Free Access

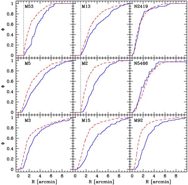
Fig. 4

thumbnail

Comparison between the radial distribution of UV-blue (continuous blue line) and UV-red (dashed red line) for all the considered clusters. The data within the radius marked by the dotted lines in the plots of the distributions for M 53, M 2, and M 13 were not included in the analysis (see Sects. 2 and 2.1). See Table 2 for the significance of the detected differences, as measured by the KS test.

Current usage metrics show cumulative count of Article Views (full-text article views including HTML views, PDF and ePub downloads, according to the available data) and Abstracts Views on Vision4Press platform.

Data correspond to usage on the plateform after 2015. The current usage metrics is available 48-96 hours after online publication and is updated daily on week days.

Initial download of the metrics may take a while.