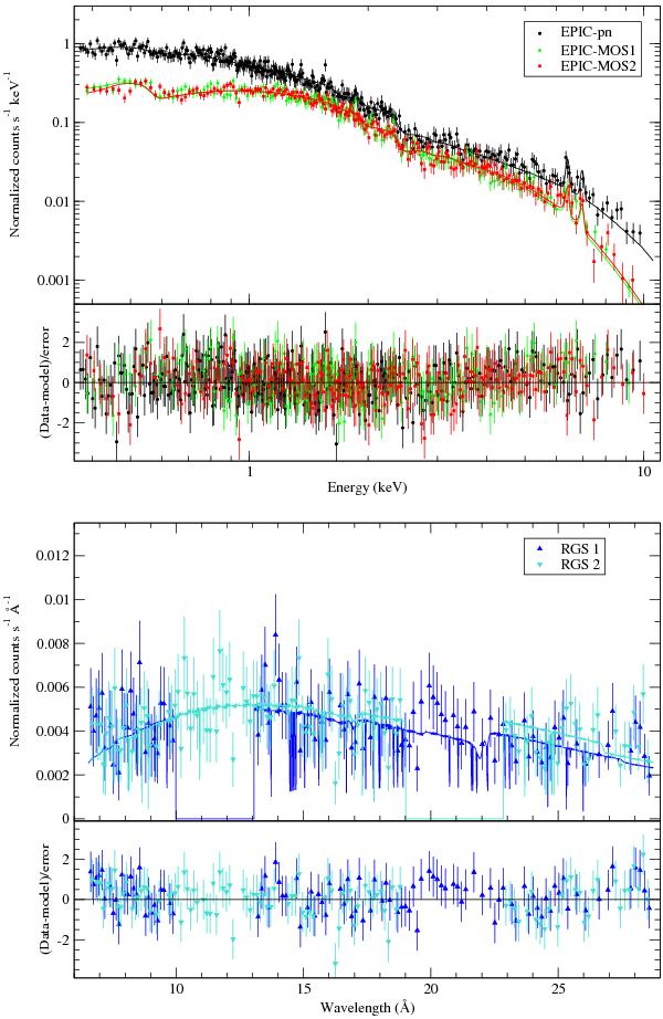
Fig. 4

ESO 359-G19. Upper panel: low-resolution X-ray spectra – in the rest frame – as obtained with the EPIC-pn (black dots), EPIC-MOS1 (green diamonds), and EPIC-MOS2 (red squares) cameras. The best-fit model after a comprehensive fit of the EPIC-pn, EPIC-MOS, and RGS spectra (Tables 8 and 9) convolved with the instrument response of each camera is shown as a solid line. Lower panel: high-resolution X-ray spectra – in the rest frame – as obtained with the RGS1 (blue up triangles), and RGS2 (cyan down triangles), and binned to 15 channels per bin. Solid lines are the convolution of the best-fit model after a comprehensive fit of the EPIC-pn, EPIC-MOS, and RGS spectra (Tables 8 and 9) with instrument responses.
Current usage metrics show cumulative count of Article Views (full-text article views including HTML views, PDF and ePub downloads, according to the available data) and Abstracts Views on Vision4Press platform.
Data correspond to usage on the plateform after 2015. The current usage metrics is available 48-96 hours after online publication and is updated daily on week days.
Initial download of the metrics may take a while.