Free Access

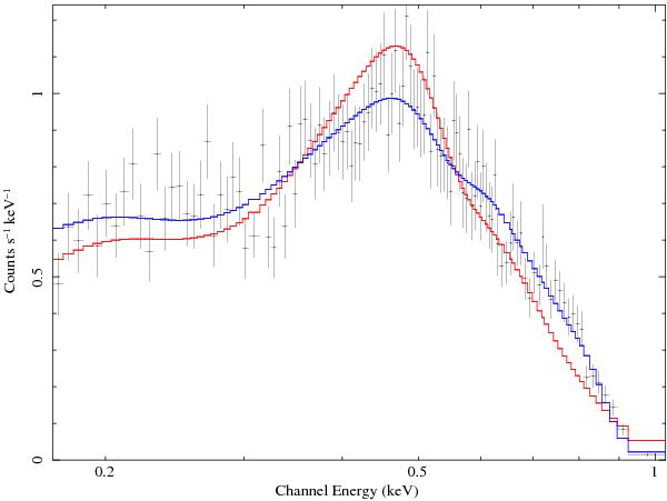
Fig. 5

thumbnail

XMM-Newton EPIC pn spectrum of M31N 2007-12b of ObsID 0505720501 with best-fit black-body and NLTE WD atmosphere (solar metal abundance) models overplotted in red and blue, respectively (see Table 5).

Current usage metrics show cumulative count of Article Views (full-text article views including HTML views, PDF and ePub downloads, according to the available data) and Abstracts Views on Vision4Press platform.

Data correspond to usage on the plateform after 2015. The current usage metrics is available 48-96 hours after online publication and is updated daily on week days.

Initial download of the metrics may take a while.