimeter: general - molecular processes

1 Introduction

Hydrogen chloride (HCl) is a reservoir of chlorine species and plays an important role in the atmospheric chemistry of Venus and Earth. Its detection by ground-based infrared spectroscopy (Iwagami et al. 2008) and space borne UV stellar/solar occultation observations by SPICAV/SOIR on Venus Express (Bertaux et al. 2009) provide mid atmospheric mixing ratios between 0.1 and 1 ppm in the Venusian atmosphere. Submillimetre wave observations of HCl in the Earth atmosphere have long been performed from an airplane (Wehr et al. 1995; Crewell et al. 1994). The derived relative abundances are $\sim $2 orders of magnitude smaller than in Venus ($\sim $1-3 ppb). In the Martian atmosphere HCl has not been found yet. Its detection would be an indication of present volcanic activity on Mars (Wong et al. 2003; Encrenaz et al. 2004). Krasnopolsky et al. (1997) presented a stringent upper limit of 2 ppb from high-resolution ground-based observations of Mars.

The situation is somewhat different for hydrogen peroxide (H2O2). It was detected for the first time in 2003 by Clancy et al. (2004) and Encrenaz et al. (2004) in the Martian atmosphere. The observed abundance varied between 20 and 40 ppb, consistent with photochemical model calculations (e.g.; Atreya & Gu 1994; Krasnopolsky 1993; Nair et al. 1994) for the northern fall season ( $L_{\rm s} = 206\hbox{$^\circ$ }$). H2O2 may also be produced by electrostatic discharge reactions during dust storms, in dust devils, or during normal saltation (Atreya et al. 2006). Near the surface, the concentration could exceed 200 times that produced by photochemistry alone, enough for condensation and precipitation of H2O2 to occur. In its solid phase on the surface, it may be responsible for scavenging organic material from Mars and/or present a sink of methane such that a larger source is required to maintain its steady-state abundance (e.g. Mumma et al. 2009).

Oxygen was claimed to be detected for the first time in the Martian atmosphere (in addition to water) by Very (1909). It took almost 60 years until Belton & Hunten (1968) tentatively confirmed the detection of O2 in the oxygen A band (around 763 nm) with a mixing ratio of 2600 ppm or less. They claimed that the CO/O2 ratio was two, consistent with the assumption that both gases were produced by the decomposition of CO2. By performing observations of the same wavelength range, Barker (1972) and Carleton & Traub (1972) found only 1300 ppm of O2. Since Kaplan et al. (1969) had in the meanwhile reported a reliable measurement of 800 ppm of CO, they concluded that there was an additional source of O2 namely most likely water. Molecular oxygen is a non-condensable species in the Martian atmosphere. The pressure of the Martian atmosphere oscillates annually by about a third due to the condensation and sublimation of CO2, i.e. this variation should also appear in the O2 volume mixing ratio. England & Hrubes (2004) reanalyzed the Viking lander data and found variations from 2500 to 3300 ppm. They point out that the 1300 ppm published by Owen et al. (1977) are not based on Viking measurements, but on the ground-based data cited above and claim that the amount of 3000 ppm is high enough to directly extract oxygen for use as a propellant for sample or crew return as well as for the breathing of astronauts (England & Hrubes 2001).

Table 1:   HIFI observations of HCl, H2O2 and O2 in Mars.

The observations of the HCl, H2O2, and O2 in the Martian atmosphere are part of the Herschel key programme ``Water and related chemistry in the solar system'' (Hartogh et al. 2009). This paper describes the observations and data analysis and provides the volume mixing ratios of the gases and their upper limits.

2 Herschel/HIFI observations

The set of HIFI observations was carried out between 11 and 16 April 2010 corresponding to $L_{\rm s} = 75.8\hbox{$^\circ$ }$ to 78, including spectral line surveys of bands 1a - band 6b (band 5b was not available because of technical problems) and dedicated line observations of carbon monoxide and its isotopes, and water and its isotopes. The telescope was used in a dual-beam switch mode with the source placed alternatively in one of the two beams and cold sky in the other beam, a method that yields very flat baselines (de Graauw et al. 2010; Roelfsema et al. 2010). A summary of the observations is presented in Table 1. We note that Mars was not resolved, since its apparent diameter changed from 8.1 to 8.3 $^{\prime\prime}$ during the observations. Thus, our observations provide globally averaged quantities. The HCl multiplet at 1876 GHz and the H2O2 doublet at 1847 GHz were observed on operational day (OD) 337 with 3746 and 2505 s integration times, respectively, both in the upper sideband (USB) (see Table 1). The O2 rotational transition at 774 GHz was observed twice on OD 334, once in the upper sideband with 2297 s and once in the lower sideband (LSB) with 9289 s as a side product of a dedicated line observation in the USB. The first set of data was available about a week after the observations and was processed with the standard HIPE v3.0.1 modules (Ott 2010) up to level 2. This data set remained incomplete at the start of our study, for instance the data of the high resolution spectrometer (HRS) was only partly available and pointing products therein had no entries, thus, we analyzed only the wide band spectrometer (WBS) data. This has no impact on the accuracy of the results presented in this paper, although HRS data will be useful for future work including the retrieval of vertical profiles. Since the absolute flux calibration in the data set we obtained from the Herschel Science Archive was still in progress, the line-to-continuum ratio was analyzed rather than the absolute brightness temperatures, as is standard for ground-based and other Herschel observations (Lellouch et al. 2010; Swinyard et al. 2010).

3 Analysis and discussion

Compared to cometary observations of HIFI (de Val-Borro et al. 2010; Hartogh et al. 2010b), the baseline ripple on the Mars observations is rather large, (as frequently experienced by ground-based telescope observations of planets), because of its strong continuum emission. While in the cometary case the baseline ripple has been removed with a polynomial fit, in the case of Mars we determined the baseline frequencies by a normalized periodogram according to Lomb (1976) and subtracted them from the original spectrum. This was applied separately for horizontal and vertical polarization. After removal of the baseline ripple, both polarizations were averaged. In the case of O2 observations, we found that the line strengths in both sidebands were the same, and we therefore averaged the spectra obtained in both sidebands.

The observed spectral lines were modeled using a standard radiative transfer code: Mars was assumed to be a perfect sphere surrounded by a set of a hundred concentric atmospheric layers each of 1 km thickness (compare Rengel et al. 2008). Within each layer, the atmospheric temperature, pressure, and volume mixing ratio of carbon monoxide were assumed to be constant. The surface continuum emission was modeled as black-body emission using a temperature distribution falling off towards the edge of the apparent disk according to $T(\alpha) = T_0
\times (1- 0.2 \times (1-\cos(\alpha)))$, with $\alpha$ running from 0-90 Å across the apparent disk (see also Cavalié et al. 2008). The disk-averaged emission was obtained by integrating over the apparent disk using sixty four concentric rings distributed unevenly over the disk and the limb region. The variation in the path lengths through the atmosphere were fully taken into account when calculating the radiation transfer of each ring. In our model, the total continuum flux emitted by the surface depends purely on the choice of the temperature T0, which defines the temperature scale for the temperature profile to be retrieved. We adjusted T0 in such a way to match exactly the total flux of about 4230 Jy predicted by the ``Mars continuum model'' provided by Lellouch & Amri (2008).

The absorption coefficients of the spectral lines were calculated using the JPL spectral line catalog using the terrestrial isotopic ratios. Pressure broadening coefficients for HCl and H2O2 were available only for air, while they have been measured in the laboratory in a CO2 atmosphere for O2. Most lab measurements display greater pressure broadening in a CO2 atmosphere. Its impact on the determination of upper limits is small. A 50% increase in the pressure broadening coefficient leads to an increase in the upper limit of 10-20%.

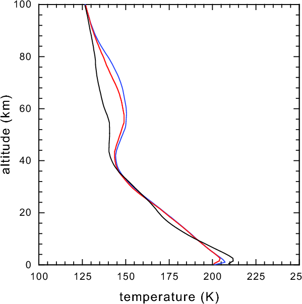
For the retrieval of the mean volume mixing ratio of the three molecules, we applied the temperature profile derived from HIFI observations of 13CO and 12C18O during OD 334 (Hartogh et al. 2010a) shown in Fig. 1.

3.1 HCl

\begin{figure}
\par\includegraphics[trim = 0 0 93mm 0,clip,width=8.5cm]{15160fg1.eps}
\end{figure} Figure 1:

Temperature profiles predicted by EMCD (blue) (Forget et al. 1999; Lewis et al. 1999), MAOAM (red) (Medvedev & Hartogh 2007; Hartogh et al. 2005), and retrieved vertical profile from simultaneous observations of 13CO and C18O.

Open with DEXTER
\begin{figure}
\par\includegraphics[width=8.5cm,clip]{15160fg2.eps} \vspace{-3mm}
\end{figure} Figure 2:

Observation of HCl centered around 1876 GHz and inserted model calculation (red) for a constant volume mixing ratio of 300 ppt.

Open with DEXTER

Figure 2 shows the result of the 3746 s integration time on the 1876 GHz H35Cl line. We have inserted a modeled spectrum of HCl assuming a constant volume mixing ratio of 300 ppt. HCl was obviously not detected. If we define a line amplitude of $2\sigma$ as the upper limit, we derive 200 ppt for HCl. This is one order of magnitude lower than the upper limit derived by (Krasnopolsky et al. 1997) from IR observations. We found no evidence of recent volcanic activity or outgassing from a hot spot on Mars. Nevertheless, the absence of HCl does not preclude extant Martian volcanic activity.

3.2 H2O2

\begin{figure}
\par\includegraphics[width=8.5cm]{15160fg3.eps}
\end{figure} Figure 3:

Observation of H2O2 spectrum at 1847 GHz in the upper sideband and inserted model calculation (red) for a constant volume mixing ratio of 3 ppb. The strong absorption feature is CO (16-15) in the lower sideband.

Open with DEXTER

Figure 3 shows the result of the H2O2 observation on 1847 GHz in the upper sideband. The integration time was 2505 s. The strong absorption feature is the CO (16-15) line. Since the line is in the lower sideband centered around 1841 GHz, it does not absorb any features of the H2O2 line. We did not detect any H2O2. A modeled H2O2 spectrum with a constant volume mixing ratio of 4 ppb has been inserted into the measured spectrum. We deduced a 2-$\sigma$upper limit of less than 3 ppb of H2O2. At first glance, this value seems far too low taking into account former observations providing 20-40 ppb (see Introduction). On the other hand H2O2, is connected to the water cycle and its high variability. Krasnopolsky (2009) compared the annual variability of H2O2 based on observations and model calculations averaged over $\pm$ $
35\hbox{$^\circ$ }$ around the subsolar latitude. Unfortunately, no other observation for $L_{\rm s} = 78\hbox{$^\circ$ }$ is available. The model calculations provided predictions for this season (Krasnopolsky 2009; Moudden & McConnell 2007; Krasnopolsky 2006; Lefèvre et al. 2008), but all overestimated the volume mixing ratio compared to our observation. Lefèvre et al. (2008) found about 10 ppb, Moudden & McConnell (2007) for $L_{\rm s} = 90\hbox{$^\circ$ }$ about 15 ppm and even the lowest value of $\sim $5 ppb calculated by Krasnopolsky (2009) is above the upper limit of our observation. Nevertheless, the photochemical models predict lowest H2O2 values for the season between $L_{\rm s} = 70\hbox{$^\circ$ }$ and  $80\hbox{$^\circ$ }$. Water vapour and its photolysis products are subject to solar cycle variations (Hartogh et al. 2010c). A low Lyman-alpha flux (observations were performed shortly after the solar minimum) may be consistent with less than average production of H2O2 in the Martian atmosphere and explain a negative deviation from the model values.

3.3 O2

The upper panel of Fig. 4 shows the HIFI observation of the 774 GHz O2 line - the first submm detection of O2 in Mars - and a model fit of a constant volume mixing ratio. The best fit provides a volume mixing ratio of $1400 \pm 120$ ppm. This value fits within the error limits to the value of 1300 ppm derived in 1972. We investigated the sensitivity of the pressure broadening coefficient to this value. We initially applied the data from Golubiatnikov & Krupnov (2003) for O2 in air: 1.62 MHz hPa-1(half width half maximum, HWHM). Taking into account the higher molecular mass of CO2 as the main collider compared with air, we multiplied the pressure broadening coefficients in 0.1 hPa steps from 1.1 to 2 and found the best fit of the model to the observation for a factor of 1.2, corresponding to 1.95 MHz hPa-1 (HWHM). We note that the mixing ratio was not found to be very sensitive to these changes, the retrieved value always remaining within the error limits. The pressure broadening factor of 1.2 is smaller than the factor of 1.4 (with CO2 rather than air being the main collider) for CO that has been found in laboratory measurements (e.g. Dick et al. 2009). The quality of the observation is excellent, the signal-to-noise ratio being higher than 300. Unfortunately, the fit is not optimal. The model underestimates the emission feature and overestimates the depth of the absorption peak. This indicates that the assumption of a constant volume mixing ratio may not be correct. Deviations from the constant profile seem to be positive in the lower and negative in the upper atmosphere. Future work will focus on the vertical profile of O2.

\begin{figure}
\par\includegraphics[width=8.8cm]{15160fg4.eps}
\end{figure} Figure 4:

Observation of O2 at 774 GHz. The best fit of a constant altitude profile infers a volume mixing ratio of $1400 \pm 120$ ppm. The lower panel shows the difference between observation and model.

Open with DEXTER

4 Summary

We have presented initial results for HIFI observations of the Martian atmosphere on HCl, H2O2, and O2. The upper limit of 200 ppt volume mixing ratio determined for HCl is one order of magnitude below the previous value. There is no indication of present volcanic activity. The upper limit to H2O2 of 2 ppb is remarkably low compared with former detections. However, this observation is the first one around $L_{\rm s} = 77\hbox{$^\circ$ }$, a season where photochemical models predict the annual minimum of H2O2. Future HIFI observations of H2O2 during other solar longitudes will provide additional constraints on photochemical models. The O2 volume mixing ratio of $1400 \pm 120$ ppm agrees with former ground-based observations. The assumption of a constant vertical profile does not lead to an optimal fit of the model to the observations. The residuals suggest an oxygen fall off with height. Future work will focus on the retrieval of the vertical O2 profile.


Acknowledgements
HIFI has been designed and built by a consortium of institutes and university departments from across Europe, Canada and the United States under the leadership of SRON Netherlands Institute for Space Research, Groningen, The Netherlands and with major contributions from Germany, France and the US. Consortium members are: Canada: CSA, U.Waterloo; France: CESR, LAB, LERMA, IRAM; Germany: KOSMA, MPIfR, MPS; Ireland, NUI Maynooth; Italy: ASI, IFSI-INAF, Osservatorio Astrofisico di Arcetri-INAF; Netherlands: SRON, TUD; Poland: CAMK, CBK; Spain: Observatorio Astronómico Nacional (IGN), Centro de Astrobiología (CSIC-INTA). Sweden: Chalmers University of Technology - MC2, RSS & GARD; Onsala Space Observatory; Swedish National Space Board, Stockholm University - Stockholm Observatory; Switzerland: ETH Zurich, FHNW; USA: Caltech, JPL, NHSC. HIPE is a joint development by the Herschel Science Ground Segment Consortium, consisting of ESA, the NASA Herschel Science Center, and the HIFI, PACS and SPIRE consortia. This development has been supported by national funding agencies: CEA, CNES, CNRS (France); ASI (Italy); DLR (Germany). Additional funding support for some instrument activities has been provided by ESA.

References

  1. Atreya, S. K., & Gu, Z. G. 1994, J. Geophys. Res., 99, 13133 [NASA ADS] [CrossRef] [Google Scholar]
  2. Atreya, S. K., Wong, A., Renno, N. O., et al. 2006, Astrobiology, 6, 439 [NASA ADS] [CrossRef] [PubMed] [Google Scholar]
  3. Barker, E. S. 1972, Nature, 238, 447 [NASA ADS] [CrossRef] [Google Scholar]
  4. Belton, M. J. S., & Hunten, D. M. 1968, ApJ, 153, 963 [NASA ADS] [CrossRef] [Google Scholar]
  5. Bertaux, J., Vandaele, A., Korablev, O., et al. 2009, in AAS/DPS, 41, 60.02 [Google Scholar]
  6. Carleton, N. P., & Traub, W. A. 1972, Science, 177, 988 [NASA ADS] [CrossRef] [PubMed] [Google Scholar]
  7. Cavalié, T., Billebaud, F., Encrenaz, T., et al. 2008, A&A, 489, 795 [NASA ADS] [CrossRef] [EDP Sciences] [Google Scholar]
  8. Clancy, R. T., Sandor, B. J., & Moriarty-Schieven, G. H. 2004, Icarus, 168, 116 [NASA ADS] [CrossRef] [Google Scholar]
  9. Crewell, S., Künzi, K., Nett, H., Wehr, T., & Hartogh, P. 1994, Geophys. Res. Lett., 21, 1267 [NASA ADS] [CrossRef] [Google Scholar]
  10. de Graauw, Th., Helmich, F. P., Phillips, T. G., et al. 2010, A&A, 518, L6 [Google Scholar]
  11. de Val-Borro, M., Hartogh, P., Crovisier, J., et al. 2010, A&A, 521, L50 [NASA ADS] [CrossRef] [EDP Sciences] [Google Scholar]
  12. Dick, M. J., Drouin, B. J., Crawford, T. J., & Pearson, J. C. 2009, J. Quant. Spect. Radiat. Trans., 110, 628 [Google Scholar]
  13. Encrenaz, T., Bézard, B., Greathouse, T. K., et al. 2004, Icarus, 170, 424 [NASA ADS] [CrossRef] [Google Scholar]
  14. England, C., & Hrubes, J. D. 2001, MARRS-Mars Atmosphere Resource Recovery System, study report available at http://www.niac.usra.edu [Google Scholar]
  15. England, C., & Hrubes, J. D. 2004, in Workshop on Oxygen in the Terrestrial Planets, ed. J. Jones, & C. Herd, 3009 [Google Scholar]
  16. Forget, F., Hourdin, F., Fournier, R., et al. 1999, J. Geophys. Res., 104, 24155 [NASA ADS] [CrossRef] [Google Scholar]
  17. Golubiatnikov, G. Y., & Krupnov, A. F. 2003, J. Mol. Spec., 217, 282 [Google Scholar]
  18. Hartogh, P., Medvedev, A. S., Kuroda, T., et al. 2005, JGR, 110, 11008 [Google Scholar]
  19. Hartogh, P., Lellouch, E., Crovisier, J., et al. 2009, Planet. Space Sci., 57, 1596 [NASA ADS] [CrossRef] [Google Scholar]
  20. Hartogh, P., B▯ecka, M. I., Jarchow, C., et al. 2010a, A&A, 521, L48 [NASA ADS] [CrossRef] [EDP Sciences] [Google Scholar]
  21. Hartogh, P., Crovisier, J., de Val-Borro, M., et al. 2010b, A&A, 518, L150 [NASA ADS] [CrossRef] [EDP Sciences] [Google Scholar]
  22. Hartogh, P., Sonnemann, G. R., Grygalashvyly, M., et al. 2010c, JGR, 115, D00117 [CrossRef] [Google Scholar]
  23. Iwagami, N., Ohtsuki, S., Tokuda, K., et al. 2008, Planet. Space Sci., 56, 1424 [NASA ADS] [CrossRef] [Google Scholar]
  24. Kaplan, L. D., Connes, J., & Connes, P. 1969, ApJ, 157, L187 [NASA ADS] [CrossRef] [Google Scholar]
  25. Krasnopolsky, V. A. 1993, Icarus, 101, 313 [NASA ADS] [CrossRef] [Google Scholar]
  26. Krasnopolsky, V. A. 2006, Icarus, 185, 153 [NASA ADS] [CrossRef] [Google Scholar]
  27. Krasnopolsky, V. A. 2009, Icarus, 201, 564 [NASA ADS] [CrossRef] [Google Scholar]
  28. Krasnopolsky, V. A., Bjoraker, G. L., Mumma, M. J., & Jennings, D. E. 1997, J. Geophys. Res., 102, 6525 [NASA ADS] [CrossRef] [Google Scholar]
  29. Lefèvre, F., Bertaux, J., Clancy, R. T., et al. 2008, Nature, 454, 971 [NASA ADS] [CrossRef] [PubMed] [Google Scholar]
  30. Lellouch, E., & Amri, H. 2008, http://www.lesia.obspm.fr/perso/emmanuel-lellouch/mars/ [Google Scholar]
  31. Lellouch, E., Hartogh, P., Feuchtgruber, H., et al. 2010, A&A, 518, L152 [NASA ADS] [CrossRef] [EDP Sciences] [Google Scholar]
  32. Lewis, S. R., Collins, M., Read, P. L., et al. 1999, J. Geophys. Res., 104, 24177 [Google Scholar]
  33. Lomb, N. R. 1976, Ap&SS, 39, 447 [NASA ADS] [CrossRef] [Google Scholar]
  34. Medvedev, A. S., & Hartogh, P. 2007, Icarus, 186, 97 [NASA ADS] [CrossRef] [Google Scholar]
  35. Moudden, Y., & McConnell, J. C. 2007, Icarus, 188, 18 [NASA ADS] [CrossRef] [Google Scholar]
  36. Mumma, M. J., Villanueva, G. L., Novak, R. E., et al. 2009, Science, 323, 1041 [NASA ADS] [CrossRef] [PubMed] [Google Scholar]
  37. Nair, H., Allen, M., Anbar, A. D., Yung, Y. L., & Clancy, R. T. 1994, Icarus, 111, 124 [NASA ADS] [CrossRef] [PubMed] [Google Scholar]
  38. Ott, S. 2010, Astronomical Data Analysis Software and Systems XIX, ed. Y. Mizumoto, K.-I. Morita, & M. Ohishi, ASP Conf. Ser., in press [Google Scholar]
  39. Owen, T., Biemann, K., Biller, J. E., et al. 1977, J. Geophys. Res., 82, 4635 [NASA ADS] [CrossRef] [Google Scholar]
  40. Rengel, M., Hartogh, P., & Jarchow, C. 2008, Planet. Space Sci., 56, 1368 [NASA ADS] [CrossRef] [Google Scholar]
  41. Roelfsema, P. R., Helmich, F. P., Teyssier, D., et al. 2010, A&A, submitted [Google Scholar]
  42. Swinyard, B. M., Hartogh, P., Sidher, S., et al. 2010, A&A, 518, L151 [NASA ADS] [CrossRef] [EDP Sciences] [Google Scholar]
  43. Very, F. W. 1909, Science, 30, 678 [NASA ADS] [CrossRef] [PubMed] [Google Scholar]
  44. Wehr, T., Crewell, S., Künzi, K., et al. 1995, J. Geophys. Res., 100, 20957 [NASA ADS] [CrossRef] [Google Scholar]
  45. Wong, A., Atreya, S. K., & Encrenaz, T. 2003, J. Geophys. Res. (Planets), 108, 5026 [NASA ADS] [CrossRef] [Google Scholar]

Footnotes

... H2O2[*]
Herschel is an ESA space observatory with science instruments provided by European-led Principal Investigator consortia and with important participation from NASA.

All Tables

Table 1:   HIFI observations of HCl, H2O2 and O2 in Mars.

All Figures

  \begin{figure}
\par\includegraphics[trim = 0 0 93mm 0,clip,width=8.5cm]{15160fg1.eps}
\end{figure} Figure 1:

Temperature profiles predicted by EMCD (blue) (Forget et al. 1999; Lewis et al. 1999), MAOAM (red) (Medvedev & Hartogh 2007; Hartogh et al. 2005), and retrieved vertical profile from simultaneous observations of 13CO and C18O.

Open with DEXTER
In the text

  \begin{figure}
\par\includegraphics[width=8.5cm,clip]{15160fg2.eps} \vspace{-3mm}
\end{figure} Figure 2:

Observation of HCl centered around 1876 GHz and inserted model calculation (red) for a constant volume mixing ratio of 300 ppt.

Open with DEXTER
In the text

  \begin{figure}
\par\includegraphics[width=8.5cm]{15160fg3.eps}
\end{figure} Figure 3:

Observation of H2O2 spectrum at 1847 GHz in the upper sideband and inserted model calculation (red) for a constant volume mixing ratio of 3 ppb. The strong absorption feature is CO (16-15) in the lower sideband.

Open with DEXTER
In the text

 \begin{figure}
\par\includegraphics[width=8.8cm]{15160fg4.eps}
\end{figure} Figure 4:

Observation of O2 at 774 GHz. The best fit of a constant altitude profile infers a volume mixing ratio of $1400 \pm 120$ ppm. The lower panel shows the difference between observation and model.

Open with DEXTER
In the text


Copyright ESO 2010

Current usage metrics show cumulative count of Article Views (full-text article views including HTML views, PDF and ePub downloads, according to the available data) and Abstracts Views on Vision4Press platform.

Data correspond to usage on the plateform after 2015. The current usage metrics is available 48-96 hours after online publication and is updated daily on week days.

Initial download of the metrics may take a while.