Free Access

Fig. A.3

thumbnail

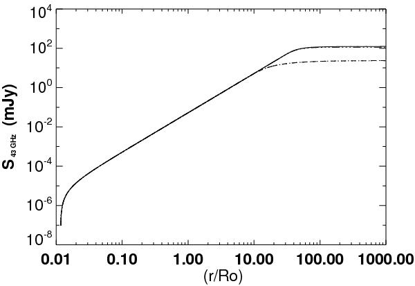
Integrated flux density at 43 GHz of the shocked layer over the nondimensional impact parameter r/R0. In this example, we have assumed the parameters of the colliding winds of Model B2 (see Table 2). The behavior of the plot is described in the text.

Current usage metrics show cumulative count of Article Views (full-text article views including HTML views, PDF and ePub downloads, according to the available data) and Abstracts Views on Vision4Press platform.

Data correspond to usage on the plateform after 2015. The current usage metrics is available 48-96 hours after online publication and is updated daily on week days.

Initial download of the metrics may take a while.