| Issue |
A&A
Volume 521, October 2010
|
|
|---|---|---|
| Article Number | A64 | |
| Number of page(s) | 14 | |
| Section | Cosmology (including clusters of galaxies) | |
| DOI | https://doi.org/10.1051/0004-6361/201015208 | |
| Published online | 21 October 2010 | |
The evolution of cool-core clusters
J. S. Santos1 - P. Tozzi1 - P. Rosati2 - H. Böhringer3
1 - INAF, Osservatorio Astronomico di Trieste, via G.B. Tiepolo 11, 34131 Trieste, Italy
2 -
European Southern Observatory, Karl-Schwarzchild Strasse 2, 85748 Garching, Germany
3 -
Max-Planck-Institut für extraterrestrische Physik, Giessenbachstraße, 85748 Garching, Germany
Received 14 June 2010 / Accepted 4 August 2010
Abstract
Context. Cool-core clusters are characterized by strong
surface brightness peaks in the X-ray emission from the Intra Cluster
Medium (ICM). This phenomenon is associated with complex physics
in the ICM and has been a subject of intense debate and investigation
in recent years. The evolution of cool-cores is still poorly
constrained because of the small sample statistics and the
observational challenge of analysing high redshift clusters.
Aims. In order to quantify the evolution in the cool-core
cluster population, we robustly measure the cool-core strength in a
local, representative cluster sample, and in the largest sample of
high-redshift clusters available to date.
Methods. We use high-resolution Chandra data of three
representative cluster samples spanning different redshift ranges:
(i) the low redshift sample from the 400 Square
degree (SD) survey with median
;
(ii) the high redshift sample from the 400 SD Survey with median
;
and (iii) 15 clusters drawn from the Rosat Distant Cluster Survey and the Wide Angle Rosat Pointed Survey, with median
.
Our analysis is based on the measurement of the surface brightness concentration,
(Santos et al. 2008, A&A, 483, 35), which allows us to
characterize the cool-core strength in low signal-to-noise data. We
also obtain gas density profiles to derive cluster central cooling
times and entropy. In addition to the X-ray analysis, we search for
radio counterparts associated with the cluster cores.
Results. We find a statistically significant difference in the
distributions of the two high-z samples, pointing towards a lack of concentrated clusters in the 400 SD high-z
sample. Taking this into account, we confirm a negative evolution in
the fraction of cool-core clusters with redshift, in particular for
very strong cool-cores. This result is validated by the central entropy
and central cooling time, which show strong anti-correlations with
.
However, the amount of evolution is significantly smaller than
previously claimed, leaving room for a large population of well formed
cool-cores at
.
Finally, we explore the potential of the proposed X-ray mission Wide
Field X-ray Telescope to detect and quantify cool-cores up to z = 1.5.
Key words: X-rays: galaxies: clusters - galaxies: clusters: interacluster medium, galaxies: high-redshift
1 Introduction
X-ray observations show that the majority of local clusters have a
prominent central surface brightness peak. In addition, the inferred
cooling time of the intracluster medium in the core region is much
shorter than the dynamical time of the cluster, implying the presence
of a cooling flow
(Fabian et al. 1994). However, the minimum temperature in the center is only a factor of
3
lower than the ambient temperature, therefore the gas does not appear
to cool massively to low temperatures. The properties and the formation
mechanism of these cool-cores (CC) are an open problem which
forces one to consider complex non-gravitational physical processes in
order to provide smoothly distributed heating on scales of about
100 kpc. A successful model is expected to include phenomena such
as radiative cooling, heating by a central radio source, thermal
conduction or other forms of feedback (see Peterson & Fabian 2006, and references therein).
The impact of cool-cores on the local cluster population has been extensively studied for over a decade (Peres et al. 1998). Occasionally, the cool-core phenomenon is described as a bimodal feature, with a clear separation between cool-cores and non cool-core clusters on the basis of the central value of the ICM entropy (e.g. Sanderson et al. 2009; Cavagnolo et al. 2009). Concurrently though, several works have distinguished between three regimes of cooling, with an intermediate category bridging the extremes (Leccardi et al. 2010; Bauer et al. 2005; Morandi & Ettori 2007). Contrary to the bimodal scenario, this approach suggests a gradual transition from the non cool-core to the cool-core status, with profound implications on the time scale and thus the nature of the heating mechanism.
A crucial aspect here is a proper definition of cool-core, since a variety of methods or cooling estimators have been proposed to classify and quantify cool cores in local clusters, producing results that occasionally lead to different interpretations. A comprehensive review and comparison of 16 different cooling estimators has been recently published by Hudson et al. (2010), using the local sample HIFLUCGS (Reiprich & Böhringer 2002). In this work, the central cooling time was selected as the most efficient probe to quantify cool-cores.
The quality of the cooling estimator is an important issue to consider because it depends significantly on the signal-to-noise ratio of the X-ray data, and therefore changes considerably for high-redshift clusters with respect to local ones. This aspect is particularly relevant since the evolution of cool-core clusters is a major piece of information in order to constrain the cool-core physics.
X-ray observations have established that cool-cores dominate
the local cluster population, with an abundance of 50 to 70% (e.g.
Chen et al. 2007; Dunn & Fabian 2008; Hudson et al. 2010). The evolution of cool-cores has been measured up to redshift 0.4. Using the high-z end of the BCS sample Bauer et al. (2005) concluded that the fraction of cool-cores does not
significantly evolve up to
.
Their results, based on spatially resolved spectroscopy, showed that
clusters in this redshift range have the same temperature decrement
(about one-third), as the nearby CC's, and in addition, their central
cooling times are similar.
Table 1: 400 SD low redshift sample.
At present, about twenty X-ray clusters with z>1 have been confirmed. While most of them were detected in ROSAT surveys, a significant fraction of serendipitous high-z clusters has been added in recent years thanks to the XMM-Newton archive. Nevertheless, the largest distant cluster samples with sufficiently deep follow-up observations are still the ones from ROSAT. Therefore, the study of the presence of cool-cores at redshift greater than 0.5 is plagued by low statistics, and currently is limited to two works. Using the 400 Square Degree Survey (hereafter 400 SD, Burenin et al. 2007) which reaches z=0.9, Vikhlinin et al. (2007) concluded, on the basis of a cuspiness parameter defined as the logarithmic derivative of the density profile, that there is a lack of cool-core clusters at 0.5 < z < 0.9, with respect to the local cluster population. They propose that such a strong negative evolution may be related to the higher cluster merging rate expected at these redshifts.
In Santos et al. (2008),
we adopted a simple diagnostic based on the concentration of the
surface brightness (which strongly anti-correlates with the central
cooling time), and measured the fraction of cool-cores out to the
current redshift limit (
)
using mostly the RDCS sample. At variance with previous results, we
found a significant fraction of what we term moderate cool-cores. To
clarify these results we need a more detailed investigation as we
propose in this Paper.
We present a comprehensive analysis of the characterization and abundance of cool-cores across the entire cluster population, out to the current highest redshift where clusters have been detected in the X-ray band. To this aim we analysed 3 representative samples corresponding to three different redshift ranges, using only Chandra data. The high-resolution and low background of Chandra are the key features that distinguish it as the only X-ray observatory capable of unveiling the small cores of distant clusters. Our analysis, based on the observed surface brightness and a simple concentration parameter (Santos et al. 2008), is uniform and robust over the entire explored range of redshifts. This investigation enables us to assess the impact of detection bias in the high-z cluster samples, and to measure on solid ground the evolution of cool-core cluster distribution. Furthermore, we investigate the presence of radio sources associated with the cluster cores by exploring the NVSS archive. Finally, we assess the potential of the next generation X-ray survey mission Wide Field X-ray Telescope (WFXT, Giacconi et al. 2009) in measuring the cool-core evolution.
The paper is organized as follows: in Sects. 2 and 3 we describe
the low and high redshift samples, respectively. In Sect. 4 we
describe the data reduction and analysis, devoting Sect. 5 to a careful
investigation of the surface brightness concentration parameter.
In Sect. 6 we perform surface brightness fits to the data using the
well-known
-models.
The entropy profiles and a histogram of K20 are discussed in
Sect. 7, and the cooling time distribution follows in
Sect. 8. In Sect. 9 we investigate the presence of radio
sources in cool-core and non cool-core clusters. Section 10 is
devoted to the future perspective with a next-generation X-ray survey
mission. Our conclusions are summarized in Sect. 11. The
cosmological parameters used throughout the paper are:
H0 = 70 km s-1/Mpc,
and
.
2 The low redshift sample
The measured fraction of local cool-core clusters
ranges from 70-90% (Peres et al. 1998, from the B55 sample),
to 49% (Chen et al. 2007, from the HIFLUGCS sample),
45% (Sanderson et al. 2009, from a subsample of HIFLUGCS), and more recently 44-72% (Hudson et al. 2010,
from the HIFLUGCS sample). The differences in these fractions are
mostly due to different definitions of cool-core. To date, Hudson
et al. (2010) is the only
exhaustive work that explores the definition of cool-core and compares
the currently used methods to quantify it. After examining
16 different cool-core diagnostics, they conclude that the central
cooling time is the best parameter for low redshift clusters with high
quality data, and the surface brightness concentration,
,
presented in
Santos et al. (2008),
is chosen as the best parameter for distant clusters. These results
reinforce our strategy to apply the same concentration diagnostics to
local and distant cluster samples, and compare directly the measured
distributions, avoiding the use of a sharp threshold in the definition
of the cool-core strength.
The local cluster sample used in this work is drawn form the
catalog of the 400 Square Degree (SD) Survey (Burenin et al. 2007), an X-ray survey which detected 266 confirmed galaxy clusters, groups or
individual elliptical galaxies out to
using archival ROSAT
PSPC observations. The sample is complete down to a flux limit of
erg s-1 cm-2.
We extract a subsample of clusters observed with Chandra with z
> 0.05, in order to be able to sample the surface brightness
profiles out to a radius of 400 kpc within the field of view.
Hence, our local sample spans the redshift range [0.05-0.217] (with a
median redshift
)
and includes 28 clusters (see Table 1 and Fig. 1).
The well-known clusters Hydra-A and S1101, which show a very strong
cool-core, are imaged only with ACIS-S and therefore we do not use them
in our analysis.
3 The distant cluster samples
Beyond redshift 0.5 there are only three X-ray complete cluster samples, all selected from ROSAT PSPC pointed observations.
They are: (i) the 400 SD (Burenin et al. 2007) high-z sample which include all clusters from the 400 SD catalog with
;
(ii) the Rosat Deep Cluster Survey (RDCS, Rosati et al. 1998); and (iii) the Wide Angle ROSAT Pointed Survey (WARPS, Jones et al. 1998).
These samples are still limited by small number statistics.
Furthermore, observations of distant clusters undergo a strong surface
brightness dimming
(1+z)-4 and
have a small angular size, thus the study of their central regions requires the high-resolution provided only by Chandra.
Its excellent spatial resolution is mandatory to measure the central
surface brightness of high redshift clusters, to the point that even
the use of XMM-Newton, with a much larger collecting area but with a
poorer resolution, would not be suitable for our study.
While the distant 400 SD sample has been fully observed with Chandra, the RDCS and WARPS samples have been only partially observed with a Chandra
follow up. For this reason, we merge them into the RDCS+WARPS sample.
We point out that the RDCS+WARPS samples reach lower fluxes in
comparison with the 400 SD sample, and therefore include the
highest redshift clusters.
Current X-ray surveys from serendipitous pointings, such as the XMM-LSS (Pierre et al. 2006), the XMM-Newton Cluster Survey (Sahlén et al. 2009), the XMM-Newton Distant Cluster Project (XDCP
, Böhringer et al. 2005), and the Swift X-ray Cluster Survey (Moretti et al. 2010, in prep.) will add new
X-ray clusters in
the next years. However, new detections will need an appropriate Chandra
follow-up to have a better spatial resolution (in case of clusters
detected with other instruments) or a better signal-to-noise ratio (in
case of cluster discovered in shallow Chandra images).
Another fundamental aspect is that in order to derive meaningful constraints on the evolution of high-z clusters, we must use samples with a well defined selection function. The three
high redshift samples used in this work are consistent with each other in terms of number counts (see Burenin et al. 2007), hence they do not have evident bias in their selection function.
|
Figure 1:
Low-z cluster
sample drawn from the 400 SD survey. Images are normalized by the
exposure maps and smoothed with a gaussian kernel of 3 pixel. The
images have a size of
|
| Open with DEXTER | |
3.1 The 400 SD high-z sample: 0.5 < z < 0.9
This sample (see Table 2, Fig. 2) includes 20 clusters with 0.5 < z < 0.9. This is a subsample of the list of clusters used in Vikhlinin et al. (2009b) to constrain cosmological parameters. We opted not to use the same sample (starting at z = 0.35) to avoid evolutionary effects within the sample, and in order to have an average redshift comparable to that of the RDCS+WARPS sample. All clusters have been observed with Chandra with an exposure time long enough to gather at least 2000 net counts for each cluster. Therefore the quality of these images is suitable for our study.
Table 2: 400 SD high z sample.
3.2 The RDCS+WARPS sample: 0.6 < z < 1.3
|
Figure 2:
400 SD high-z
sample. Images are normalized by the exposure maps and smoothed with a
gaussian kernel of 3 pixel. The images have a size of
|
| Open with DEXTER | |
The RDCS has provided a deep, large area, X-ray selected cluster
sample, with 115 spectroscopically-confirmed X-ray clusters of
galaxies at
erg s-1 cm2 in the soft-band, selected from an area of 50 deg2, in a
homogeneous and objective manner via a serendipitous search in ROSAT PSPC deep pointings. A deeper subsample with
erg s-1 cm2 is defined over a more limited area of 5 deg2. To date, this subsample has the
greatest number of spectroscopically identified distant clusters, with 11 at z > 0.6 for
erg s-1 cm2, and 17 for
erg s-1 cm2.
The WARPS is an X-ray selected survey for high redshift galaxy clusters
based on serendipitous detections in targeted ROSAT PSPC
observations. The survey covers an area of 71 deg2 and contains a complete sample of 129 clusters with a flux limit of
erg s-1 cm2.
The merged sample (see Table 3, Fig. 3) includes all clusters from the RDCS with redshift greater than 0.6 (10 out of 15 objects) observed with Chandra, in addition to 7 (out of 12) WARPS clusters with similar data. There is an overlap of 2 objects between the two samples (RDCS J0542-4100, WARP J0152.7-1357N), hence the combined sample has a total of 15 clusters. We note that four clusters are common to the RDCS+WARPS and the 400 SD high-z: WARP J1120.1+4318, RDCS J0542-4100, WARP J0152.7-1357N and WARP J1226.9+3332.
Table 3: RDCS+WARPS sample.
4 Data reduction and spectral analysis
All data was taken from the public Chandra archive. We
performed a standard data reduction starting from the level = 1 event
files, using the CIAO 4.1 software package, with a recent
version of the Calibration Database (CALDB 4.2). For
observations taken in the VFAINT mode we ran the task acis_process_events to flag background events that are most
likely associated with cosmic rays and distinguish them from real
X-ray events. With this procedure, the ACIS particle background can be
significantly reduced compared to the standard grade selection. We
also apply the CTI correction to the observations taken when the
temperature of the Focal Plane was 153 K. This procedure allows to
recover the original spectral resolution partially lost because of the
CTI. The correction applies only to ACIS-I chips, since the ACIS-S3
did not suffer from radiation damage. The data is filtered to include
only the standard event grades 0, 2, 3, 4 and 6. We checked visually
for hot columns left after the standard reduction. We identify the
flickering pixels as the pixels with more than two events contiguous
in time, where a single time interval was set to 3.3 s. For exposures
taken in VFAINT mode, there are practically no flickering pixels left
after filtering out bad events. We finally filter time intervals with
high background by performing a 3
clipping of the background
level using the script analyse_ltcrv. The removed time intervals
always amount to less than 5% of the nominal exposure time for ACIS-I
chips. We remark that our spectral analysis is not affected by any
residual flare, since we are always able to compute the background
from source-free regions around the clusters from the same observation
(see below), thus taking into account any possible spectral distortion
of the background itself induced by the flares.
|
Figure 3:
RDCS+WARPS sample. Images are normalized by the exposure maps and
smoothed with a gaussian kernel of 3 pixel. The individual images
have a size of
|
| Open with DEXTER | |
For the clusters in the distant samples, we perform a simple spectral
analysis extracting the spectrum of each source from a circular region
with radius
centered around the X-ray centroid. The background is always obtained
from empty regions of the chip in which the source is located. This is
possible since all the distant clusters have an extension of less than
3 arcmin (corresponding to a range in physical size of
1100-1500 kpc), as opposed to the 8 arcmin size of the
ACIS-I/-S chips. The background file is scaled to
the source file by the ratio of the geometrical area. In principle, the
background regions may partially overlap with the outer virialized
regions of the clusters. However, the cluster emission from these
regions is negligible with respect to the instrumental background, and
does not affect our results. Our background subtraction procedure, on
the other hand, has the advantage of providing the best estimate of
the background for that specific observation. The response matrices
and the ancillary response matrices of each spectrum are computed
respectively with mkacisrmf and mkwarf, for the same
regions from which the spectra are extracted.
The spectra are analysed with XSPEC v12.5 (Arnaud et al. 1996) and fitted with a single-temperature mekal model (Kaastra 1992; Liedahl et al. 1995) using the solar abundance of Grevesse & Sauval (1998). The
fits are performed over the energy range 0.5-8.0 keV. The free
parameters in our spectral fits are temperature, metallicity and
normalization. Local absorption is fixed to the Galactic neutral
hydrogen column density (
)
taken from Wilms et al. (2000). We used Cash statistics applied to the source plus background, which is
preferable for low S/N spectra (Nousek & Shue 1989).
Redshifts are known from the literature for all the sources. The X-ray
luminosity is computed in the rest-frame soft-band after extrapolating
the surface brightness up to 1 Mpc (see Sect. 6). Best-fit
temperatures and luminosities as shown in Tables 2 and 3. We also attempted to detect
temperature gradients by dividing the cluster emission into an inner
and an outer region, roughly with the same number of net counts.
However, the difference between the two best fit values are generally
much smaller than the one sigma error bars, hampering any meaningful
conclusion on the presence of gradients in the high-redshift sample.
We ascribe this result to the systematic bias towards higher
temperatures when the signal-to-noise ratio is degraded in thermal
spectra (see Leccardi & Molendi 2007). This effect
tends to cancel the temperature gradients expected in cool-core clusters, making it impossible to characterize
high redshift cool-cores on the basis of a spectral analysis.
For the local sample, a spatially resolved spectral analysis is in principle possible, given the much larger signal-to-noise. However, for simplicity we rely on the temperature and luminosity values measured by Cavagnolo et al. (2009) and Vikhlinin et al. (2009a) (see Table 1).
5 Surface brightness concentration, c
The simplest observational signature of the presence of a cool-core is a central spike in the surface brightness profile. This is also the only possible diagnostic we can apply to high redshift clusters given the difficulty in performing spectral analysis to detect the temperature decrease in the core region. There are two ways to evaluate the central spike: fitting a surface brightness profile and measuring the inner slope, or measuring the integrated emission within a given radius. The first method requires high signal-to-noise and suffers from systematics due to the choice of the fitting model. The second approach, which relies on integrated quantities, has the great advantage to be robust and minimizes the noise.
In Santos et al. (2008) we defined the phenomenological parameter
that quantifies the excess emission in a cluster core by
measuring the ratio of the surface brightness within a radius of
40 kpc with respect to the SB within a radius of 400 kpc:
kpc). We note that using the slightly different definition
,
does not significantly improve the sensitivity of this estimator. This
simple parameter has been shown to be robust and particularly useful
when dealing with the low S/N data of distant clusters (e.g., Hudson
et al. 2010).
Instead, the cuspiness parameter (Vikhlinin et al. 2007)
is based on the central density slope, which is more sensitive to the
details in the SB profile. Given the range of signal-to-noise of our
objects, the results based on the measured slope of the inner SB may be
affected by large variance in the best fitting values. On the other
hand, our parameter
is based on simple photometry, and it provides an
homogeneous characterization of our cluster sample which spans a wide range of S/N.
We validated the redshift independence of
(apart from possible K-corrections as described in the next
subsection) by cloning low-z clusters to high redshift, therefore
can be directly applied to the distant samples.
In addition, we also showed that
strongly anti-correlates
with the central cooling time. Therefore we use this parameter to
characterize the cluster population at high redshift, and, in order
to have a fair comparison, we also apply
the same diagnostics to the local clusters.
We stress that working with a physical size instead of a
scaled radius for the cooling region is crucial for this study. In Santos et al. (2008) we
discussed at length this aspect and we concluded that the cooling
radius does not evolve significantly with redshift, which is expected
since the cool core phenomena is related with non-gravitational physics.
In this analysis we use the Chandra images in the soft-band
(0.5-2.0 keV), after accounting for the vignetting effect computed
at 1.5 keV. This is achieved by normalizing the exposure maps to the
total exposure time and dividing the images by the normalized
maps. This correction is particularly relevant for the measurement of
in the local clusters, given their larger extension which
implies a larger vignetting correction. With this procedure we also
automatically correct for the gaps between the detector chips. In a
few cases (A478, A2597, observed only with ACIS-S, and A85,
whose
observation lies close to the edge of one of the ACIS-I chips),
the 400 kpc radius lies beyond the edge of the observed field. In
these cases the measurement of
requires an extrapolation of the surface brightness from about 300 kpc to 400 kpc according to the best fit
-model, as described in Sect. 6.
5.1 K-correction applied to the c
parameter: ``beheading''
A cluster with a single temperature ICM will be observed with the
same value of
at any redshift. However, in the presence of a cool-core, the spectral emission from the central region would have a
softer spectrum with respect to the higher-temperature emission from
the outer regions. This would introduce a different amount of
K-correction between the inner 40 kpc emission and the total 400 kpc
emission. For distant clusters it is impossible to derive the
rest-frame
value, since it would require the knowledge of the temperature profile of the ICM. However, in order to compare the
distribution of local and distant clusters, we can follow the alternative approach of applying the K-correction
to local clusters as if they were at the average redshift of the
distance cluster sample. This is possible since we can exploit the
knowledge of the temperature profiles in local clusters. We apply the K-correction
in the assumption of no evolution of the temperature and metallicity
profile, in order to test the null hypothesis of no evolution in the
CC population.
We proceed as follows. We select a subsample of local clusters with a
wide range of cool-core strength, with a signal-to-noise ratio large
enough to allow us to perform spatially resolved spectroscopy. The
clusters are listed in Table 4. All the clusters are
observed with ACIS-I, and the radius corresponding to 400 kpc is
always within the observed field. We divide the clusters into rings
with equal number of net detected counts (about 3000 in the soft-band)
and we measure the projected temperature and metallicity
.
In Table 4 we also show the minimum and maximum
temperatures measured in each cluster. After freezing the best fit
parameters in each ring, we simulate the expected net counts for the
same cluster at different redshifts, including therefore the most
accurate K-correction. From the cloned surface brightness profile we
measure the
values at different redshifts. In this way we
are able to quantify the apparent evolution of
as a function
of redshift for the same cluster. The effect of this apparent
evolution, uniquely due to the X-ray K-correction, must be removed when comparing local and distant clusters.
Table 4:
Clusters used to compute the effect of
K-correction on
.
We approximate the apparent evolution of the
parameter as a
function of redshift for this set of clusters. As shown in Fig. 4, the average behavior of
for cool-core
clusters can be described with a simple power law. For strong
cool-core clusters, we have roughly
,
with
,
which implies a decrease of about 13% at
.
On the other hand, for weaker cool-cores (lower
)
we
expect a slower evolution. The K-correction is null for a flat
temperature profile. We indeed find that
correlates with the
minimum temperature, as shown in Fig. 5.
In order to predict an unbiased
distribution at high-z we
need to apply a correction of the order ![]()
as a function of
redshift and cool-core strength (or minimum central temperature). A
simple approximation, shown by the dashed line in Fig. 5
reads:
|
(1) |
with a maximum value
We also checked that the different values of the Galactic hydrogen column density, both in the local and in the high-z samples, do not significantly affect the measured
.
The corrections are expected to be below 1-2%, and therefore we neglect this small effect.
|
Figure 4:
|
| Open with DEXTER | |
|
Figure 5:
Exponent |
| Open with DEXTER | |
5.2 The c
distributions
|
Figure 6:
Left: distributions of
|
| Open with DEXTER | |
Before comparing the
distribution of the local and distant
samples, we compare the two distant samples separately. Their
distributions are shown in Fig. 6, left panel.
Quite unexpectedly, the shape and range of the two high-z
distributions
are statistically different. We perform a K-S test and
find a null hypothesis probability of 0.6%, implying that the two
distant samples do have different distributions of cool-core strength.
Taking into account that there are four clusters common to both
samples, we repeated the test twice removing the common clusters from
each sample and assigned them to the other one. This does not
significantly affect the result of the K-S test, since we obtain null
probabilities of 0.1% and 0.3%. The 400 SD high-z reaches
,
with median
,
whereas the RDCS+WARPS reaches
,
with a median
value
equal to 0.082. The RDCS+WARPS clusters have thus a
significantly higher surface brightness concentration with respect to
the 400 SD clusters, as can be appreciated by a visual inspection of
the cluster physical morphologies shown in Figs. 2 and 3.
The difference in the surface brightness concentration between the two
samples is confirmed by the
-model
fitting performed in Sect. 6. These results point to a smaller
dynamical range in surface brightness in the 400 SD high-z, relative to the RDCS+WARPS.
We can exclude significant effects from K-correction or intrinsic
evolution, given the large redshift overlap between the two samples,
even though the RDCS+WARPS sample reaches a higher redshift (z = 1.27)
with respect to the 400 SD high-z. Both the RDCS+WARPS and the 400 SD
are samples based on ROSAT data, but are built with different selection
criteria.
We argue that this difference is likely due to a bias of the detection
algorithm used in the 400 SD survey against compact clusters with
a relatively high mean surface brightness. This does not lead
necessarily to sample incompleteness, as a different detection
sensitivity for varying
and core radii is taken into account when computing the selection
function and the corresponding survey volume. This likely explains why
number counts and luminosity functions of the three surveys are in very
good agreement with each other. To check for these effects, we need to
perform a detailed comparison of the selection criteria in the three
surveys. This task goes beyond the scope of this work. In order to
investigate the evolution of the cool-core cluster population, we
decide to use the RDCS+WARPS only.
The K-corrected
distribution of the local sample (shown on the right panel of Fig. 6) spans a broad range of values and reaches
,
with a significant peak at low
(
0.04) and a median
equal
to 0.079. We do not find any hint of a cool-core / non cool-core
bimodality, as sometimes claimed in the literature (e.g., Sanderson
et al. 2009), however we believe that higher statistics are needed to check for this effect.
We performed a K-S test comparing the local and distant RDCS+WARPS samples and found a null hypothesis probability of p = 16%,
showing that the two
distributions are comparable.
Therefore, in our analysis we find that the bulk of the populations of
distant and local clusters have comparable cool-core strength, despite the absence of strong cool-core clusters at high-z.
Qualitatively, our findings are compatible with a
significant population of cool-core clusters already at redshift
(5 Gyr after the Big Bang), while strong cool-cores must
wait for a longer time span before they can develop (9 Gyr if they
appear below
). To reinforce these constraints, it is
necessary to use larger samples of high-z clusters and to attempt a
better characterization of distant cool-cores. The first occurrence
is strongly limited by the lack of wide area cluster survey in the
Chandra and XMM-Newton era, while the second strategy
would require the use of a significant amount of Chandra time.
It would be worth pursuing at best these two strategies, since the
alternative is waiting for the next generation wide-area X-ray surveys with high spatial resolution.
For completeness we also report the results obtained using the local and distant 400 SD samples. The K-S test provides a probability of 0.5% that the two samples are drawn from the same distribution. This would be in agreement with the claim of strong cool-core evolution made by Vikhlinin et al. (2007). However we remark that such result, at odds with our findings, is unlikely to be a fair description of the cluster population at redshift greater than 0.5.
We assessed the impact of the 10 missing clusters from the RDCS+WARPS sample, i.e. clusters which have not been observed with Chandra, in our results. Assuming that all missing clusters are non-CC, the most conservative estimate of the fraction of CC in the RDCS+WARPS sample is 30%, which is significantly higher than the 10% fraction in the 400 SD high-z samples. Hence, we conclude that our results are not substantially affected by this incompleteness.
6 Surface brightness profile fitting
In this Section we derive a detailed description of the surface brightness profiles of the clusters in our sample, which will be later used to compute the gas density profiles, the entropy and the central cooling times. Unless one has very precise data, the isothermalDistant clusters have a small angular size and low photon statistics,
therefore a single-
-model provides a good fit to the
radial profiles. Our attempts to fit a double
-models to
high-z clusters resulted in very small improvements,
confirming that diagnostics based on surface brightness gradients
rather than integral quantities, are more prone to statistical noise.
Our fitting procedure, based on a Levenberg-Marquardt algorithm, constrain the parameter
to the range
.
Our fitting function has the form
|
(2) |
where S0 is the central surface brightness,
Given the much larger signal-to-noise ratio, local clusters require a
double
-model fit in order to properly describe the core.
For the low-z sample our fitting function reads:
|
(3) |
|
Figure 7:
Correlation between the single |
| Open with DEXTER | |
In the following, we will use the results of this Section to derive the entropy and cooling time of the clusters.
|
Figure 8:
X-ray soft-band luminosity |
| Open with DEXTER | |
7 Entropy profiles and central entropy
Entropy is a fundamental property of the intracluster medium, more so
than either temperature or density alone. The specific intracluster
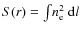
entropy, K, describes the thermodynamical history of the gas, and is defined as:
|
(4) |
where T and
The gas density profiles were obtained by deprojecting the surface brightness profiles along the line of sight,
.
We apply the simple and convenient
-model
approximation to describe the surface brightness profiles, and use the
best-fit model parameters derived in Sect. 6. The entropy profiles
obtained in physical units are presented Fig. 9. Again we compare the two distant samples (see top panel of Fig. 9), but most
importantly, we compare entropy of the local and the RDCS+WARPS clusters, presented in the bottom panel of Fig. 9. All profiles are very similar beyond r = 300 kpc.
The turn over of the profiles takes place at a radius r = 100-150 kpc, which marks the
transition from the core region to the cluster outer part.
We have a good agreement with other works that present profiles of distant clusters, such as
Morandi & Ettori (2007) that present
entropy profiles of a sample of X-ray luminous clusters with
0.1 < z < 0.8, observed with Chandra. They find a high similarity between the entropy profiles of the low-z and distant clusters, outside the core region.
The central entropy of the local clusters shows a large spread at very small radii, below 20 kpc. This is in part caused by the very steep inner slopes of the profiles of cool-core clusters, that can be resolved down to very small scales (2 kpc).
|
Figure 9: Comparison between the entropy profiles of the two distant samples (top), and the 400 SD low-z relative to the RDCS+WARPS sample (bottom). |
| Open with DEXTER | |
7.1 Central entropy
In order to assess and compare the state of the ICM in the core of both the nearby and distant clusters, we measured the central entropy at a radius of 20 kpc (K20), a bound imposed by the resolution limit of the most distant objects. The distribution of K20 for the local and RDCS+WARPS samples is shown in Fig. 10. To quantify the agreement of these distributions and thus assess the evolution of core entropy, we performed a K-S test. The probability that the 400 SD low-z and the RDCS+WARPS are associated with the same parent distribution is 24%. In contrast, the probability that both 400 SD samples originate from the same distribution is a mere 5%. We note however that the local sample spans a much wider range of entropy, relative to the distant clusters: K20 (local) = [35-415] keV/cm2, whereas K20 (RDCS+WARPS) = [76-197] keV/cm2.
|
Figure 10: Distribution of the entropy measured at 20 kpc. |
| Open with DEXTER | |
In addition to comparing the central entropy of the local and distant
clusters, we also investigated a correlation between K20 and
.
The result is presented in Fig. 11
and shows a strong anti-correlation between these two quantities. A
Spearman rank test confirms this relation with a coefficient
.
|
Figure 11:
Correlation between central entropy K20 and the phenomenological parameter
|
| Open with DEXTER | |
As mentioned earlier, we used the global cluster temperature to
compute K20, which may introduce a bias in the result, in
particular for the local clusters that are well resolved down to a few
kpc. Since all local clusters were independently analyzed by Cavagnolo
et al., we used the cluster temperatures measured in the innermost
bin (corresponding to about 10-20 kpc) and compared the histograms
of K20 using both the central and global temperatures. The average
difference between the two distributions is 15.3 keV/cm2 with a standard deviation of 32.0 keV/cm2. These distributions differ mainly for the nine clusters with K20 <100 keV/cm2, in which K20 (
)
is on average two times higher than K20 (
).
Above K20 = 100 keV/cm2 the difference between K20 (
)
and K20 (
)
scatters around the equality. Therefore, we expect the K20-
relation to be even steeper
for the local clusters, if one uses a resolved central temperature.
We do not find any evidence for bimodality in the distributions of K20.
8 The central cooling time
The central cooling time is the measure most often used to quantify
cool-cores, as it provides a time-frame for the evolutionary state of
the gas. Adopting an isobaric cooling model for the central gas,
can be computed as:
|
(5) |
where
A K-S test to the distributions of
in the local and the RDCS+WARPS samples indicates a probability of 9%
that these samples derived from the a common population. When comparing
the local and distant samples from the 400 SD, the probability
derived with the K-S test decreases to 4%.
Again we quantified the impact of using a core temperature in
the cooling time measurements. A K-S test to the central cooling time
distributions obtained with a core temperature and a global temperature
indicates that it is likely that both samples originate from the same
population, with a probability of 67%.
The central cooling time measured with a resolved temperature is on
average 0.3 Gyr shorter relative to the measurement with a global
temperature. This effect is obviously stronger for cool-core clusters.
We quantified this effect in clusters with central cooling time shorter
than 5 Gyr, and we found that in this case, the ratio
(
)/
(
)
reaches a factor 1.4.
|
Figure 12: Distribution of central cooling time for the local and distant samples. The dotted line marks the age of the Universe. |
| Open with DEXTER | |
We also find a strong anti-correlation between
and
(see Fig. 13), quantified with a Spearman rank test with coefficient
and a probability of no correlation of <10-13. This anti-correlation was already shown in Santos et al. (2008), and more recently Hudson et al. (2010) confirmed it using the nearby HIFLUGCS sample.
|
Figure 13:
Correlation between central cooling time and the phenomenological parameter
|
| Open with DEXTER | |
9 Radio sources associated with cluster cores
In the current scenario, feedback from AGN in the radio mode plays a prominent role in the physics of cool-cores. Increasing evidence from radio and X-ray observations of local clusters show that the formation of bubbles due to radio jets associated to the central AGN may effectively satisfy the energy balance between cooling and heating in cool-core regions (see Blanton 2010). In this respect, the radio luminosity of the central galaxy can provide an important link between the black hole activity and the state of the intracluster medium.
While there are several works pointing out a correlation between the
power associated to the radio activity of the central galaxy to the
cool-core properties (see Sun et al. 2009),
there are no similar studies at high redshift. Using data from the
archive of the NRAO VLA Sky Survey (NVSS) at 1.4 GHz (Condon
et al. 1998), which is sensitive down to
2.5 mJy, we
investigated the presence of radio sources in the
cores of our local and distant clusters. The two distant samples are
entirely covered by the NVSS. To determine whether a radio source is
related with the cluster core we adopted a conservative criterion of a
maximum separation of about 20
between the X-ray centroid and the center of the radio galaxy. The 400 SD high-z
has three radio
sources (3/20), whereas the RDCS+WARPS sample has only 2 out
of 15 clusters with a central radio source. This is expected since
most of the radio sources associated with high-z
clusters should be below the flux limit of the NVSS. Interestingly, the
two clusters in the RDCS+WARPS with radio sources are also considered
to be cool-cores with
greater than 0.08.
The local sample is not fully covered by the NVSS (coverage of 73%,
19/26). However, we find a high fraction of clusters with a
radio source (10/19) all associated with high
values (i.e.,
greater than 0.08) It is worth noting that most local clusters without
NVSS coverage are non-cool-cores, according to their
values. These results are reported in Tables 1-3.
We also obtained the 1.4 GHz luminosity,
,
of the radio sources associated with the cluster cores, using the fluxes provided by the NVSS catalog, and applying a K-correction
with a power law with index 0.7. We placed upper limits on the
non-detections using the NVSS flux detection threshold converted into
luminosity. As shown in Fig. 14, the
corresponding to the local
sample shows a trend with
,
with the stronger cool-cores having correspondingly the most luminous
radio sources (errors associated with the radio luminosities are
smaller than 5%, therefore are not shown). To properly take into
account the upper limits on the radio luminosity for the clusters with
NVSS coverage and no detection for the central galaxy we used ASURV
(Lavalley et al. 1992), the Survival Analysis package which employs the routines
described in Feigelson & Nelson (1985) and Isobe et al. (1986).
Survival analysis methods evaluate the probability of correlation and
linear regression fits by dealing properly with non-detections (upper
limits). We find a very strong (p > 99.0%) correlation between
and
for the local sample, with a Spearman rank test coefficient
.
|
Figure 14:
Relation between the radio luminosity of sources in close proximity to the cluster cores,
|
| Open with DEXTER | |
The type of radio source usually associated with local cool-cores is the FR-I, with an incidence rate of the order of 60%.
Using the classification made by Fanaroff & Riley (1974) we identified the type of radio sources.
We apply the FR-I/FR-II dividing line provided by Chiaberge et al. (2009),
W Hz-1,
and conclude that, with the exception of the source likely associated
with 400d J1221+4918, all radio sources belong to the
low-luminosity type FR-I.
The radio sources in the cores of distant clusters populate the high
luminosity end, however the small number of detected sources does not allow us to draw any conclusion.
The study of radio sources in distant clusters is important to
understand how the feedback mechanism shapes the
evolution of cool-cores, and is particularly useful in searches of
high-z clusters around FR-I sources (Chiaberge et al. 2009). However, the evolution of the radio luminosity function (RLF) remains a
controversial issue requiring further studies. While
Perlman et al. (2004) finds no evidence for evolution of the radio luminosity function up to z = 1, Branchesi et al. (2006) concludes that the RLF of distant X-ray clusters is very different from that of local
rich Abell clusters, with a steeper slope at low radio powers
(
1024 WHz-1).
10 Looking into the future: perspectives with WFXT
With the present work we show that we can explore the population of
cool-core clusters up to the highest redshift where X-ray clusters are selected (
)
by fully exploiting the archive of Chandra. This study is possible thanks to
the exquisite angular resolution of Chandra,
which allows us to sample the cool-core region (corresponding to a
radius of 40 kpc) at any
redshift with a resolution factor (defined as the physical scale we
want to resolve divided by the half energy width of the instrument PSF)
of about 10. The only way to improve the present work is to add
serendipitously discovered high
redshift clusters followed-up with deep Chandra observations.
Even though the number of z>1
X-ray clusters is slowly increasing thanks
to ongoing surveys as the XMM-LSS; the XMM-Newton Cluster Survey; the
XMM-Newton Distant Cluster Project; and the Swift X-ray Cluster Survey,
sample statistics is not expected to increase significantly without a
dedicated wide area, deep X-ray survey. Hence, it is instructive to
look into the future X-ray missions to investigate the capability of
characterizing
the cool-core strength of high-z clusters.
Unfortunately, no proposed or planned X-ray facility foresees an
angular resolution comparable to that of Chandra.
Therefore, any future X-ray work on the evolution of cool-cores at
high-redshift must deal with the blurring effect of the PSF on the
cluster images. In order to have low systematics errors, we need to
keep the HEW as low as possible. As shown in Santos et al. (2010), the capability to
classify strong, moderate and non cool-core clusters up to
using
is strongly dependent on the instrument HEW.
Results obtained with
are still reliable when the HEW is 5 arcsec,
but beyond 10
it is no longer possible to confidently discriminate between a
cool-core and a non cool-core cluster. Only two proposed X-ray missions
expect to have a PSF with a 5 arcsec HEW at 1 keV: the
International X-ray Observatory and the Wide Field X-ray Telescope.
The International X-ray Observatory (IXO) (see e.g., Bookbinder et al. 2010) is designed to have a great collecting power and high spectral resolution, therefore it will provide very detailed analysis of known or serendipitously discovered clusters, up to high-redshift. However, IXO will not be used in a survey mode for large area surveys, and thus it would not significantly increase the statistics of high-z cluster samples.
One of the most promising proposed X-ray missions is the Wide
Field X-ray Telescope (WFXT), a medium-class mission designed to be two
orders of magnitude more sensitive than any previous or planned X-ray
mission for large area surveys, and to match in sensitivity the next
generation of wide-area optical, IR and radio surveys. In five years
of operation, WFXT will carry out three extragalactic surveys: the
deep (400 ks, 100 deg2), medium (13 ks, 3000 deg2) and
wide (2 ks, 20 000 deg2) surveys (see Giacconi et al. 2009). The
combination of good angular resolution across the entire field of view
(
arcsec), large collecting area and large field of view
(one square degree), makes WFXT the most efficient finding machine of
X-ray clusters at z > 1. The expected number of high-z clusters
detected in the WFXT surveys with signal-to-noise comparable to that
of the cluster sample in this work (conservatively expressed as a
lower bound of 1500 net counts), is shown in Table 5.
| Figure 15:
Simulated images of strong cool-core A1835 as seen by WFXT in medium exposure (13.2 ks), at redshifts 0.5 (left), 1.0 (middle) and 1.5 (right). The images have a size of
|
|
| Open with DEXTER | |
Table 5: Expected number of clusters with temperature kT >3 keV and with more than 1500 net counts in the 0.5-7 keV band, in each one of the three planned WFXT surveys.
The image quality of WFXT allows one to robustly characterize the cool-core strength in clusters detected with more than 1500 net counts. Simulations of realistic WFXT fields have been produced in order to investigate this science case. Using the cloning technique (Santos et al. 2008), we simulated WFXT images of typical strong, moderate and non cool-core clusters at redshifts 0.5, 1.0 and 1.5. The templates chosen to perform the cloning simulations are A1835, A963 and A2163, which represent these three cluster types.
To obtain a quantitative assessment of the cool-core properties of the
simulated clusters, we measured
.
For the most interesting case of tracing the evolution of a strong cool-core (A1835, see Fig. 15), we measured
and 0.152 at z = 0.5, 1.0 and 1.5, respectively, while the Chandra value in the original image is
.
We, therefore, find an apparent evolution due to the
angular resolution, which can be removed by applying a proper
deconvolution of the PSF. However, and more importantly, we also confirm that the measure of
at face-value allows us to assign each cluster to its own
cool-core class (strong-, moderate- and non-CC) at any redshift. We
conclude that, while the exact amount of evolution in the cool-core
strength seen by WFXT is moderately affected by the angular
resolution, we will be able to perform a similar study as presented here with Chandra data.
We note that z=1.5 is probably the redshift limit to perform
this kind of analysis. The power of WFXT can be appreciated if we
look at the number statistics below z = 1.5 in the medium survey,
where we expect to detect 2190 (300) massive clusters (T > 3 keV) with
a minimum of 1500 net counts (to allow for a robust
measurement and a spectral analysis), in the redshift range
0.5 <z< 1.0 (
1.0 <z< 1.5).
11 Conclusions
In this paper we investigated the evolution of cool-core clusters across the entire redshift range currently available, i.e., out to z = 1.3. Our analysis is mostly based on the archival Chandra data of three cluster samples, and our results are derived mainly from the cluster X-ray surface brightness properties. In the following, we summarize our main results and conclusions:
- The range of surface brightness spanned by the three samples (see Figs. 1-3) includes a wide variety of physical morphologies, illustrating that the samples are well representative of the X-ray luminous galaxy cluster population and therefore are suitable to investigate the evolution of the cool-cores.
- The distributions of the surface brightness concentration,
,
in the high-z cluster samples (Fig. 6,
left panel) show that the two samples are statistically different:
the 400 SD high-z sample lacks concentrated clusters, with median
equal to 0.043, in contrast, the RDCS+WARPS spans a
wider range of
,
with median
.
This finding suggests that the 400 SD high-z sample may be biased against concentrated morphologies.
- The comparison between the local sample and the RDCS+WARPS
clusters shows that the distributions of
are not
significantly different (see Fig. 6, right panel),
exposing a well defined population of cool-cores already in
place at
;
however, the high-z sample is deficient in very
peaked (or strong cool-core, with
)
clusters.
- The entropy profiles of the low and high-z samples agree well in the outskirts but show a large scatter in the inner regions; the comparison between the distributions of the entropy value at 20 kpc (K20) in the local and the RDCS+WARPS samples shows that, even though both distributions share the same median value (127 and 125 keV/cm2 in the local and distant samples, respectively) the distant sample covers a narrower range of central entropy, K20 = [76-197] keV/cm2, and does not reach values as low as the local sample.
- We measured the cluster central cooling times at 20 kpc radius
and found that the local sample spans a broad range of cooling time
([0.7-32.6] Gyr), with a median value of 9.3 Gyr, and a significant peak at
Gyr. The RDCS+WARPS sample shows a somewhat different
behaviour, displaying a narrower range of cooling times,
[4.7-14.3] Gyr, and a median
of 8.9 Gyr.
We confirm the strong anti-correlation
between
and
,
mirrored by the anticorrelation between
and K20 (see Fig. 11).
- our results on
,
central entropy and central cooling time do not support recent claims of a cool-core/non cool-core bimodality.
- Using the NVSS archive we identified radio sources in close vicinity with the cluster cores (<20
). We find a significant correlation between
and
the radio luminosity of sources in the local sample. All local clusters
with a central radio source are cool-cores, since they have
.
The lack of radio data for the distant clusters does not allow us to draw any
conclusion on the connection between the cool-core strength and the presence of a central radio galaxy (Fig. 14),
which motivates us to explore this line of research in the future,
using deep, high-resolution radio data, to investigate the interplay
between the X-ray core, the brightest cluster galaxy and the central
radio source, in high-redshift clusters.
The results presented in this paper extend the current knowledge of the
cool-core population to the most distant clusters known, and shows us
that even at such large lookback times, we still find a large
population of moderate cool-core clusters. A direct consequence is that
a significant number of cool-cores develops on times scale comparable
to the dynamical time scale of clusters (
1 Gyr).
With this work we are reaching the limit of what can be done with current X-ray missions to study the cores of the most distant galaxy clusters. The small number statistics of high-z clusters is the major limitation that prevents us from a more accurate understanding of the physics of the youngest clusters, although an equally important requirement for such a study is a high angular resolution, as the one reached by Chandra. A complementary strategy is to go as deep as possible with Chandra on high-z cool core clusters. In this way, we will exploit at best the presently limited sample of high-z clusters, in order to unveil the properties of their cool cores (temperature and metallicity profiles, presence of cavities associated to radio sources) and compare them to those in local clusters. This can be achieved only with very deep (several hundreds of ks) Chandra pointings.
A significant advancement in this research will be achieved when large samples are available, which will only be possible with the next generation X-ray survey missions. In particular, we showed that the next generation X-ray survey instruments with a large collecting area and good angular resolution will have the ability to resolve the central regions of strong cool-cores up to a redshift of 1.5.
AcknowledgementsWe wish to thank S. Molendi, S. Borgani and S. Ettori for useful discussions in various stages of this study. We acknowledge support from ASI-INAF I/088/06/0. P.T. aknowledges support under the grant INFN PD51. P.R. acknowledges partial support by the DFG cluster of excellence Origin and Structure of the Universe (http://www.universe- cluster.de).
References
- Arnaud, K. A. 1996, Astronomical Data Analysis Software and Systems V, 5, ASP Conf. Ser., 101, 17 [Google Scholar]
- Bauer, F. E., Fabian, A. C., Sanders, J. S., Allen, S. W., & Johnstone, R. M. 2005, MNRAS, 359, 1481 [NASA ADS] [CrossRef] [Google Scholar]
- Blanton, E., Chandra's First Decade of Discovery Special Feature edition of the Proceedings of the National Academy of Sciences [arXiv:1004.0671] [Google Scholar]
- Böhringer, H., Mullis, C. R., Rosati, P., et al. 2005, ESO Messenger, 120, 33 [Google Scholar]
- Bookbinder, J. 2010, eprint [arXiv:1003.2847] [Google Scholar]
- Branchesi, M., Gioia, I. M., Fanti, C., Fanti, R., & Perley, R. 2006, A&A, 446, 97 [NASA ADS] [CrossRef] [EDP Sciences] [Google Scholar]
- Burenin, R. A., Vikhlinin, A., Hornstrup, A., et al. 2007, ApJS, 172, 561 [NASA ADS] [CrossRef] [Google Scholar]
- Cavagnolo, K. W., Donahue, M., Voit, G. M., & Sun, M. 2009, ApJS, 182, 12 [NASA ADS] [CrossRef] [Google Scholar]
- Cavaliere, A., & Fusco-Femiano, R. 1976, A&A, 49, 137 [NASA ADS] [Google Scholar]
- Chen, Y., Reiprich, T. H., Böhringer, H., Ikebe, Y., & Zhang, Y.-Y. 2007, A&A, 466, 805 [NASA ADS] [CrossRef] [EDP Sciences] [Google Scholar]
- Chiaberge, M., Tremblay, G., Capetti, A., et al. 2009, ApJ, 696, 1103 [NASA ADS] [CrossRef] [Google Scholar]
- Condon, J. J., Cotton, W. D., Greisen, E. W., et al. 1998, AJ, 115, 1693 [NASA ADS] [CrossRef] [Google Scholar]
- Donahue, M., Horner, D. J., Cavagnolo, K. W., & Voit, G. M. 2006, ApJ, 643, 730 [NASA ADS] [CrossRef] [Google Scholar]
- Dunn, R. J. H., & Fabian, A. C. 2008, MNRAS, 385, 757 [NASA ADS] [CrossRef] [Google Scholar]
- Fabian, A. C., Crawford, C. S., & Mushotzky, R. F. 1994, MNRAS, 267, 779 [NASA ADS] [CrossRef] [Google Scholar]
- Fanaroff, B. L., & Riley, J. M. 1974, MNRAS, 167, 31P [Google Scholar]
- Feigelson, E. D., & Nelson, P. I. 1985, ApJ, 293, 192 [NASA ADS] [CrossRef] [Google Scholar]
- Giacconi, R., Borgani, S., Rosati, P., et al. 2009, astro2010: The Astronomy and Astrophysics Decadal Survey, 2010, 90 [arXiv:0902.4857] [Google Scholar]
- Grevesse, N., & Sauval, A. J. 1998, SSRv, 85, 161 [Google Scholar]
- Hudson, D. S., Mittal, R., Repirich, T. H., et al. 2010, A&A, 513, A37 [NASA ADS] [CrossRef] [EDP Sciences] [Google Scholar]
- Lavalley, M., Isobe, T., & Feigelson, E. 1992, Astronomical Data Analysis Software and Systems I, 25, 245 [Google Scholar]
- Leccardi, A., & Molendi, S. 2007, A&A, 427, 21 [CrossRef] [EDP Sciences] [Google Scholar]
- Leccardi, A., Rossetti, M., & Molendi, S. 2010, A&A, 510, A82 [NASA ADS] [CrossRef] [EDP Sciences] [Google Scholar]
- Liedahl, D. A., Osterheld, A. L., & Goldstein, W. H. 1995, ApJ, 438, L115 [NASA ADS] [CrossRef] [Google Scholar]
- Isobe, T., Feigelson, E. D., & Nelson, P. I. 1986, ApJ, 306, 490 [NASA ADS] [CrossRef] [Google Scholar]
- Jones, L. R., Scharf, C., Ebeling, H., et al. 1998, ApJ, 495, 100 [NASA ADS] [CrossRef] [Google Scholar]
- Kaastra, J. S. 1992 (Internal SRON-Leiden Report, updated version 2.0) [Google Scholar]
- Morandi, A., & Ettori, S. 2007, MNRAS, 380, 1521 [NASA ADS] [CrossRef] [Google Scholar]
- Mullis, C. R., Rosati, P., Lamer, G., et al. 2005, ApJ, 623, 85 [Google Scholar]
- Nousek, J. A., & Shue, D. R. 1989, ApJ, 342, 1207 [NASA ADS] [CrossRef] [Google Scholar]
- Peres, C. B., Fabian, A. C., Edge, A. C., et al. 1998, MNRAS, 298, 416 [NASA ADS] [CrossRef] [Google Scholar]
- Perlman, E. S., Frye, C., Ebeling, H., et al. 2004, Clusters of Galaxies: Probes of Cosmological Structure and Galaxy Evolution [Google Scholar]
- Peterson, J. R., & Fabian, A. C. 2006, Phys. Rep., 427, 1 [NASA ADS] [CrossRef] [Google Scholar]
- Pierre, M., Pacaud, F., Duc, P.-A., et al. 2006, MNRAS, 372, 591 [NASA ADS] [CrossRef] [Google Scholar]
- Reiprich, T. H., & Boheringer, H. 2002, ApJ, 567, 716 [NASA ADS] [CrossRef] [Google Scholar]
- Rosati, P., Della Ceca, R., Norman, C., & Giacconi, R. 1998, ApJ, 492, 21 [Google Scholar]
- Rosati, P., Tozzi, P., Gobat, R., et al. 2009, A&A, 508, 583 [NASA ADS] [CrossRef] [EDP Sciences] [Google Scholar]
- Sanderson, A. J. R., O'Sullivan, E., & Ponman, T. J. 2009, MNARS, 395, 764 [Google Scholar]
- Sahlén, M., Viana, P. T. P., Liddle, A. R., et al. 2009, MNRAS, 397, 577 [NASA ADS] [CrossRef] [Google Scholar]
- Santos, J. S., Rosati, P., Tozzi, P., et al. 2008, A&A, 483, 35 [NASA ADS] [CrossRef] [EDP Sciences] [Google Scholar]
- Santos, J. S., Tozzi, P., & Rosati, P. 2010, to be published on the Mem. Soc. Astron. Ital. Suppl. [Google Scholar]
- Sun, M. 2009, ApJ, 704, 1586 [NASA ADS] [CrossRef] [Google Scholar]
- Vikhlinin, A., Burenin, R., Forman, W. R., et al. 2007, Heating versus Cooling in Galaxies and Clusters of Galaxies, 48 [CrossRef] [Google Scholar]
- Vikhlinin, A., Burenin, R. A., Ebeling, H., et al. 2009a, ApJ, 692, 1033 [NASA ADS] [CrossRef] [Google Scholar]
- Vikhlinin, A., Kravtsov, A. V., & Burenin, R. A. 2009b, ApJ, 692, 1060 [NASA ADS] [CrossRef] [Google Scholar]
- Wilms, J., Allen, A., & McCray, R. 2000, ApJ, 542, 914 [NASA ADS] [CrossRef] [Google Scholar]
Footnotes
- ... (XDCP
- http://www.xray.mpe.mpg.de/theorie/cluster/XDCP/xdcp_index.html
- ... metallicity
- We are not interested in deprojected quantities here, since we just want to estimate the K-correction effect on the surface brightness.
- ... ACCEPT
- http://www.pa.msu.edu/astro/MC2/accept/
All Tables
Table 1: 400 SD low redshift sample.
Table 2: 400 SD high z sample.
Table 3: RDCS+WARPS sample.
Table 4:
Clusters used to compute the effect of
K-correction on
.
Table 5: Expected number of clusters with temperature kT >3 keV and with more than 1500 net counts in the 0.5-7 keV band, in each one of the three planned WFXT surveys.
All Figures
|
Figure 1:
Low-z cluster
sample drawn from the 400 SD survey. Images are normalized by the
exposure maps and smoothed with a gaussian kernel of 3 pixel. The
images have a size of
|
| Open with DEXTER | |
| In the text | |
|
Figure 2:
400 SD high-z
sample. Images are normalized by the exposure maps and smoothed with a
gaussian kernel of 3 pixel. The images have a size of
|
| Open with DEXTER | |
| In the text | |
|
Figure 3:
RDCS+WARPS sample. Images are normalized by the exposure maps and
smoothed with a gaussian kernel of 3 pixel. The individual images
have a size of
|
| Open with DEXTER | |
| In the text | |
|
Figure 4:
|
| Open with DEXTER | |
| In the text | |
|
Figure 5:
Exponent |
| Open with DEXTER | |
| In the text | |
|
Figure 6:
Left: distributions of
|
| Open with DEXTER | |
| In the text | |
|
Figure 7:
Correlation between the single |
| Open with DEXTER | |
| In the text | |
|
Figure 8:
X-ray soft-band luminosity |
| Open with DEXTER | |
| In the text | |
|
Figure 9: Comparison between the entropy profiles of the two distant samples (top), and the 400 SD low-z relative to the RDCS+WARPS sample (bottom). |
| Open with DEXTER | |
| In the text | |
|
Figure 10: Distribution of the entropy measured at 20 kpc. |
| Open with DEXTER | |
| In the text | |
|
Figure 11:
Correlation between central entropy K20 and the phenomenological parameter
|
| Open with DEXTER | |
| In the text | |
|
Figure 12: Distribution of central cooling time for the local and distant samples. The dotted line marks the age of the Universe. |
| Open with DEXTER | |
| In the text | |
|
Figure 13:
Correlation between central cooling time and the phenomenological parameter
|
| Open with DEXTER | |
| In the text | |
|
Figure 14:
Relation between the radio luminosity of sources in close proximity to the cluster cores,
|
| Open with DEXTER | |
| In the text | |
| |
Figure 15:
Simulated images of strong cool-core A1835 as seen by WFXT in medium exposure (13.2 ks), at redshifts 0.5 (left), 1.0 (middle) and 1.5 (right). The images have a size of
|
| Open with DEXTER | |
| In the text | |
Copyright ESO 2010
Current usage metrics show cumulative count of Article Views (full-text article views including HTML views, PDF and ePub downloads, according to the available data) and Abstracts Views on Vision4Press platform.
Data correspond to usage on the plateform after 2015. The current usage metrics is available 48-96 hours after online publication and is updated daily on week days.
Initial download of the metrics may take a while.
![\begin{figure}
\par\includegraphics[width=8cm,angle=0,clip]{15208fig1.ps}
\vspace*{-2.5mm}
\end{figure}](/articles/aa/full_html/2010/13/aa15208-10/Timg31.png)
![\begin{figure}
\par\includegraphics[width=9cm,angle=0,clip]{fig2.eps}
\end{figure}](/articles/aa/full_html/2010/13/aa15208-10/Timg51.png)
![\begin{figure}
\par\includegraphics[width=9cm,angle=0]{15208fig3.ps}
\end{figure}](/articles/aa/full_html/2010/13/aa15208-10/Timg69.png)
![\begin{figure}
\par\includegraphics[width=8cm,angle=0,clip]{15208fig4.ps}
\end{figure}](/articles/aa/full_html/2010/13/aa15208-10/Timg84.png)
![\begin{figure}
\par\includegraphics[width=8cm,angle=0,clip]{15208fig5.ps}
\end{figure}](/articles/aa/full_html/2010/13/aa15208-10/Timg85.png)
![\begin{figure}
\par\includegraphics[width=9cm,angle=0,clip]{15208f6.1.ps}\includegraphics[width=9cm,angle=0,clip]{15208f6.2.ps}
\end{figure}](/articles/aa/full_html/2010/13/aa15208-10/Timg86.png)
![\begin{figure}
\par\includegraphics[width=8.5cm,angle=0,clip]{15208fig7.ps}
\end{figure}](/articles/aa/full_html/2010/13/aa15208-10/Timg96.png)
![\begin{figure}
\par\includegraphics[width=8.5cm,angle=0,clip]{15208fig8.ps}
\end{figure}](/articles/aa/full_html/2010/13/aa15208-10/Timg97.png)
![\begin{figure}
\par\includegraphics[width=8.5cm,angle=0,clip]{15208f9.1.ps}\par\includegraphics[width=8.5cm,angle=0,clip]{15208f9.2.ps}
\end{figure}](/articles/aa/full_html/2010/13/aa15208-10/Timg101.png)
![\begin{figure}
\par\includegraphics[width=8.5cm,angle=0,clip]{15208fig10.ps}
\vspace*{-0.3cm}
\end{figure}](/articles/aa/full_html/2010/13/aa15208-10/Timg102.png)
![\begin{figure}
\par\includegraphics[width=8.5cm,angle=0,clip]{15208fig11.ps}
\vspace*{-0.3cm}
\end{figure}](/articles/aa/full_html/2010/13/aa15208-10/Timg104.png)
![\begin{figure}
\par\includegraphics[width=8.5cm,angle=0,clip]{15208fig12.ps}
\vspace*{2.5mm}\end{figure}](/articles/aa/full_html/2010/13/aa15208-10/Timg112.png)
![\begin{figure}
\par\includegraphics[width=8.5cm,angle=0,clip]{15208fig13.ps}
\vspace*{2.5mm}\end{figure}](/articles/aa/full_html/2010/13/aa15208-10/Timg113.png)
![\begin{figure}
\par\includegraphics[width=8.5cm,angle=0,clip]{15208fig14.ps}
\vspace*{2.5mm}\end{figure}](/articles/aa/full_html/2010/13/aa15208-10/Timg116.png)