Free Access

Fig. 5

thumbnail

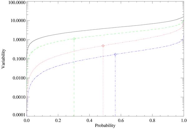
Simulated cumulative distributions (10 000 trials) of the variability index V versus fraction of trials, or probability. Solid black: mean flux 131 × 10-8   photons   cm-2   s-1 and square root of variance 33.8 × 10-8   photons   cm-2   s-1 for E ≥ 100   MeV; dotted red: mean flux 60 × 10-8   photons   cm-2   s-1 and square root of variance 15.5 × 10-8   photons   cm-2   s-1 for E ≥ 100   MeV; dashed green: mean flux 33 × 10-8   photons   cm-2   s-1 and square root of variance 8.5 × 10-8   photons   cm-2   s-1 for E ≥ 400   MeV; dot-dahsed blue: mean flux 17 × 10-8   photons   cm-2   s-1 and square root of variance 4.4 × 10-8   photons   cm-2   s-1 for E ≥ 400   MeV. The vertical lines indicate the observed values of V and the associated probability for the corresponding dataset (Table 2).

Current usage metrics show cumulative count of Article Views (full-text article views including HTML views, PDF and ePub downloads, according to the available data) and Abstracts Views on Vision4Press platform.

Data correspond to usage on the plateform after 2015. The current usage metrics is available 48-96 hours after online publication and is updated daily on week days.

Initial download of the metrics may take a while.