Free Access

Fig. 1

thumbnail

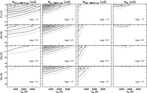
Equivalent widths of the 1082 nm [S i] line and potential blends for different stellar parameters. WCN shows the sum of the three CN lines listed in Table 3. The filled contours mark steps of 10 mÅ and the dotted contours mark the steps of 5 mÅ in between.

Current usage metrics show cumulative count of Article Views (full-text article views including HTML views, PDF and ePub downloads, according to the available data) and Abstracts Views on Vision4Press platform.

Data correspond to usage on the plateform after 2015. The current usage metrics is available 48-96 hours after online publication and is updated daily on week days.

Initial download of the metrics may take a while.