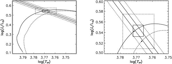
Fig. 1

Left panel: the position of β Hyi in the HR diagram. The constraints on the fundamental parameters (Teff, L/L⊙) are indicated by the 1-σ error box (solid) and on the radius by diagonal solid lines. We also show the corresponding 3-σ uncertainties by dashed lines. Two evolutionary tracks for the best models found by method 2 (cf. Table 5) are plotted with dash-dotted and solid curves, representing the models with and without gravitational settling and diffusion, respectively. Right panel: the same as in the left panel but zoomed in. The selected models are marked by filled squares.
Current usage metrics show cumulative count of Article Views (full-text article views including HTML views, PDF and ePub downloads, according to the available data) and Abstracts Views on Vision4Press platform.
Data correspond to usage on the plateform after 2015. The current usage metrics is available 48-96 hours after online publication and is updated daily on week days.
Initial download of the metrics may take a while.