Free Access

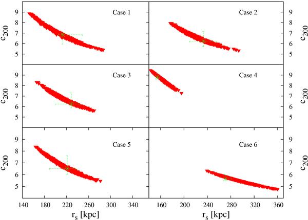
Fig. 8

thumbnail

Scatter plots for the NFW parameters rs and c200 obtained for some representative cases. The numbering of the cases corresponds to the numbering in Table 5. The red point distribution marks the 3σ confidence level for the two parameters. The green stars indicate the best-fit values; the error-bars refer to the 1σ statistical uncertainty. We used the same knot systems as inputs and the same priors on the cluster halo mass distribution in all the six cases; the only differences were the modelling and the parameterisation of the cluster galaxies and of the BCG. The probability distribution in case 4 appears squeezed because it crushed on the lower limit for the BCG characteristic central velocity dispersion. The lens model results for the cases shown here are listed in Table 5.

Current usage metrics show cumulative count of Article Views (full-text article views including HTML views, PDF and ePub downloads, according to the available data) and Abstracts Views on Vision4Press platform.

Data correspond to usage on the plateform after 2015. The current usage metrics is available 48-96 hours after online publication and is updated daily on week days.

Initial download of the metrics may take a while.