Free Access

Fig. 8

thumbnail

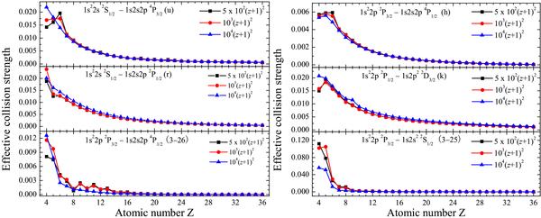
Effective collision strengths Υ at temperatures of Te = 5 × 102(z + 1)2, 103, 104 K (here, z = Z − 3) along the iso-electronic sequence. Left-hand panels: 1s2s2p   4P3/2  →  1s22s   2S1/2 (u line), 1s2s2p   2P1/2  →  1s22s   2S1/2 (r line) and 1s2s2p   4P1/2  →  1s22p   2P3/2 (3-26) transitions. Right-hand panels: 1s2p2   4P1/2  →  1s22p   2P3/2 (h line), 1s2p2   2D3/2  →  1s22p   2P1/2 (k line) and 1s2s2   2S1/2  →  1s22p   2P3/2 (3-25) transitions. [Colour online]

This figure is made of several images, please see below:

Current usage metrics show cumulative count of Article Views (full-text article views including HTML views, PDF and ePub downloads, according to the available data) and Abstracts Views on Vision4Press platform.

Data correspond to usage on the plateform after 2015. The current usage metrics is available 48-96 hours after online publication and is updated daily on week days.

Initial download of the metrics may take a while.