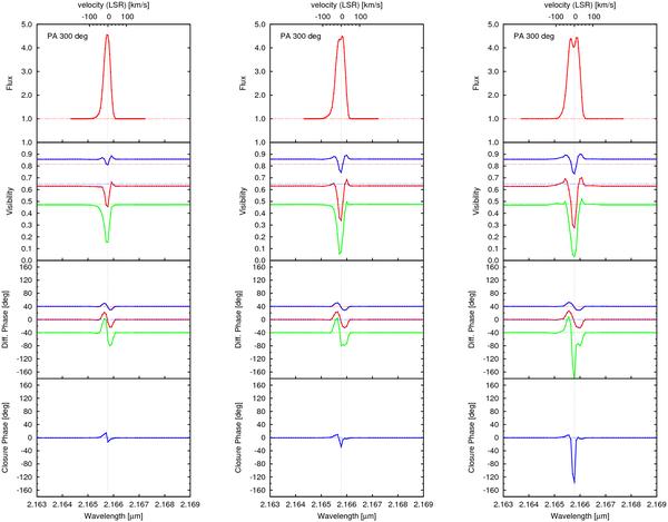
Fig. 8

Dependence of the interferometric quantities (visibilities, wavelength-differencial phases, and closure phases) of our best-fit disk-wind model 5 (see Table A.1) on the inclination angle i: 10, 15, and 20° from left to right for the PA 300° of the disk (see Fig. 7). In contrast to Fig. 7, the Brγ line profiles are given without convolution with the instrumental profile of the AMBER spectrograph for clearer visibility of the theoretical line profiles.
Current usage metrics show cumulative count of Article Views (full-text article views including HTML views, PDF and ePub downloads, according to the available data) and Abstracts Views on Vision4Press platform.
Data correspond to usage on the plateform after 2015. The current usage metrics is available 48-96 hours after online publication and is updated daily on week days.
Initial download of the metrics may take a while.