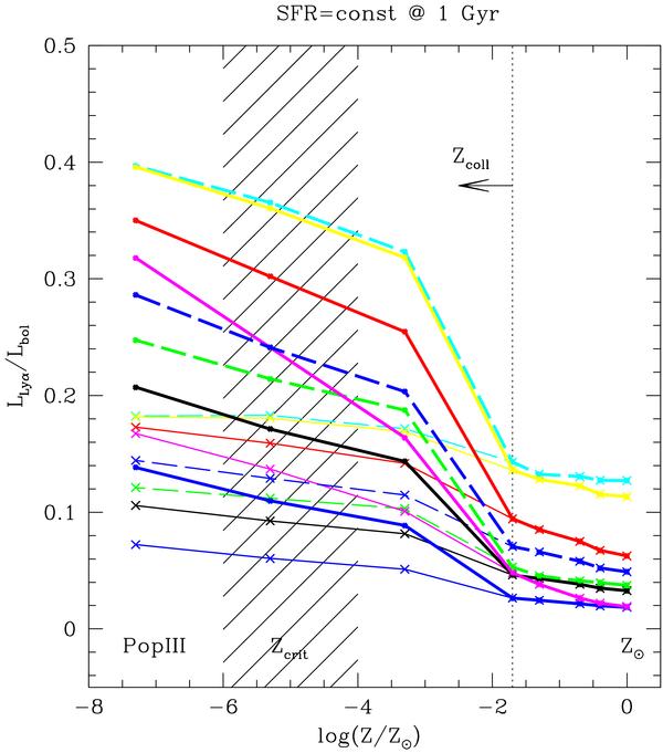
Fig. 6

Fraction of the Lyα luminosity to the total bolometric luminosity, L(Lyα) / Lbol for SFR = const. as a function of metallicity and IMF. Results for different IMFs are shown using the same colour codes as in Fig. 1 (cf. Table 1). Thin lines show results using our “standard” Lyα predictions; thick lines the improved results accounting for departures from case B at very low metallicity. Note the resulting strong increase of our revised L(Lyα) / Lbol values from solar to very low metallicity!
Current usage metrics show cumulative count of Article Views (full-text article views including HTML views, PDF and ePub downloads, according to the available data) and Abstracts Views on Vision4Press platform.
Data correspond to usage on the plateform after 2015. The current usage metrics is available 48-96 hours after online publication and is updated daily on week days.
Initial download of the metrics may take a while.