Free Access
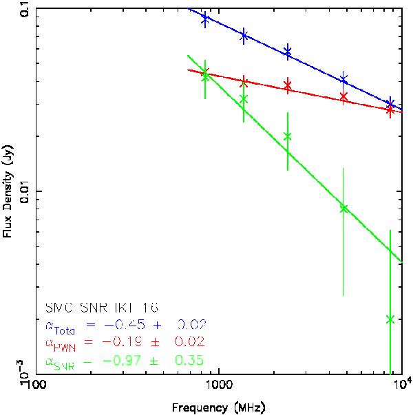
Fig. 2

Radio spectra of the entire SNR (blue), the bright source near the centre of the remnant (red) and the remainder of the remnant (green), constructed from radio observations at 5 frequencies using MOST and ATCA. The best fit power-law fits are shown, and the data is also shown in Table 2.
Current usage metrics show cumulative count of Article Views (full-text article views including HTML views, PDF and ePub downloads, according to the available data) and Abstracts Views on Vision4Press platform.
Data correspond to usage on the plateform after 2015. The current usage metrics is available 48-96 hours after online publication and is updated daily on week days.
Initial download of the metrics may take a while.