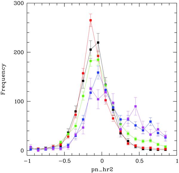
Fig. 11

Variation of the EPIC pn hardness ratio HR2 with g − i colour for all 2XMMi matches with extended sources in the entire SDSS catalogue only having a log (fx/fr) larger than −0.5. Each histogram corresponds to a g − i colour bin of 0.5. Black; g − i = 0.25, red; 0.75, green; 1.25, blue; 1.75, magenta; 2.25. Errors on hardness ratios are below 0.3 in all cases. We only show identifications with an individual identification probability higher than 90%, g and i mag brighter than 22.2, errors on g − i less than 0.2. Histograms are normalised to the total number of sources in the colour bins shown in Table 8.
Current usage metrics show cumulative count of Article Views (full-text article views including HTML views, PDF and ePub downloads, according to the available data) and Abstracts Views on Vision4Press platform.
Data correspond to usage on the plateform after 2015. The current usage metrics is available 48-96 hours after online publication and is updated daily on week days.
Initial download of the metrics may take a while.