Free Access

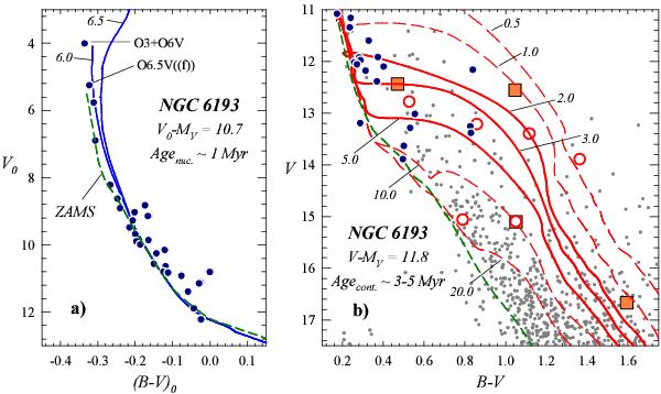
Fig. 6

thumbnail

Detailed CMD of stars located in NGC 6193 region. Symbols are the same as in Fig. 4. Dashed (green) curves are the Schmidt-Kaler (1982) empirical ZAMS; solid (blue and red) curves are Marigo et al. (2008) and Siess et al. (2000) isochones for z = 0.02. All the reference curves are corrected by the adopted colour excess value and apparent distance modulus (see Table 4).

Current usage metrics show cumulative count of Article Views (full-text article views including HTML views, PDF and ePub downloads, according to the available data) and Abstracts Views on Vision4Press platform.

Data correspond to usage on the plateform after 2015. The current usage metrics is available 48-96 hours after online publication and is updated daily on week days.

Initial download of the metrics may take a while.