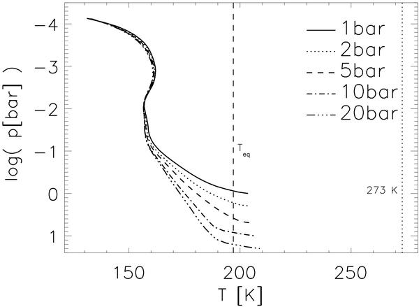
Fig. 2

Temperature-pressure profiles for the low CO2 (355 ppm CO2) runs of Table 3. The equilibrium temperature of the planet (dashed) and melting temperature of water (dotted) are indicated as vertical lines.
Current usage metrics show cumulative count of Article Views (full-text article views including HTML views, PDF and ePub downloads, according to the available data) and Abstracts Views on Vision4Press platform.
Data correspond to usage on the plateform after 2015. The current usage metrics is available 48-96 hours after online publication and is updated daily on week days.
Initial download of the metrics may take a while.