Free Access

Fig. 4

thumbnail

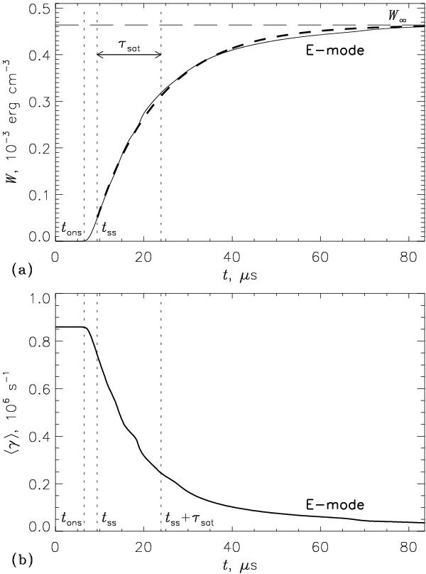
Time profiles of the total wave energy a) and average growth rate b). In panel a), the solid line is the result of numerical simulations and dashed line is a simplified functional fit. Simulation parameters correspond to the model 15 (Table 1).

This figure is made of several images, please see below:

Current usage metrics show cumulative count of Article Views (full-text article views including HTML views, PDF and ePub downloads, according to the available data) and Abstracts Views on Vision4Press platform.

Data correspond to usage on the plateform after 2015. The current usage metrics is available 48-96 hours after online publication and is updated daily on week days.

Initial download of the metrics may take a while.