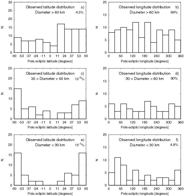
Fig. 6

Histograms showing the observed latitude and longitude distributions of MBAs (except Koronis cluster members) for different size ranges. a) Shows the latitude distribution for asteroids with diameters larger than 60 km, c) for asteroids with diameters in the range of 30–60 km, e) for asteroids with diameters smaller than 30 km, and similarly b), d) and f) for longitudes. The width of bins in the latitude β and longitude lambda λ corresponds to similar surfaces on the (λ, β)-sphere, so the bins are equidistant in sinβ and λ. In the top right corners, there are the probability values of the χ2-tests (that the observed distributions are randomly drown from a uniform distribution, see Table 2).
Current usage metrics show cumulative count of Article Views (full-text article views including HTML views, PDF and ePub downloads, according to the available data) and Abstracts Views on Vision4Press platform.
Data correspond to usage on the plateform after 2015. The current usage metrics is available 48-96 hours after online publication and is updated daily on week days.
Initial download of the metrics may take a while.