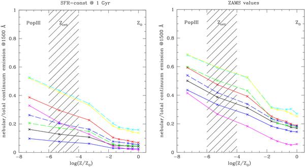
Fig. 8

Contribution of nebular continuum emission to the total emission in the restframe UV at 1500 Å as derived from our evolutionary synthesis models. Shown are model for constant star formation (left panel) and very young (≤1−2 Myr) bursts (right panel). Results for different IMFs are shown using the same colour codes as in Fig. 1 (cf. Table 1).
Current usage metrics show cumulative count of Article Views (full-text article views including HTML views, PDF and ePub downloads, according to the available data) and Abstracts Views on Vision4Press platform.
Data correspond to usage on the plateform after 2015. The current usage metrics is available 48-96 hours after online publication and is updated daily on week days.
Initial download of the metrics may take a while.