Free Access

Fig. 18

thumbnail

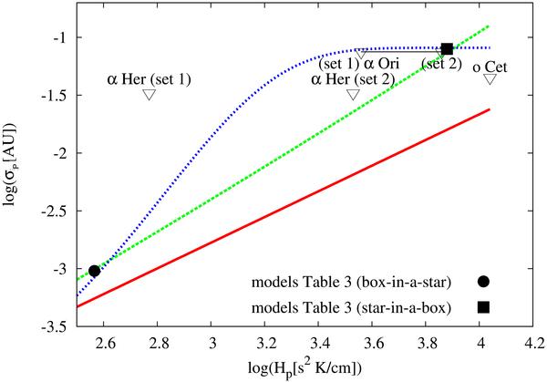
Photocentre motions determined from interferometric observations for some evolved stars (see Table 4) overplotted on the different fits of the standard deviation σPθ of the photocentric motion as a function of the pressure scale height Hp. The large open inverted triangles correspond to the standard deviations of the photocentre deviations for a given observed star. Star-in-a-box and box-in-a-star models correspond to the large filled square and circle respectively.

Current usage metrics show cumulative count of Article Views (full-text article views including HTML views, PDF and ePub downloads, according to the available data) and Abstracts Views on Vision4Press platform.

Data correspond to usage on the plateform after 2015. The current usage metrics is available 48-96 hours after online publication and is updated daily on week days.

Initial download of the metrics may take a while.