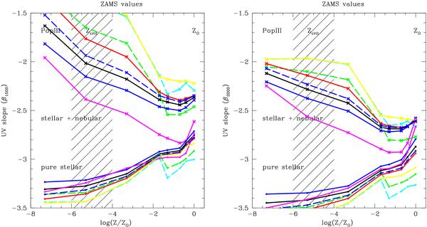
Fig. 9

Left: predicted UV slope β1500 and for all IMFs and metallicities. The values are shown for very young (ZAMS) populations, which correspond to the bluest possible slopes (i.e. minimal β values). The upper set of lines shows the UV slopes of the total spectrum (stellar + nebular continuum), the lower lines using the pure stellar spectrum. Results for different IMFs are shown using the same colour codes as in Fig. 1 (cf. Table 1). Right: same as the left panel, for β2000. Note the difference between β1500 and β2000, indicative of the deviation of the true SED from a simple power law.
Current usage metrics show cumulative count of Article Views (full-text article views including HTML views, PDF and ePub downloads, according to the available data) and Abstracts Views on Vision4Press platform.
Data correspond to usage on the plateform after 2015. The current usage metrics is available 48-96 hours after online publication and is updated daily on week days.
Initial download of the metrics may take a while.