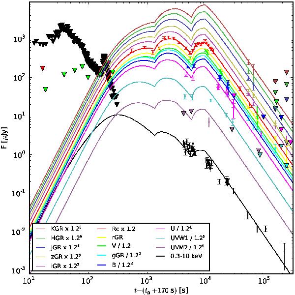
Fig. 9

The best-fit light curves of the afterglow of GRB 080928. The agreement between the model and the observational data is best if the reference time is shifted by 170 s. The parameters of the model are given in Table 5. Filters called “GR” stand for the GROND filter set. Light curves in different bands are arbitrarily shifted for clarity by powers of 1.2.
Current usage metrics show cumulative count of Article Views (full-text article views including HTML views, PDF and ePub downloads, according to the available data) and Abstracts Views on Vision4Press platform.
Data correspond to usage on the plateform after 2015. The current usage metrics is available 48-96 hours after online publication and is updated daily on week days.
Initial download of the metrics may take a while.