Free Access

Fig. 6

thumbnail

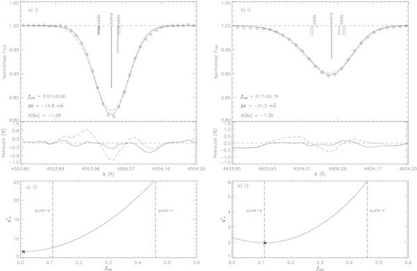
Panel a) i): the best statistical fit synthetic profile (solid line) for the observed Ba ii 4554 Å line (diamonds) with the residual and χ2 plots below. For comparison, a pure r-process line and residual has been plotted (dash-dot line). The value for has been optimised to one that minimises χ2, values for and macroturbulence remain the same. Panel a) ii): the χ2 fit for the 4554 Å line, the cross shows where the minimum of the fit lies. Also plotted are the splitting patterns for barium relative to barium-138 (see Table 2). Panels b) i) and ii): show the same as a) i) and ii) for the 4934 Å line.

This figure is made of several images, please see below:

Current usage metrics show cumulative count of Article Views (full-text article views including HTML views, PDF and ePub downloads, according to the available data) and Abstracts Views on Vision4Press platform.

Data correspond to usage on the plateform after 2015. The current usage metrics is available 48-96 hours after online publication and is updated daily on week days.

Initial download of the metrics may take a while.