Free Access

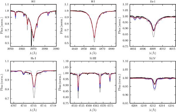
Fig. 2

thumbnail

Fits to the averaged Harps spectrum (black). The parameters are listed in Table 2. The fit to the primary companion is shown in solid grey, the fit to the secondary in dashed grey, and the combined fit in red. While these synthetic spectra were calculated for Z = 0.010, we also plot the combined spectrum corresponding to Z = 0.020 with a solid blue line to show the effect of the change in metallicity.

Current usage metrics show cumulative count of Article Views (full-text article views including HTML views, PDF and ePub downloads, according to the available data) and Abstracts Views on Vision4Press platform.

Data correspond to usage on the plateform after 2015. The current usage metrics is available 48-96 hours after online publication and is updated daily on week days.

Initial download of the metrics may take a while.