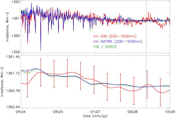
Fig. 5

Lighcurves of Int-SIM (red, 200 − 1630 nm), Int-SATIRE (blue, 200 − 1630 nm) and SORCE/TIM (green) for (top) original data and (bottom) smoothed or long-term data. Int-SIM and Int-SATIRE have a constant shift, given in Table 2, added to bring them in line with TIM. Note that the y-axes are on different scales: the bottom panel displays the smoothed lightcurves from the top panel, with a scale of 3 W m-2, with a reduced irradiance scale of 1 W m-2. Error bars represent one standard deviation in the long-term stability of Int-SIM and are 0.259 W m-2 or 212 ppm. The vertical dotted line represents the time of solar minimum, December 2008.
Current usage metrics show cumulative count of Article Views (full-text article views including HTML views, PDF and ePub downloads, according to the available data) and Abstracts Views on Vision4Press platform.
Data correspond to usage on the plateform after 2015. The current usage metrics is available 48-96 hours after online publication and is updated daily on week days.
Initial download of the metrics may take a while.