Highlight
Free Access

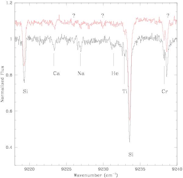
Fig. 5

thumbnail

Spectra of the targets: star 46 422 (top – red), star 48 889 (bottom – black). All the lines listed in Table 2 are indicated. The question mark indicates lines measured but with no element identification.

Current usage metrics show cumulative count of Article Views (full-text article views including HTML views, PDF and ePub downloads, according to the available data) and Abstracts Views on Vision4Press platform.

Data correspond to usage on the plateform after 2015. The current usage metrics is available 48-96 hours after online publication and is updated daily on week days.

Initial download of the metrics may take a while.